ZusammensetzungWirkstoffe
Esomeprazol als Magnesium Esomeprazol Trihydrat.
Hilfsstoffe
Rötlich-braunes Eisenoxid (E172)
Glycerolmonostearat 40-55 (E471)
Hydroxypropylcellulose (E463)
Hypromellose (E464)
Magnesiumstearat (E572)
Methacrylsäure-Ethylacrylat-Copolymer (1:1)
Mikrokristalline Cellulose (E460)
synthetisches Hartparaffin
Macrogol 6000 (E1521)
Polysorbat 80 (E433)
Crospovidon (E1202)
Natriumstearylfumarat (E485) (corresp. Natrium 0.034 mg in Esomep 20 mg MUPS-Tabletten und corresp. Natrium 0.048 mg in Esomep 40 mg MUPS-Tabletten)
Zucker-Stärke Pellets (Saccharose und Stärke) (28 mg in Esomep 20 mg MUPS-Tabletten und 30 mg in Esomep 40 mg MUPS-Tabletten)
Talk (E553b)
Titandioxid (E171)
Triethylcitrat (E1505)
Rotes Eisenoxid
Zusätzlich enthalten in Esomep 20 mg MUPS-Tabletten:
Gelbes Eisenoxid (E172).
Indikationen/AnwendungsmöglichkeitenBehandlung der Refluxösophagitis.
Langzeit-Rezidivprophylaxe der Refluxösophagitis.
Symptomatische Behandlung von gastroösophagealem Reflux (Sodbrennen, saures Aufstossen) ohne erosive/ulzeröse Refluxösophagitis.
Eradikation von Helicobacter pylori in Kombination mit geeigneten Antibiotika
Heilung von Helicobacter pylori-assoziiertem Ulcus duodeni.
Rezidivprophylaxe von Helicobacter pylori-assoziierten Ulkuskrankheiten.
Heilung von Ulcera ventriculi, die durch NSAR (inkl. COX-2 selektiven NSAR) verursacht worden sind.
Vorbeugung von Ulcus ventriculi und Ulcus duodeni bei Risikopatienten, die NSAR (inkl. COX-2 selektiven NSAR) einnehmen.
Pathologische Hypersekretion inkl. Zolllinger-Ellison Syndrom und idiopathische Hypersekretion.
Vorbeugung von erneuter Blutung bei blutendem Ulcus ventriculi oder Ulcus duodeni nach der Behandlung mit Esomeprazol i.v.
Dosierung/AnwendungÜbliche Dosierung
Erwachsene
Refluxösophagitis: 1x täglich 40 mg während 4 Wochen. Patienten, bei denen die Ösophagitis nicht vollständig abgeheilt ist oder die Symptome persistieren, können weitere 4 Wochen behandelt werden.
Langzeit-Rezidivprophylaxe der Ösophagitis: 1x täglich 20 mg.
Behandlung der symptomatischen gastroösophagealen Refluxkrankheit (Sodbrennen, saures Aufstossen): Für Patienten, bei denen eine Ösophagitis ausgeschlossen werden kann, beträgt die Dosis 1x täglich 20 mg. Können die Symptome nach 4 Wochen nicht unter Kontrolle gebracht werden, sind weitere Untersuchungen angezeigt. Nach erreichter Symptombefreiung können wiederkehrende Beschwerden bei Patienten, die keine NSAR einnehmen, mit 1x täglich 20 mg bei Bedarf behandelt werden (siehe auch «Warnhinweise und Vorsichtsmassnahmen»).
Heilung von Helicobacter pylori-assoziiertem Ulcus duodeni: 7 Tage-Therapie mit je 2x täglicher Einnahme von 20 mg Esomep, 1 g Amoxicillin und 500 mg Clarithromycin. Eine nachfolgende Monotherapie mit Säurehemmern ist nicht nötig.
Rezidivprophylaxe von Helicobacter pylori-assoziierten Ulzera: 7 Tage-Therapie mit je 2x täglicher Einnahme von 20 mg Esomep, 1 g Amoxicillin und 500 mg Clarithromycin.
Heilung von Ulcera ventriculi im Zusammenhang mit einer NSAR-Therapie: 1x täglich 40 mg während 4 – 8 Wochen.
Vorbeugung von Ulcus ventriculi und Ulcus duodeni im Zusammenhang mit einer NSAR-Therapie bei Risikopatienten: 1x täglich 20 mg.
Pathologische Hypersekretion inkl. Zollinger-Ellison-Syndrom und idiopathische Hypersektretion: Die empfohlene Startdosis ist 2x täglich 40 mg Esomep. Die Dosierung sollte dann individuell angepasst werden. Die Behandlung sollte so lange fortgesetzt werden, wie sie klinisch indiziert ist. Dosen bis zu 2x täglich 120 mg sind verabreicht worden. Vorhandene klinische Daten zeigen, dass die Mehrheit der Patienten mit Dosen zwischen 80 und 160 mg zufriedenstellend eingestellt werden kann. Werden Dosen über 80 mg/Tag benötigt, sollte die Dosis auf zwei tägliche Gaben aufgeteilt werden. Die Erfahrung mit Dosen über 80 mg täglich ist begrenzt.
Vorbeugung von erneuter Blutung bei Ulcus ventriculi und Ulcus duodeni nach der Behandlung mit Esomeprazol i.v.: 1x täglich 40 mg Esomep MUPS während 4 Wochen. Der oralen Behandlungsphase soll folgende säurehemmende Therapie mit Esomeprazol i.v. vorangegangen sein: 40 - 80 mg Esomeprazol i.v. als Kurzinfusion über einen Zeitraum von 30 Minuten, gefolgt von einer kontinuierlichen Infusion von 8 mg/h während 3 Tagen.
Kinder und Jugendliche
Jugendliche 12 bis 18 Jahre
Refluxösophagitis: 1x täglich 40 mg während 4 Wochen. Patienten, bei denen die Ösophagitis nicht vollständig abgeheilt ist oder die Symptome persistieren, können weitere 4 Wochen behandelt werden.
Langzeit-Rezidivprophylaxe der Ösophagitis: 1x täglich 20 mg.
Behandlung der symptomatischen gastroösophagealen Refluxkrankheit (Sodbrennen, saures Aufstossen): Für Patienten, bei denen eine Ösophagitis ausgeschlossen werden kann, beträgt die Dosis 1x täglich 20 mg. Können die Symptome nach 4 Wochen nicht unter Kontrolle gebracht werden, sind weitere Untersuchungen angezeigt. Nach erreichter Symptombefreiung können unter ärztlicher Kontrolle wiederkehrende Beschwerden mit 1x täglich 20 mg behandelt werden.
Kinder 1 – 11 Jahre
Schwere Refluxösophagitis
Körpergewicht <20 kg: 1x täglich 10 mg während 8 Wochen.
Körpergewicht ≥20 kg: 1x täglich 10 mg oder 20 mg während 8 Wochen.
Dosierungen über 1 mg/kg/Tag wurden nicht untersucht.
Zur Verabreichung von 10 mg steht ein Granulat à 10 mg zur Verfügung.
Für Kinder mit einem Körpergewicht <10 kg sind derzeit aufgrund ungenügender Daten keine Dosierungsempfehlungen möglich.
Art der Anwendung
MUPS-Tabletten
Esomep MUPS-Tabletten sollen mit etwas Flüssigkeit geschluckt werden. Die Tabletten dürfen weder zerkaut noch zerdrückt werden.
Für Patienten mit Schwierigkeiten beim Schlucken, kann die Tablette in kohlensäurefreiem Wasser aufgelöst und eingenommen werden. Die Tablette durch Umrühren auflösen (die Zubereitung ist trüb). Die Zubereitung soll sofort oder innerhalb von 30 Minuten eingenommen werden. Unmittelbar vor der Einnahme nochmals umrühren. Um die vollständige Einnahme des Arzneimittels sicherzustellen, das Glas nochmals zur Hälfte mit Wasser füllen und austrinken, da der Wirkstoff in den festen Partikeln enthalten ist. Die Pellets dürfen weder zerkaut noch zerdrückt werden.
Für Patienten, die nicht schlucken können, können die Tabletten in kohlensäurefreiem Wasser aufgelöst und über eine Magensonde verabreicht werden.
Spezielle Dosierungsanweisungen
Kinder:
Esomep sollte bei Kindern <1 Jahr bzw. mit einem Körpergewicht <10 kg nicht angewendet werden, da keine Studien vorliegen.
Ältere Patienten:
Bei älteren Patienten ist keine Dosisanpassung nötig.
Patienten mit Nierenfunktionsstörungen
Bei Patienten mit eingeschränkter Nierenfunktion ist keine Dosisanpassung nötig. Patienten mit schwerer Niereninsuffizienz sollten mangels Erfahrungen mit Vorsicht behandelt werden (vgl. «Pharmakokinetik»).
Patienten mit Leberfunktionsstörungen
Bei Patienten mit leichter bis mässiger Leberinsuffizienz ist es nicht nötig die Dosis anzupassen. Bei Patienten mit schwerer Leberinsuffizienz sollte eine Dosis von 20 mg nicht überschritten werden.
KontraindikationenBekannte Überempfindlichkeit gegenüber Esomeprazol, substituierten Benzimidazolen oder anderen Bestandteilen der Tablette.
Warnhinweise und VorsichtsmassnahmenTreten beunruhigende Anzeichen wie z.B. signifikanter, unbeabsichtigter Gewichtsverlust, anhaltendes Erbrechen, Dysphagie, Hämatemesis oder Melaena auf und besteht Verdacht auf ein Magengeschwür, sollte dessen Malignität vor Beginn einer Behandlung mit Esomep ausgeschlossen werden. Ohne vorherige Abklärung der Malignität können durch eine Behandlung Symptome kaschiert und die Diagnose verzögert werden.
Für Patienten unter Langzeitbehandlung (vor allem solche, welche länger als ein Jahr behandelt werden) wird eine regelmässige ärztliche Kontrolle empfohlen.
Patienten, die für die Behandlung wiederkehrender Symptome des gastroösophagealen Refluxes Esomeprazol nach Bedarf einnehmen, sollten darauf hingewiesen werden, sich bei Veränderungen der Symptome mit dem Arzt in Verbindung zu setzen. Bei der Verschreibung von Esomeprazol in dieser Indikation sollten, aufgrund der schwankenden Plasmakonzentrationen von Esomeprazol, die Folgen von Interaktionen mit anderen Arzneimitteln berücksichtigt werden (siehe auch «Interaktionen»).
Bei Patienten mit symptomatischer gastroösophagealer Refluxkrankheit, die gleichzeitig mit NSAR behandelt werden müssen, sollen wiederkehrende Beschwerden nicht ohne erneute medizinische Abklärung «Nach Bedarf» behandelt werden.
Bei der Verschreibung von Esomeprazol für die Eradikation von Helicobacter pylori sollten mögliche Interaktionen mit den angewendeten Arzneimitteln der «Triple-Therapie» beachtet werden. Clarithromycin ist ein starker Inhibitor von CYP3A4 und folglich sollten die Kontraindikationen und Interaktionen mit Clarithromycin bei Patienten beachtet werden, die gleichzeitig mit der «Triple-Therapie» andere Arzneimittel einnehmen, die via CYP3A4 metabolisiert werden, wie z.B. Cisaprid.
Während der Behandlung mit säurehemmenden Arzneimitteln steigt das Serumgastrin als Reaktion auf die verminderte Säuresekretion an. Ebenso steigt das Chromogranin A (CgA) als Reaktion auf die verminderte Säuresekretion an. Der erhöhte CgA-Spiegel kann mit Untersuchungen bei neuroendokrinen Tumoren interferieren. In der Literatur wird erwähnt, dass eine Behandlung mit einem PPI 5 bis 14 Tage vor der CgA-Bestimmung, die im Rahmen einer Abklärung oder einer Verlaufskontrolle bei neuroendokrinen Tumoren durchgeführt wird, unterbrochen werden sollte, da sich die iatrogen erhöhten CgA-Spiegel innerhalb von 5 bis 14 Tagen – selten auch länger – normalisieren. Die Bestimmungen sollten wiederholt werden, wenn die CgA-Spiegel nach diesem Intervall noch zu hoch sind.
Verminderte Azidität im Magen kann allgemein die intragastrische Bakterienzahl erhöhen. Eine Behandlung mit säurehemmenden Substanzen kann zu einer leichten Erhöhung des Risikos gastrointestinaler Infektionen z.B. durch Salmonellen und Campylobacter führen, bei hospitalisierten Patienten möglicherweise auch durch Clostridium difficile.
Die gleichzeitige Verabreichung von Esomeprazol mit Arzneimitteln wie Atazanavir und Nelfinavir wird nicht empfohlen (siehe «Interaktionen»).
Von der gleichzeitigen Verabreichung von Esomeprazol und Clopidogrel wird abgeraten (siehe «Interaktionen»).
Knochenfrakturen:
Protonenpumpeninhibitoren, besonders wenn sie in einer hohen Dosierung und über eine längere Zeit (>1 Jahr) angewendet werden, können das Risiko von Hüft-, Handgelenks- und Wirbelsäulenfrakturen, insbesondere bei älteren Patienten oder bei Vorliegen anderer bekannter Risikofaktoren, mässig erhöhen. Beobachtungsstudien deuten darauf hin, dass Protonenpumpeninhibitoren das Risiko von Frakturen möglicherweise um 10 - 40% erhöhen, wobei dieses erhöhte Risiko teilweise auch durch andere Risikofaktoren bedingt sein kann. Patienten mit Osteoporoserisiko sollen entsprechend der gültigen klinischen Richtlinien behandelt werden und Vitamin D und Kalzium in ausreichendem Masse erhalten.
Hypomagnesiämie:
Schwere Hypomagnesiämie wurde bei Patienten berichtet, die für mindestens drei Monate, jedoch in den meisten Fällen für ein Jahr mit Protonpumpeninhibitoren (PPIs) wie Esomeprazol behandelt wurden. Schwerwiegende Manifestationen von Hypomagnesiämie mit Erschöpfungszuständen, Tetanie, Delir, Krämpfen, Schwindelgefühl und ventrikulären Arrhythmien können auftreten, aber sie können sich schleichend entwickeln und dann übersehen werden. Bei den meisten betroffenen Patienten verbesserte sich die Hypomagnesiämie nach Gabe von Magnesium und Absetzen des PPIs. Bei Patienten, für die eine längere Behandlungsdauer vorgesehen ist oder die PPIs mit Digoxin oder anderen Arzneistoffen einnehmen, welche Hypomagnesiämie hervorrufen können (z.B. Diuretika), sollte der Arzt vor und periodisch während der Behandlung mit PPI eine Überwachung der Magnesiumwerte in Betracht ziehen.
Subakuter kutaner Lupus Erythematodes:
Protonenpumpenhemmer sind in sehr seltenen Fällen mit dem Auftreten eines subakuten kutanen Lupus Erythematodes (SCLE) assoziiert. Falls Läsionen, insbesondere an den der Sonne ausgesetzten Hautbereichen, auftreten, und falls dies von einer Arthralgie begleitet ist, sollte der Patient umgehend ärztliche Hilfe in Anspruch nehmen, und das medizinische Fachpersonal sollte erwägen, Esomep abzusetzen. SCLE nach vorheriger Behandlung mit einem Protonenpumpenhemmer kann das Risiko eines SCLE unter der Einnahme anderer Protonenpumpen-Inhibitoren erhöhen.
Schwerwiegende unerwünschte Hautreaktionen (SCARs):
Schwerwiegende unerwünschte Hautreaktionen (SCARs) wie Erythema multiforme (EM), Stevens-Johnson-Syndrom (SJS), toxische epidermale Nekrolyse (TEN), Arzneimittelexanthem mit Eosinophilie und systemischen Symptomen (DRESS), die lebensbedrohlich oder tödlich sein können, wurden sehr selten im Zusammenhang mit der Behandlung mit Esomeprazol berichtet.
Die Patienten sollten auf die Anzeichen und Symptome der schweren Hautreaktionen EM/SJS/TEN/DRESS hingewiesen werden und bei Auftreten entsprechender Anzeichen oder Symptome unverzüglich ihren Arzt aufsuchen. Esomeprazol sollte bei Anzeichen und Symptomen einer schweren Hautreaktion sofort abgesetzt werden, und es sollte bei Bedarf eine zusätzliche medizinische Versorgung/ engmaschige Überwachung erfolgen. Eine erneute Anwendung von Esomeprazol sollte bei Patienten mit EM/SJS/TEN/DRESS nicht erfolgen.
Hilfsstoffe von besonderem Interesse
Natrium
Dieses Arzneimittel enthält weniger als 1 mmol Natrium (23 mg) pro Filmtablette d.h. es ist nahezu «natriumfrei».
Sucrose
Patienten mit der seltenen hereditären Fructose-/Galactose-Intoleranz, einer Glucose-Galactose-Malabsorption oder einer Sucrase-Isomaltase-Insuffizienz sollten dieses Arzneimittel nicht anwenden.
InteraktionenWirkung von Esomep auf andere Arzneimittel
Die Hemmung der Magensäure während der Behandlung mit Esomeprazol oder mit einem anderen PPI kann die Absorption von Arzneimitteln, deren Absorption vom pH im Magen abhängig ist, erhöhen oder vermindern. Wie bei der Anwendung mit Arzneimitteln, die die intragastrische Azidität vermindern, kann auch unter der Behandlung mit Esomeprazol die Absorption von Arzneimitteln wie Ketoconazol, Itraconazol und Erlotinib vermindert und die Absorption von Arzneimitteln wie Digoxin erhöht sein. Bei gesunden Probanden erhöhte die gleichzeitige Behandlung mit Omeprazol (20 mg täglich) und Digoxin die Bioverfügbarkeit von Digoxin um 10% (bei 2 Probanden bis zu 30%).
Esomeprazol hemmt CYP2C19, das Hauptmetabolisierungsenzym von Esomeprazol. Folglich kann die Plasmakonzentration von Substanzen, die durch CYP2C19 metabolisiert werden, wie z.B. Diazepam, Citalopram, Imipramin, Clomipramin, Phenytoin etc. ansteigen und eine Dosisreduktion erforderlich machen. Dies sollte vor allem bei unregelmässiger Einnahme berücksichtigt werden.
Bei gleichzeitiger Verabreichung von 30 mg Esomeprazol und Diazepam wurde eine Reduktion der Diazepam-Clearance um 45% beobachtet. Erhöhte Plasmaspiegel von Diazepam wurden jedoch frühestens 12 Stunden nach Verabreichung beobachtet. Zu diesem Zeitpunkt liegen die Plasmaspiegel unter dem therapeutischen Bereich, weshalb eine klinische Interaktion unwahrscheinlich ist.
Bei gleichzeitiger Verabreichung von 40 mg Esomeprazol und Phenytoin stiegen die «trough» Phenytoin-Plasmaspiegel bei Epilepsiepatienten um 13% an. Deshalb wird empfohlen, die Phenytoin-Plasmaspiegel zu überwachen, wenn eine Behandlung mit Esomeprazol begonnen oder beendet wird.
Die gleichzeitige Verabreichung von 40 mg Esomeprazol an Warfarin behandelte Patienten zeigte, dass trotz eines geringen Anstiegs der «trough» Plasmakonzentration des weniger wirksamen R-Isomers von Warfarin, die Koagulationszeiten innerhalb des akzeptierten Bereichs waren. Seit der Markteinführung wurde jedoch bei gleichzeitiger Therapie mit Warfarin über Fälle mit klinisch bedeutsam erhöhter INR berichtet. Es wird zu Beginn und am Ende einer Warfarintherapie oder einer Therapie mit andern Cumarinderivaten eine engmaschige Überwachung empfohlen.
Omeprazol wirkt ebenso wie Esomeprazol als CYP2C19-Inhibitor. In einer Cross-over-Studie führte die Gabe von 40 mg Omeprazol bei gesunden Probanden zu einer Erhöhung der Cmax und AUC von Cilostazol um 18% bzw. 26% sowie eines aktiven Metaboliten von Cilostazol um 29% bzw. 69%.
Die gleichzeitige Verabreichung von 40 mg Esomeprazol und Cisaprid bei gesunden Probanden bewirkte bei Cisaprid einen 32%igen Anstieg der AUC und eine um 31% verlängerte Eliminationshalbwertszeit, jedoch keine signifikante Erhöhung der Plasmahöchstwerte. Das leicht verlängerte QTc-Intervall, welches nach der Verabreichung von Cisaprid alleine beobachtet wurde, verlängert sich nicht zusätzlich bei der Einnahme von Cisaprid und Esomeprazol (siehe auch «Warnhinweise und Vorsichtsmassnahmen»).
Bei gleichzeitiger Verabreichung von Esomeprazol und Tacrolimus wurden erhöhte Tacrolimus-Serumspiegel gemeldet. Zu Beginn oder am Ende der Behandlung mit Esomeprazol sollten die Tacrolimus-Serumspiegel kontrolliert werden.
Bei einigen Patienten wurde bei gleichzeitiger Therapie mit Protonenpumpen-Blockern über erhöhte Methotrexat-Spiegel berichtet. Bei Verabreichung von hohen Methotrexat-Dosen wird empfohlen, Esomeprazol vorübergehend abzusetzen.
Wechselwirkungen zwischen Omeprazol und antiretroviralen Arzneimitteln wurden berichtet. Die klinische Bedeutung und die Mechanismen hinter diesen berichteten Interaktionen sind nicht immer bekannt. Ein erhöhter pH-Wert im Magen während einer Omeprazolbehandlung kann die Absorption des antiretroviralen Arzneimittels möglicherweise verändern. Andere mögliche Interaktionsmechanismen laufen über CYP2C19. Für einige antiretrovirale Arzneimittel wie Atazanavir und Nelfinavir wurde von verminderten Serumspiegeln berichtet, als sie gleichzeitig mit Omeprazol verabreicht worden waren. Daher ist diese gleichzeitige Arzneimitteltherapie nicht empfohlen. Die gleichzeitige Verabreichung von Omeprazol (40 mg, 1x täglich) mit Atazanavir 300 mg/Ritonavir 100 mg bei gesunden Probanden führte zu einer wesentlichen Reduktion der Atazanavir Exposition (Verminderung der AUC, Cmax und Cmin um ca. 75%). Die Erhöhung der Atazanavir Dosis auf 400 mg, kompensierte den Omeprazol-Einfluss auf die Atazanavir-Exposition nicht. Für andere antiretrovirale Arzneimittel wie Saquinavir wurde von erhöhten Serumspiegeln berichtet. Es gibt auch einige antiretrovirale Arzneimittel, die bei gleichzeitiger Verabreichung mit Omeprazol einen unveränderten Serumspiegel aufwiesen. Aufgrund ähnlicher pharmakodynamischer Wirkungen und pharmakokinetischen Eigenschaften von Omeprazol und Esomeprazol wird die gleichzeitige Gabe von Esomeprazol mit antiretroviralen Arzneimitteln wie Atazanavir und Nelfinavir nicht empfohlen.
Es konnte gezeigt werden, dass Esomeprazol keine klinisch relevanten Wirkungen auf die Pharmakokinetik von Amoxicillin oder Chinidin hat.
In Kurzzeitstudien zur gleichzeitigen Verabreichung von Esomeprazol mit Naproxen konnten keine klinisch relevanten pharmakokinetischen Interaktionen erkannt werden.
In Studien mit gesunden Probanden konnte eine pharmakokinetische/pharmakodynamische Interaktion zwischen Clopidogrel und Esomeprazol gezeigt werden. In einer dieser Studien wurde Clopidogrel in einer Anfangsdosis von 300 mg, gefolgt von einer Erhaltungsdosis von 75 mg täglich zusammen mit täglich 40 mg Esomeprazol gegeben. Die Plasmakonzentrationen des aktiven Metaboliten von Clopidogrel sanken um durchschnittlich 40%, gemessen an den Tagen 5, 14 und 29 der Studie. Die maximale Plättchenaggregationshemmung nach ADP-Stimulation nahm um durchschnittlich 14% ab. Die Interaktion kann nicht verhindert werden durch zeitlich versetzte Verabreichung von Clopidogrel und Esomeprazol. Bezüglich der klinischen Relevanz dieser PK/PD-Interaktion in Bezug auf schwerwiegende kardiovaskuläre Ereignisse gibt es widersprüchliche Daten aus Beobachtungs- und klinischen Studien. Unter diesen Umständen sollte eine gleichzeitige Behandlung mit Clopidogrel und mit Esomeprazol vermieden werden.
Wirkung anderer Arzneimittel auf Esomep
Esomeprazol wird durch CYP2C19 und CYP3A4 metabolisiert. Die gleichzeitige Verabreichung von Esomeprazol und dem CYP3A4-Hemmer Clarithromycin (2x täglich 500 mg) bewirkte eine Verdoppelung der AUC von Esomeprazol. Die gleichzeitige Verabreichung von Esomeprazol und einem kombinierten CYP2C19- und CYP3A4-Hemmer, wie z.B. Voriconazol, kann mehr als eine Verdoppelung der Cmax und der AUC von Esomeprazol bewirken. Eine Dosisanpassung von Esomeprazol bei üblicher Dosierung ist jedoch in keiner der beiden Situationen nötig. Arzneimittel, die CYP2C19 oder CYP3A4 oder beide induzieren (wie z.B. Rifampicin und Hypericum [Johanniskraut]), können zu einem tieferen Esomeprazol-Serumspiegel führen, indem sie den Metabolismus von Esomeprazol erhöhen.
Schwangerschaft, StillzeitSchwangerschaft
Reproduktionsstudien bei Tieren haben keine Risiken für die Feten gezeigt, aber man verfügt über keine kontrollierten Studien bei schwangeren Frauen. Das potenzielle Risiko für den Menschen ist nicht bekannt.
Bei der Anwendung in der Schwangerschaft ist Vorsicht geboten.
Stillzeit
Es ist nicht bekannt, ob Esomeprazol in die Muttermilch ausgeschieden wird. Es wurden keine Studien an stillenden Müttern durchgeführt. Deshalb soll Esomep während der Stillzeit nicht angewendet werden.
Wirkung auf die Fahrtüchtigkeit und auf das Bedienen von MaschinenEsomep hat keinen Einfluss auf die Fahrtüchtigkeit oder die Fähigkeit, Maschinen zu bedienen.
Unerwünschte WirkungenDie nachfolgenden Nebenwirkungen wurden in den klinischen Studien mit Esomeprazol und/oder seit der Markteinführung beobachtet oder vermutet. Keine davon war dosisabhängig.
Die folgenden Häufigkeitsdefinitionen werden verwendet:
Häufig ≥1/100, <1/10.
Gelegentlich ≥1/1000, <1/100.
Selten ≥1/10'000, <1/1000.
Sehr selten <1/10'000.
Erkrankungen des Blutes und des Lymphsystems
Selten: Leukopenie, Thrombopenie.
Sehr selten: Agranulozytose, Panzytopenie.
Erkrankungen des Immunsystems
Selten: Hypersensitivitätsreaktionen (z.B. Angioödem, anaphylaktische Reaktion/Schock).
Stoffwechsel- und Ernährungsstörungen
Gelegentlich: periphere Ödeme.
Selten: Hyponatriämie.
Sehr selten: Hypomagnesiämie (siehe «Warnhinweise und Vorsichtsmassnahmen»); eine schwerwiegende Hypomagnesiämie kann zu einer Hypokalzämie führen. Eine Hypomagnesiämie kann zu einer Hypokaliämie führen.
Psychiatrische Erkrankungen
Gelegentlich: Schlafstörungen.
Selten: Agitation, Konfusion, Depression.
Sehr selten: Aggression, Halluzination.
Erkrankungen des Nervensystems
Häufig: Kopfschmerzen.
Gelegentlich: Benommenheit, Schwindel, Parästhesie, Schläfrigkeit.
Selten: Geschmacksveränderungen.
Augenerkrankungen
Selten: Schleiersehen.
Erkrankungen der Atemwege, des Brustraums und Mediastinums
Selten: Verengung der Atemwege.
Erkrankungen des Gastrointestinaltrakts
Häufig: Bauchschmerzen, Obstipation, Diarrhöe, Flatulenz, Nausea, Erbrechen, Drüsenpolypen des Fundus (gutartig).
Gelegentlich: Mundtrockenheit.
Selten: Stomatitis, gastrointestinale Candidiasis.
Sehr selten: mikroskopische Colitis.
Leber- und Gallenerkrankungen
Gelegentlich: erhöhte Leberenzyme.
Selten: Hepatitis mit oder ohne Ikterus.
Sehr selten: Leberversagen, hepatische Encephalopatie.
Erkrankungen der Haut und des Unterhautgewebes
Gelegentlich: Dermatitis, Pruritus, Urticaria, Rash.
Selten: Alopezie, Photosensibilität.
Sehr selten: Erythema exsudativum multiforme, Stevens-Johnson Syndrom, toxisch epidermale Nekrolyse (TEN), subakuter kutaner Lupus Erythematodes (SCLE), akute generalisierte exanthemische Pustelose (AGEP), Arzneimittelexanthem mit Eosinophilie und systemischen Symptomen (DRESS).
Skelettmuskulatur-, Bindegewebs- und Knochenerkrankungen
Gelegentlich: Fraktur der Hüfte, des Handgelenks oder der Wirbelsäule.
Selten: Arthralgie, Myalgie.
Sehr selten: Muskelschwäche.
Erkrankungen der Nieren und Harnwege
Sehr selten: interstitielle Nephritis.
Erkrankungen der Geschlechtsorgane und der Brustdrüse
Sehr selten: Gynäkomastie.
Allgemeine Erkrankungen und Beschwerden am Verabreichungsort
Selten: Unwohlsein, vermehrtes Schwitzen.
Die Meldung des Verdachts auf Nebenwirkungen nach der Zulassung ist von grosser Wichtigkeit. Sie ermöglicht eine kontinuierliche Überwachung des Nutzen-Risiko-Verhältnisses des Arzneimittels. Angehörige von Gesundheitsberufen sind aufgefordert, jeden Verdacht einer neuen oder schwerwiegenden Nebenwirkung über das Online-Portal ElViS (Electronic Vigilance System) anzuzeigen. Informationen dazu finden Sie unter www.swissmedic.ch.
ÜberdosierungDie Symptome (Nausea, dünnflüssige Stühle und Schwäche), die in Zusammenhang mit absichtlicher Esomeprazol-Überdosierung auftraten (limitierte Erfahrung mit einer Dosis über 240 mg/Tag), waren vorübergehend. Einzeldosierungen von 80 mg Esomeprazol waren ohne Zwischenfälle verlaufen.
Ein spezifisches Antidot ist nicht bekannt.
Esomeprazol liegt grösstenteils proteingebunden vor und ist daher nicht rasch dialysierbar.
Wie in jedem Fall von Überdosierung sollte eine symptomatische Behandlung erfolgen und allgemein unterstützende Massnahmen ergriffen werden.
Eigenschaften/WirkungenATC-Code
A02BC05
Wirkungsmechanismus
Esomeprazol ist eine schwache Base und wird in der stark sauren Umgebung der sekretorischen Canaliculi der Parietalzelle konzentriert und in die aktive Form umgewandelt. In der Parietalzelle bewirkt Esomeprazol eine Blockade des Enzyms H+/K+-ATPase, der Protonenpumpe, und sorgt somit für eine hochwirksame Hemmung der basalen wie auch der stimulierten Säuresekretion.
Wirkung auf die Magensäuresekretion
Nach oraler Verabreichung von 20 mg resp. 40 mg Esomeprazol setzt die Wirkung innerhalb einer Stunde ein. Bei wiederholter Einnahme von 20 mg Esomeprazol einmal täglich während 5 Tagen, ist der durchschnittliche Maximalwert der Säuresekretion nach einer Pentagastrin Stimulation bei einer Messung am 5. Tag, ca. 6-7 h nach Verabreichung, um 90% reduziert.
Nach fünftägiger, oraler Verabreichung von 20 mg resp. 40 mg Esomeprazol konnte ein intragastrischer pH über 4 während durchschnittlich 13 resp. 17 Stunden aufrecht erhalten werden; bei Patienten mit symptomatischer Refluxkrankheit (GERD) während mehr als 24 Stunden.
Der Anteil der Patienten mit einem intragastrischen pH über 4 während mindestens 8, 12 resp. 16 Stunden, betrug 76%, 54% und 24% bei Einnahme von 20 mg Esomeprazol, und 97%, 92% und 56% bei 40 mg Esomeprazol.
Wird die Fläche unter der Plasmakonzentrations-Zeitkurve (AUC) als stellvertretender Parameter für die Plasmakonzentration verwendet, kann eine Beziehung zwischen der Säurehemmung und der AUC gezeigt werden.
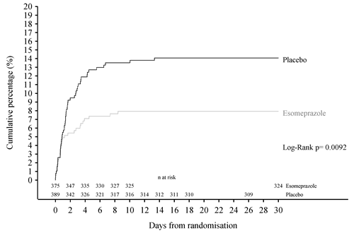
In einer randomisierten, doppelblinden und placebokontrollierten klinischen Studie wurden 764 Patienten mit einem endoskopisch bestätigten blutenden peptischen Ulcus, entweder zu Esomep i.v. (n=375) oder zu Placebo (n=389) randomisiert. Nach der endoskopischen Blutstillung erhielten die Patienten entweder 80 mg Esomeprazol oder Placebo als i.v. Infusion über 30 Minuten gefolgt von einer konstanten Infusion von 8 mg/h während insgesamt 72 Stunden. Nach diesen ersten 72 Stunden erhielten alle Patienten während 27 Tagen 40 mg Esomep oral zur Säurehemmung. In der Esomep i.v. Gruppe trat innerhalb der ersten 3 Tage bei 5,9% der Patienten eine erneute Blutung auf, verglichen mit 10,3% bei der Placebogruppe (p=0,0256). Innerhalb der ersten 7 Tage trat bei 7,2% der Patienten in der Esomep i.v. Gruppe eine erneute Blutung auf, verglichen mit 12,9% unter Placebo (p=0,0096), innerhalb der ersten 30 Tage waren es 7,7% unter Esomep i.v. bzw. 13,6% unter Placebo (p=0,0092). In der dritten und vierten Woche der Studie traten keine Blutungen mehr auf.
Kaplan-Meier-Kurve des kumulativen Anteils (%) an Patienten mit erneuter Blutung innerhalb von 30 Tagen

Therapeutische Wirkungen der Säurehemmung
Mit täglich 40 mg Esomeprazol erfolgte bei ca. 78% der Patienten eine Abheilung der Refluxösophagitis innerhalb von 4 Wochen, bei ca. 93% der Patienten innerhalb von 8 Wochen. Eine einwöchige Behandlung mit 2x täglich 20 mg Esomeprazol kombiniert mit geeigneten Antibiotika bewirkte bei ca. 90% der Patienten eine Eradikation von Helicobacter pylori. Nach 1 Woche Eradikationstherapie ist für eine effektive Ulkusheilung und Symptombefreiung bei komplikationsfreien Duodenalulcera keine nachfolgende Monotherapie mit Säurehemmern notwendig.
Andere Wirkungen in Verbindung mit der Säurehemmung
Sowohl bei Kindern als auch bei Erwachsenen wurde während der Langzeit-Behandlung mit Esomeprazol eine erhöhte Anzahl von ECL-Zellen (Enterochromaffin-ähnliche Zellen) beobachtet. Dies kann möglicherweise mit dem erhöhten Serumgastrin Spiegel zusammenhängen. In über 1000 Patienten, die mit Esomep (10, 20, 40 mg/Tag) während 6 – 12 Monaten behandelt wurden, nahm die Prävalenz von ECL-Hyperplasie (ECL: Enterochromaffin-ähnliche Zellen) Dosis- und Therapiedauer-abhängig zu. Kein Patient entwickelte ein ECL-Karzinoid, eine ECL-Dysplasie oder eine Neoplasie der Magenschleimhaut.
Verminderte Azidität im Magen kann allgemein die intragastrische Bakterienzahl erhöhen. Eine Behandlung mit säurehemmenden Substanzen kann zu einer leichten Erhöhung des Risikos gastrointestinaler Infektionen z.B. durch Salmonellen und Campylobacter führen, bei hospitalisierten Patienten möglicherweise auch durch Clostridium difficile.
Die Wirksamkeit von Esomep zur Heilung von Ulcera ventriculi wurde in zwei doppelblinden aktiv-kontrollierten Multizenterstudien bei 846 Patienten im Alter zwischen 18 und 88 Jahren (medianes Alter 59,5 Jahre) untersucht. 262 Patienten erhielten Esomep 40 mg einmal täglich, 276 Esomep 20 mg einmal täglich und 271 Ranitidin 150 mg zweimal täglich. Alle Patienten nahmen während mindestens 4 Wochen vor der Randomisierung NSAR (inkl. COX-2 selektive NSAR) ein und setzten diese Therapie während der gesamten Studiendauer fort. Die Patienten waren Helicobacter pylori negativ und hatten ein endoskopisch bestätigtes Ulcus ventriculi mit einem Durchmesser bis zu 25 mm. Die Heilungsraten der Ulcera ventriculi nach 4 und 8 Wochen waren sowohl unter Esomep 40 mg als auch unter Esomep 20 mg grösser als unter Ranitidin. Mit Esomep 40 mg waren die Heilungsraten nach 4 Wochen Behandlung 78% (p=0.036; p-Werte versus Ranitidin) bei der ersten Studie und 71% (p=0.009) bei der zweiten Studie; nach acht Wochen lagen die Heilungsraten bei 92% (p<0.001) bei der ersten Studie und bei 86% (p=0.047) bei der zweiten Studie.
Die Wirksamkeit von Esomep zur Vorbeugung von Ulcus ventriculi und Ulcus duodeni wurde in zwei doppelblinden placebokontrollierten Multizenterstudien bei 1429 Patienten untersucht. 480 Patienten erhielten Esomep 40 mg einmal täglich, 476 Esomep 20 mg einmal täglich und 473 Placebo. Alle Patienten nahmen während der gesamten Studiendauer NSAR (inkl. COX-2 selektive NSAR) ein. Die Patienten waren Helicobacter pylori negativ und Risikopatienten (d.h. sie hatten ein belegtes Ulcus ventriculi oder ein Ulcus duodeni während den vergangenen 5 Jahren und/oder sie waren mindestens 60 Jahre alt). Während der 6-monatigen Behandlung war der kumulative Anteil an Patienten ohne Ulcus ventriculi oder Ulcus duodeni bei den mit Esomep behandelten Patienten grösser als bei den Patienten unter Placebo. Der beobachtete kumulative Prozentsatz an Patienten ohne Ulcus ventriculi oder Ulcus duodeni war in der ersten Studie für Esomep 40 mg 95.9% (p=0.0074; p-Werte versus Placebo; Log-rank Test), für Esomep 20 mg 95.3% (p=0.0180; Log-rank Test) und für Placebo 89.2%. In der zweiten Studie lag dieser Prozentsatz für Esomep 40 mg bei 95.9% (p<0.001; Log-rank Test), für Esomep 20 mg bei 95.5% (p=0.0001; Log-rank Test) und für Placebo bei 82.8%. Es existieren keine klinischen Studien, die die prophylaktische Wirkung länger als 6 Monate untersucht haben.
Pharmakodynamik
Esomeprazol ist das S-Enantiomer des Racemates Omeprazol. Esomeprazol vermindert die Magensäuresekretion durch einen zielgerichteten, spezifischen Wirkungsmechanismus. Esomeprazol ist ein spezifischer Inhibitor der Protonenpumpe der Parietalzelle.
Klinische Wirksamkeit
Siehe auch unter «Wirkungsmechanismus».
Sicherheit und Wirksamkeit bei pädiatrischen Patienten
Die Sicherheit und das klinische Outcome von Esomeprazol bei 1- bis 11-jährigen Kindern wurde in einer unkontrollierten, doppelblinden Multicenter-Studie an n=109 Patienten mit endoskopisch bzw. histologisch gesicherter Refluxösophagitis (mit oder ohne Erosionen/Ulzerationen) untersucht, davon 53 Kinder mit erosiver Refluxösophagitis. Alle Patienten wurden anhand ihres Körpergewichtes in zwei Gruppen stratifiziert. Kinder mit einem KG <20 kg (Durchschnittsalter 2,3 Jahre) erhielten entweder 5 mg oder 10 mg Esomeprazol täglich, Kinder mit einem KG ≥20 kg (Durchschnittsalter 8,4 Jahre) 10 mg bzw. 20 mg. Durchschnittlich erhielten die Kinder eine Esomeprazoldosis von 0,3-0,7 mg/kg. Bei 45 der 53 Patienten mit erosiver Refluxösophagitis konnte der Therapieerfolg am Ende der achtwöchigen Behandlungsphase endoskopisch überprüft werden (22 Kinder <20 kg, 23 Kinder ≥20 kg). Der Befund galt als verbessert, wenn sich der Grad der Ösophagitis um mindestens eine Stufe nach der Los Angeles Klassifikation verbessert hatte. Bei 40 Patienten waren die Erosionen vollständig abgeheilt, bei weiteren 2 Patienten fand sich eine Befundbesserung entsprechend der genannten Definition. Damit wiesen insgesamt 93% der endoskopisch kontrollierten Patienten eine Befundbesserung auf. Die unerwünschten Wirkungen entsprachen jenen bei Erwachsenen.
PharmakokinetikAbsorption
Esomeprazol ist säurelabil und wird deshalb oral als MUPS-Tabletten, bestehend aus magensaftresistent überzogenen Micropellets, verabreicht. Die Umwandlung in das R-Enantiomer ist in vivo vernachlässigbar. Die Absorption von Esomeprazol erfolgt schnell, mit Plasmahöchstwerten ca. 1-2 Stunden nach Verabreichung. Die absolute Bioverfügbarkeit nach einer einmaligen Dosis von 40 mg beträgt 64% und steigt auf 89% bei wiederholter, einmal täglicher Verabreichung. Die entsprechenden Werte für 20 mg sind 50% resp. 68%.
Nahrungsaufnahme verzögert und vermindert die Absorption von Esomeprazol. Dies hat jedoch keinen signifikanten Einfluss auf die Wirkung von Esomeprazol auf die intragastrische Azidität.
Distribution
Das scheinbare Verteilungsvolumen im Steady state beträgt bei gesunden Probanden ungefähr 0,22 l/kg Körpergewicht. Esomeprazol ist zu 97% an Plasmaproteine gebunden.
Metabolismus
Esomeprazol wird vollständig durch das Cytochrom P450-System metabolisiert. Der grössere Teil von Esomeprazol wird über das polymorphe CYP2C19 abgebaut, welches für die Bildung der Hydroxy- und Desmethyl-Metaboliten verantwortlich ist. Der restliche Teil des Metabolismus ist abhängig vom spezifischen Isoenzym CYP3A4, welches für die Bildung von Esomeprazolsulfon, dem Hauptmetaboliten im Plasma, verantwortlich ist.
Die Parameter widerspiegeln hauptsächlich die Pharmakokinetik bei Personen mit einem funktionsfähigen CYP2C19 Enzym, den sogenannten schnellen Metabolisierern.
Elimination
Die totale Plasmaclearance beträgt ca. 17 l/h nach einer Einmaldosis und ca. 9 l/h nach wiederholter Einnahme.
Die Plasmaeliminationshalbwertszeit beträgt ca. 1,3 h nach wiederholter, einmal täglicher Verabreichung.
Die Fläche unter der Plasmakonzentrations-Zeitkurve (AUC) nimmt nach wiederholter Verabreichung von Esomeprazol zu. Diese Erhöhung ist dosisabhängig und resultiert nach wiederholter Verabreichung in einem nichtlinearen Dosis-AUC Verhältnis. Diese Zeit- und Dosisabhängigkeit ist auf einen verminderten First-Pass-Metabolismus und eine verminderte systemische Clearance zurückzuführen, welche wahrscheinlich aufgrund einer Hemmung des CYP2C19 Enzyms durch Esomeprazol und/oder dessen Sulfonmetaboliten verursacht werden. Esomeprazol wird vollständig aus dem Plasma eliminiert, und führt bei normaler Anwendung zu keiner Kumulation.
Die gesamte Exposition (AUC) und tmax (Zeit bis zum Erreichen der maximalen Esomeprazol-Plasmakonzentration) waren nach wiederholter Verabreichung von 20 mg respektive 40 mg Esomeprazol bei Jugendlichen (12 bis 18 Jahre) für beide Dosierungen ähnlich wie bei Erwachsenen.
Die Hauptmetaboliten von Esomeprazol haben keine Wirkung auf die Magensäuresekretion. Ca. 80% einer oral verabreichten Dosis von Esomeprazol werden als Metaboliten via Urin ausgeschieden, der Rest via Fäzes. Weniger als 1% der unveränderten Substanz werden im Urin gefunden.
Kinetik spezieller Patientengruppen
Ca. 3% der Bevölkerung besitzen ein nicht funktionsfähiges CYP2C19 Enzym und werden daher langsame Metabolisierer genannt. Bei dieser Patientengruppe wird der Metabolismus von Esomeprazol hauptsächlich durch CYP3A4 katalysiert. Nach wiederholter, einmal täglicher Verabreichung von 40 mg Esomeprazol, war die durchschnittliche AUC bei den langsamen Metabolisierern im Vergleich zu den schnellen Metabolisierern um 35% bis 65% erhöht. Die durchschnittlichen maximalen Plasmakonzentrationen waren ca. 60% höher. Diese höhere Exposition ist wahrscheinlich klinisch nicht relevant.
Ältere Patienten
Der Metabolismus von Esomeprazol ist bei älteren Patienten (71-80 Jahre) nicht verändert.
Geschlecht
Nach einer einmaligen Dosis von 40 mg Esomeprazol ist die durchschnittliche Fläche unter der Plasmakonzentrations-Zeit-Kurve bei Frauen ca. 30% höher als bei Männern. Nach mehrmaliger, einmal täglicher Anwendung wurden jedoch keine Unterschiede mehr beobachtet. Diese Befunde haben keine Konsequenzen auf die Dosierung von Esomeprazol in Bezug auf das Geschlecht.
Kinder und Jugendliche
Kinder 1 – 11 Jahre
Nach wiederholter Verabreichung von 10 mg Esomeprazol waren die AUC und die Zeit bis zum Erreichen der maximalen Plasmakonzentration (tmax) bei 1- bis 11-jährigen Kindern ähnlich wie nach Gabe von 20 mg bei Jugendlichen (12 bis 18 Jahre) und Erwachsenen. 20 mg Esomeprazol bewirkten bei 6- bis 11-jährigen Kindern eine grössere AUC (6,3 μmol x h/l) als 20 mg bei 12- bis 18-Jährigen und bei Erwachsenen (3,7 bzw. 4,2 μmol x h/l). Die AUC war jedoch kleiner als nach der Gabe einer 40 mg Dosis bei 12- bis 18-Jährigen und Erwachsenen (13,9 bzw. 12,6 μmol x h/l).
Leberfunktionsstörungen
Bei Patienten mit milder bis mässiger Leberinsuffizienz kann der Esomeprazol-Metabolismus beeinträchtigt sein. Die Metabolisierungsrate ist vermindert bei Patienten mit schwerer Leberinsuffizienz, was eine Verdoppelung der AUC von Esomeprazol zur Folge hat. Deshalb sollte bei Patienten mit schwerer Leberinsuffizienz ein Maximum von 20 mg nicht überschritten werden. Esomeprazol und seine Hauptmetaboliten zeigen bei einmal täglicher Verabreichung keine Tendenz zur Kumulation.
Nierenfunktionsstörungen
Es liegen keine Studien bei Patienten mit verminderter Nierenfunktion vor. Da nur die Ausscheidung der Esomeprazolmetaboliten, nicht aber der unveränderten Substanz, über die Nieren erfolgt, wird bei Patienten mit eingeschränkter Nierenfunktion keine Veränderung des Esomeprazol-Metabolismus erwartet.
Präklinische DatenDie präklinischen Brücken-Studien, basierend auf herkömmlichen Studien zur Toxizität bei wiederholter Verabreichung, Genotoxizität und Reproduktionstoxizität, ergaben keine besonderen Gefahren für den Menschen. Gastrische ECL-Zell-Hyperplasie und Karzinoide wurden in Karzinogenitäts-Studien an mit der razemischen Mischung behandelten Ratten beobachtet. Diese Veränderungen bei den Ratten sind das Ergebnis andauernder ausgeprägter Hypergastrinämie infolge der verringerten Produktion von Magensäure und werden bei Ratten nach der Langzeitbehandlung mit Säuresekretionshemmern beobachtet.
Sonstige HinweiseHaltbarkeit
Das Arzneimittel darf nur bis zu dem auf dem Behälter mit «EXP» bezeichneten Datum verwendet werden.
Besondere Lagerungshinweise
Nicht über 30 °C lagern.
In der Originalverpackung aufbewahren.
Ausser Reichweite von Kindern aufbewahren.
Zulassungsnummer60574 (Swissmedic)
PackungenEsomep 20 mg MUPS-Tabletten
14, 28, 56 und 98 Tabletten (in Blistern) [B]
Klinikpackungen: 100 Tabletten (in Blistern) [B]
Esomep 40 mg MUPS-Tabletten
14, 28, 56 und 98 Tabletten (in Blistern) [B]
Klinikpackungen: 100 Tabletten (in Blistern) [B]
ZulassungsinhaberinGrünenthal Pharma AG, Glarus Süd
Stand der InformationMai 2025
|