ZusammensetzungWirkstoffe
Quetiapin als Quetiapinfumarat.
Hilfsstoffe
Maltose-Monohydrat, Methacrylsäure-Ethylacrylat-Copolymer (1:1), Lactose (14 mg bei 50 mg Retardtabletten, 43 mg 150 mg Retardtabletten, 57 mg bei 200 mg Retardtabletten, 85 mg bei 300 mg Retardtabletten, 114 mg bei 400 mg Retardtabletten), Talkum, Magnesiumstearat, Triethylcitrat.
Indikationen/AnwendungsmöglichkeitenQuetiapin XR Spirig HC ist indiziert zur Behandlung der Schizophrenie.
Quetiapin XR Spirig HC ist bei stabilen Schizophrenie-Patienten, die Quetiapin XR Spirig HC als Erhaltungstherapie erhalten, in der Rückfallprophylaxe wirksam.
Quetiapin XR Spirig HC ist indiziert zur Behandlung manischer Episoden bei bipolaren Störungen.
Quetiapin XR Spirig HC ist indiziert zur Behandlung depressiver Episoden bei bipolaren Störungen.
Quetiapin XR Spirig HC ist indiziert zur Rückfallprophylaxe bei Patienten mit bipolaren Störungen, deren akute manische oder akute depressive Episode auf Quetiapin gut angesprochen hat (unter regelmässiger Kontrolle des Nutzen-Risiko-Verhältnisses).
Insbesondere wenn depressive Episoden bei bipolaren Störungen behandelt werden, sollte die Einstellung und Überprüfung der Therapie durch einen Arzt erfolgen, der über klinische Erfahrung in der Diagnose und Behandlung von affektiven Störungen verfügt.
Quetiapin XR Spirig HC ist indiziert zur Zusatzbehandlung depressiver Episoden (Episoden einer Major Depression) bei Patienten, die unzureichend auf die Monotherapie mit mindestens einem Antidepressivum angesprochen haben, im Sinne einer Augmentationsstrategie nach einer gemäss gängigen klinischen Guidelines durchgeführten antidepressiven Therapie (siehe auch «Eigenschaften/Wirkungen», resp. «Warnhinweise und Vorsichtsmassnahmen»). Vor Beginn der Therapie sollte der behandelnde Arzt das Sicherheitsprofil von Quetiapin XR Spirig HC abwägen (siehe «Unerwünschte Wirkungen»).
Dosierung/AnwendungÜbliche Dosierung
Für jede Indikation gibt es ein anderes Dosierungsschema. Es muss daher sichergestellt sein, dass Patienten eindeutige Informationen zu der geeigneten Dosierung für ihre Erkrankung erhalten.
Quetiapin XR Spirig HC soll einmal täglich ohne Essen eingenommen werden. Die Retardtabletten sollen ganz geschluckt werden. Sie sollen weder geteilt, gekaut noch zerdrückt werden. Während der Quetiapin XR Spirig HC-Therapie soll kein Grapefruitsaft eingenommen werden.
Erwachsene
Behandlung der Schizophrenie und der manischen Episoden bei bipolaren Störungen
Quetiapin XR Spirig HC soll einmal täglich ohne Essen mindestens eine Stunde vor einer Mahlzeit eingenommen werden. Zu Beginn der Therapie ist die Tagesdosis 300 mg am 1. Tag, 600 mg am 2. Tag und bis zu 800 mg nach dem 2. Tag. Die Dosis sollte abhängig vom klinischen Ansprechen und der Verträglichkeit beim einzelnen Patienten zwischen 400 mg und 800 mg pro Tag eingestellt werden. Die wirksame tägliche Dosis liegt im Bereich zwischen 400 mg und 800 mg. Es ist keine Dosisanpassung nötig für die Erhaltungstherapie bei Schizophrenie.
Depressive Episoden bei bipolaren Störungen
Quetiapin XR Spirig HC soll einmal täglich vor dem zu Bett gehen eingenommen und wie folgt aufdosiert werden: 50 mg (Tag 1), 100 mg (Tag 2), 200 mg (Tag 3) und 300 mg (Tag 4). Die antidepressive Wirkung wurde in Studien mit Quetiapin Retardtabletten zu 300 mg und mit Quetiapin Filmtabletten zu 300 mg und 600 mg untersucht. Unter Quetiapin Filmtabletten 600 mg wurde kein zusätzlicher Nutzen festgestellt.
Rückfallprophylaxe bei bipolaren Störungen
Patienten, die in der Akutphase bei bipolaren Störungen auf Quetiapin XR Spirig HC angesprochen haben, sollen die Quetiapin XR Spirig HC-Therapie mit gleicher Dosis fortsetzen. Die Quetiapin XR Spirig HC-Dosis kann abhängig vom klinischen Ansprechen des einzelnen Patienten und der Verträglichkeit innerhalb des Dosierungsbereichs von 300 bis 800 mg pro Tag angepasst werden. Es ist wichtig, dass die niedrigste wirksame Dosis zur Rückfallprophylaxe angewendet wird.
Zur Zusatztherapie von depressiven Episoden (Episoden einer Major Depression)
Quetiapin XR Spirig HC sollte vor dem zu Bett Gehen verabreicht werden. Zu Behandlungsbeginn beträgt die Tagesdosis 50 mg am 1. und 2. Tag und 150 mg am 3. und 4. Tag. In Kurzzeitstudien zur Zusatztherapie zeigte sich ein Effekt bei 150 und 300 mg Quetiapin täglich (mit Bupropion, Citalopram, Duloxetin, Escitalopram, Fluoxetin, Paroxetin, Sertralin und Venlafaxin, siehe «Eigenschaften/Wirkungen»). Bei höheren Dosen besteht ein erhöhtes Nebenwirkungsrisiko.
Daher sollte der behandelnde Arzt sicherstellen, dass zur Therapie die niedrigste wirksame Dosis, beginnend mit 50 mg Quetiapin täglich, angewendet wird. Ob eine Erhöhung der Dosis von 150 auf 300 mg Quetiapin täglich notwendig ist, sollte für jeden Patienten individuell entschieden werden.
Aufgrund der QT-verlängernden Eigenschaften von Citalopram wird die Kombination mit Quetiapin XR Spirig HC nicht empfohlen.
Umstellung von Quetiapin (sofortige Wirkstofffreisetzung) auf Quetiapin XR Spirig HC (retardierte Wirkstofffreisetzung)
Patienten, die mit 2x tägl. Quetiapin Spirig HC (mit sofortiger Wirkstofffreisetzung) behandelt werden, können auf Quetiapin XR Spirig HC umgestellt werden, indem die Tagesdosis beibehalten wird. Diese gesamte Dosis wird auf einmal eingenommen, was die Dosierung vereinfacht. Individuelle Dosisanpassungen können nötig sein.
Therapieende
Nach abruptem Absetzen von Antipsychotika, einschliesslich Quetiapin, wurden akute Entzugssymptome wie z.B. Schlaflosigkeit, Nausea und Erbrechen beschrieben (siehe «Unerwünschte Wirkungen»). Es wird empfohlen, die Therapie über eine Periode von mindestens einer bis zwei Wochen stufenweise zu beenden.
Spezielle Dosierungsanweisungen
Ältere Patienten:
Quetiapin XR Spirig HC ist nicht für die Behandlung psychotischer Symptome oder Verhaltensstörungen bei älteren dementen Patienten zugelassen (siehe «Warnhinweise und Vorsichtsmassnahmen»). Zur Anwendung bei Patienten im Alter von über 65 Jahren mit depressiver Episode im Rahmen einer bipolaren Störung liegen keine Daten aus Studien vor (siehe «Warnhinweise und Vorsichtsmassnahmen»). Wie andere Antipsychotika und Antidepressiva sollte auch Quetiapin XR Spirig HC bei älteren Patienten vor allem zu Therapiebeginn mit Vorsicht angewendet werden. Die Dosisanpassung sollte langsamer erfolgen und die Tagesdosen sind niedriger als bei jüngeren Patienten, da die Plasma-Clearance von Quetiapin bei älteren Patienten erniedrigt ist (siehe «Pharmakokinetik»). Bei älteren Patienten soll die Startdosis 50 mg/Tag sein. Die Dosis kann in Schritten von 50 mg/Tag bis zur wirksamen Dosis, die vom individuellen Ansprechen und der Verträglichkeit abhängig ist, erhöht werden.
Bei älteren Patienten mit depressiven Episoden (Episoden einer Major Depression) sollte mit der niedrigsten Dosis (50 mg) begonnen werden. Eine weitere Aufdosierung sollte unbedingt langsam und in mehreren Schritten in Abhängigkeit von der jeweiligen individuellen Verträglichkeit erfolgen. Dabei sind insbesondere die antidepressive Basismedikation, aber auch mögliche Begleiterkrankungen (Komorbidität) und potentielle Interaktionen mit der Komedikation zu beachten (siehe auch «Warnhinweise und Vorsichtsmassnahmen»).
Kinder und Jugendliche:
Sicherheit und Wirksamkeit von Quetiapin XR Spirig HC wurden bei Kindern und Jugendlichen nicht nachgewiesen. Daher soll Quetiapin XR Spirig HC in diesen Altersgruppen nicht angewendet werden.
Patienten mit Nierenfunktionsstörungen
Es ist keine Dosisanpassung nötig.
Patienten mit Leberfunktionsstörungen
Quetiapin wird in der Leber extensiv metabolisiert. Daher sollte Quetiapin XR Spirig HC bei Patienten mit bekannter Leberinsuffizienz vor allem zu Beginn der Therapie mit Vorsicht angewendet werden. Die Initialdosis für Patienten mit Leberinsuffizienz beträgt 50 mg am ersten Tag. Diese Dosis kann, abhängig vom individuellen Ansprechen und der Verträglichkeit, täglich in Schritten von 50 mg/Tag erhöht werden, bis die effektive Dosis erreicht ist.
KontraindikationenQuetiapin XR Spirig HC ist kontraindiziert bei Patienten mit bekannter Überempfindlichkeit auf einen der Inhaltsstoffe und während der Stillzeit.
Die gleichzeitige Anwendung von CYP450 3A4 Inhibitoren wie Azol-Antimykotika, HIV-Proteasehemmer, Erythromycin, Clarithromycin und Nefazodon ist kontraindiziert (siehe auch «Interaktionen»).
Warnhinweise und VorsichtsmassnahmenDa Quetiapin XR Spirig HC zur Behandlung von Schizophrenie, bipolaren Störungen und zur Zusatztherapie bei depressiven Episoden (Episoden einer Major Depression) indiziert ist, sollte beim einzelnen Patienten das Verträglichkeitsprofil individuell entsprechend der bei ihm gestellten Diagnose und der angewendeten Dosierung berücksichtigt werden.
Die Langzeitwirksamkeit und -verträglichkeit wurden bei Patienten mit depressiven Episoden (Episoden einer Major Depression) nicht in der Zusatztherapie ausgewertet.
Herz-Kreislauf-System
Quetiapin sollte mit Vorsicht bei Patienten mit bekannten kardiovaskulären oder zerebrovaskulären Erkrankungen oder anderen Störungen, die für Hypotonie anfällig machen, angewendet werden. Quetiapin kann vor allem während der initialen Dosistitrationsphase eine orthostatische Hypotonie auslösen. Daher sollte in solchen Fällen eine Reduzierung der Dosis oder eine langsamere Dosisanpassung in Erwägung gezogen werden. Bei Patienten mit bekannter kardiovaskulärer Erkrankung kann ein langsameres Aufdosierungsschema in Betracht gezogen werden. Vorsicht ist bei Patienten mit Prädisposition zu QTc-Verlängerungen angezeigt.
Schluckstörungen und Aspiration
Unter der Therapie mit Quetiapin Retardtabletten wurde über Schluckstörungen (siehe «Unerwünschte Wirkungen») und Aspiration berichtet. Quetiapin sollte bei Patienten mit einem Risiko für Aspirationspneumonie mit Vorsicht eingesetzt werden.
Verstopfung und Darmverschluss
Verstopfung ist ein Risikofaktor für Darmverschluss. Unter Quetiapin wurde über Verstopfung und Darmverschluss berichtet (siehe «Unerwünschte Wirkungen»). Darunter gibt es Berichte mit fatalem Ausgang bei Patienten mit hohem Darmverschluss-Risiko, inklusive jenen unter Mehrfach-Komedikation, die die intestinale Motilität herabsetzt, und/oder bei Patienten, die Verstopfungssymptome allenfalls nicht melden.
QT-Verlängerung
Weder in klinischen Studien noch bei Anwendung gemäss der Fachinformation waren Quetiapin Retardtabletten mit einer anhaltenden Verlängerung des absoluten QT-Intervalls verbunden. Bei Überdosierung wurde jedoch eine QT-Verlängerung beobachtet. Wie bei allen Neuroleptika ist jedoch Vorsicht geboten, wenn Quetiapin XR Spirig HC bei Patienten mit Herz-Kreislauf-Erkrankungen oder mit einer QT-Verlängerung in der Familienanamnese verordnet wird. Vorsicht ist auch geboten, wenn Quetiapin XR Spirig HC mit Arzneimitteln verabreicht wird, die bekanntermassen zu einer Verlängerung des QTc-Intervalls führen. Dies gilt auch für die gleichzeitige Gabe anderer Neuroleptika und insbesondere bei älteren Patienten, Patienten mit kongenitalem QT Syndrom, schwerer Herzinsuffizienz, Hypertrophie des Herzens, Hypokaliämie oder Hypomagnesiämie (siehe Rubrik «Interaktionen»).
Kardiomyopathie und Myokarditis
In klinischen Studien und nach Markteinführung wurde über Kardiomyopathie und Myokarditis berichtet; ein Kausalzusammenhang zu Quetiapin konnte nicht ausgeschlossen werden. Eine Behandlung mit Quetiapin sollte bei Patienten mit Verdacht auf Myokarditis oder Myopathie neu überdacht werden.
Schwere kutane Reaktionen
Während der Anwendung von Quetiapin wurden als potentiell lebensbedrohliche unerwünschte Arzneimittelreaktionen schwere kutane Reaktionen (SCAR) gemeldet, einschliesslich Stevens-Johnson-Syndrom (SJS), toxische epidermale Nekrolyse (TEN), akute generalisierte exanthematische Pustulose (AGEP), Erythema multiforme (EM) und Arzneimittelreaktion mit Eosinophilie und systemischen Symptomen (DRESS). SCAR treten meistens verzögert nach der ersten Einnahme von Quetiapin auf und zeigen sich häufig durch eines oder mehrere der folgenden Symptome: Ausgedehnter Hautausschlag (welcher juckend oder mit Pusteln verbunden sein kann), exfoliative Dermatitis (bei SJS und TEN mit Schleimhautbeteiligung), Eosinophilie oder Neutrophilie, Fieber, Lymphadenopathie und im Falle eines DRESS Syndroms eventuell eine oder mehrere systemische Komplikationen wie Hepatitis, Nephritis, Pneumonie, Myokarditis und Perikarditis. Wenn diese Reaktionen auftreten, ist Quetiapin sofort abzusetzen.
Krampfanfälle
In kontrollierten klinischen Studien gab es keinen Unterschied im Auftreten von Krampfanfällen bei mit Quetiapin oder Placebo behandelten Patienten. Wie bei anderen Antipsychotika sollte Quetiapin bei Patienten mit Krampfanfällen in der Anamnese oder bei Patienten mit Krankheiten, die die Krampfschwelle herabsetzen (z.B. Alzheimer) vorsichtig angewendet werden (siehe «Unerwünschte Wirkungen»).
Somnolenz
Die Behandlung mit Quetiapin war mit Somnolenz und verwandten Symptomen wie Sedierung (siehe «Unerwünschte Wirkungen») assoziiert. In klinischen Prüfungen zur Behandlung von Patienten mit bipolaren Depressionen und depressiven Episoden (Episoden einer Major Depression) traten die Symptome normalerweise innerhalb der ersten 3 Behandlungstage auf und waren von leichter bis mittelschwerer Intensität. Patienten mit bipolarer Depression und Patienten mit depressiven Episoden (Episoden einer Major Depression), die unter Somnolenz mit schwerer Intensität leiden, sollten häufiger kontrolliert werden, mindestens für die ersten zwei Wochen nach Auftreten der Somnolenz oder bis sich die Symptome bessern bzw. bis ein Abbruch der Behandlung in Betracht gezogen wird.
Schlafapnoe
Bei Patienten, die gleichzeitig Arzneimittel mit zentralnervös dämpfender Wirkung einnehmen und mit Schlafapnoe in der Anamnese oder mit einem Risiko für Schlafapnoe, sollte Quetiapin mit Vorsicht angewendet werden.
Spätdyskinesien und extrapyramidale Symptome (EPS)
Spätdyskinesien sind ungewollte, zum Teil irreversible, dyskinetische Bewegungen, die sich bei Patienten entwickeln können, die mit Neuroleptika einschliesslich Quetiapin behandelt werden. Sie können auch schon nach kurzer Zeit (wenige Monate) der Behandlung mit einem Neuroleptikum auftreten. Sollten Zeichen oder Symptome von tardiver Dyskinesie auftreten, so ist eine Dosisreduktion oder ein Therapieabbruch in Erwägung zu ziehen. Die Symptome einer tardiven Dyskinesie können sich nach Therapieende verschlimmern oder gar erst auftreten (siehe «Unerwünschte Wirkungen»). Die Anwendung von Quetiapin wurde mit der Entwicklung einer Akathisie in Verbindung gebracht, die durch subjektiv als unangenehm oder quälend empfundene Ruhelosigkeit und zwanghaftem Bewegungsdrang charakterisiert ist, oft begleitet durch eine Unfähigkeit, still zu sitzen oder still zu stehen. Dies tritt höchstwahrscheinlich innerhalb der ersten Behandlungswochen auf. Treten bei Patienten diese Symptome auf, kann eine Dosiserhöhung schädlich sein.
Höhere Raten für EPS waren unter Quetiapin im Vergleich zu Placebo bei Patienten in placebokontrollierten Kurzzeitstudien zur Behandlung von bipolarer Depression und von depressiven Episoden (Episoden einer Major Depression) zu beobachten. In placebokontrollierten Kurzzeitstudien zur Behandlung der bipolaren Depression betrug die Inzidenz für EPS 8.9% für Quetiapin verglichen mit 3.8% für Placebo. Bei bipolarer Depression und bei depressiven Episoden (Episoden einer Major Depression) betrug die Inzidenz für die einzelnen EPS (z.B. Akathisie, extrapyramidale Störungen, Tremor, Dyskinesie, Dystonie, Ruhelosigkeit, unwillkürliche Muskelkontraktionen, psychomotorische Hyperaktivität und Muskelsteifheit) in keiner Behandlungsgruppe mehr als 4%. In placebokontrollierten Kurzzeitstudien bei Erwachsenen mit Schizophrenie und mit bipolarer Manie war die Gesamtinzidenz für EPS unter Quetiapin über den gesamten therapeutischen Dosierungsbereich ähnlich wie unter Placebo (Schizophrenie: Quetiapin 7.8% und Placebo 8.0%; bipolare Manie: Quetiapin 11.2% und Placebo 11.4%). In placebokontrollierten Langzeitstudien bei Erwachsenen mit Schizophrenie und mit bipolaren Störungen war die an die Dosierung angepasste Gesamtinzidenz für die während der Behandlung auftretenden EPS unter Quetiapin ähnlich wie unter Placebo.
Malignes neuroleptisches Syndrom
Fälle von malignen neuroleptischen Syndromen wurden unter der Behandlung mit Quetiapin beobachtet (siehe Abschnitt «Unerwünschte Wirkungen»). Klinische Zeichen sind Hyperthermie, veränderter mentaler Status, Muskelrigidität, autonome Instabilität und erhöhter Kreatinphosphokinase-Spiegel. In diesem Falle sollte Quetiapin abgesetzt und eine entsprechende medizinische Behandlung eingeleitet werden.
Serotoninsyndrom
In vereinzelten Fällen kann sich unter der Behandlung mit Quetiapin ein Serotoninsyndrom entwickeln, wobei kein zwangsläufiger Kausalzusammenhang besteht. Dies kommt vor allem bei gleichzeitiger Verabreichung serotonerger Substanzen, sowie anderer Substanzen mit serotonerger Komponente wie z.B. MAO-Hemmer und Lithium-Salze vor. Da diese Syndrome zu lebensbedrohlichen Zuständen führen können, sollte die Behandlung mit Quetiapin bei Auftreten solcher Fälle (gekennzeichnet durch eine Reihe geballt auftretender Symptome wie Hyperthermie, Rigidität, Myoklonus, vegetativer Instabilität mit möglicherweise rasch schwankenden Vitalparametern, mentalen Veränderungen einschliesslich Verwirrtheit, Reizbarkeit, extremer Agitiertheit bis hin zu Delirium und Koma) abgebrochen und eine symptomatische Behandlung eingeleitet werden. Unter Umständen wird eine intensivmedizinische Therapie mit spezifischen Massnahmen notwendig.
Enzyminhibitoren und Enzyminduktoren
Es können QTc-Verlängerungen, insbesondere bei Komedikation mit CYP450 3A4 Inhibitoren auftreten (siehe «Interaktionen»).
Bei gleichzeitiger Einnahme von Quetiapin und stark leberenzyminduzierenden Substanzen wie Carbamazepin oder Phenytoin wird die Plasmakonzentration von Quetiapin erheblich verringert, was die Wirksamkeit der Behandlung mit Quetiapin beeinflussen kann. Bei Patienten, die mit Arzneimitteln behandelt werden, die Leberenzyme induzieren, sollte die Behandlung mit Quetiapin nur begonnen werden, wenn der behandelnde Arzt entscheidet, dass der mögliche Nutzen einer Behandlung mit Quetiapin grösser ist als das Risiko des Absetzens des leberenzyminduzierenden Arzneimittels. Es ist wichtig, dass jede Änderung beim leberenzyminduzierenden Arzneimittel schrittweise erfolgt und dieses Arzneimittel, falls erforderlich, durch eine nicht leberenzyminduzierende Substanz (z.B. Natriumvalproat) ersetzt wird.
Schwere Neutropenie und Agranulozytose
In placebokontrollierten klinischen Kurzzeit-Monotherapiestudien wurde gelegentlich über schwere Neutropenie ohne Infektionen (neutrophile Granulozyten < 0,5 x 109/l) berichtet. Es gab Berichte über Agranulozytose (schwere Neutropenie mit auftretenden Infektionen) bei mit Quetiapin behandelten Patienten sowohl während klinischen Studien (selten) als auch nach Markteinführung (inklusive fatale Fälle). Die meisten Fälle schwerer Neutropenie traten innerhalb von zwei Monaten nach Therapiebeginn mit Quetiapin auf, obwohl es auch vereinzelte Fälle gab, die später auftraten. Es war keine Dosisabhängigkeit ersichtlich. In Anwendungsbeobachtungen nach Markteinführung gingen Leukopenie und/oder Neutropenie nach Beendigung der Therapie mit Quetiapin zurück. Mögliche Risikofaktoren für eine Neutropenie sind eine bestehende geringe Leukozytenzahl und eine medikamenteninduzierte Neutropenie in der Anamnese. Es gab Fälle von Agranulozytose bei Patienten ohne präexistierende Risikofaktoren. Neutropenie sollte bei Patienten, die Infektionen zeigen, besonders wenn keine offensichtliche Prädisposition vorliegt oder bei Patienten mit unerklärbarem Fieber, in Betracht gezogen werden. Die Neutropenie soll klinisch angemessen behandelt werden. Quetiapin sollte bei Patienten mit einem neutrophilen Granulozyten Wert < 1.0 x 109/l abgesetzt werden. Die Patienten sollten in Bezug auf Zeichen und Symptome einer Infektion beobachtet werden und die neutrophilen Granulozyten Werte sollten beobachtet werden, bis der Wert grösser ist als 1.5 x 109/l (siehe «Unerwünschte Wirkungen»).
Gewicht
Bei Patienten, die mit Quetiapin behandelt wurden, wurde über Gewichtszunahme berichtet. Diese sollte den üblichen Behandlungsrichtlinien für psychotische Erkrankungen entsprechend klinisch beobachtet und behandelt werden (siehe «Unerwünschte Wirkungen»). In placebokontrollierten Kurzzeitstudien (über 3 bis 8 Wochen) mit fixer Dosierung (50 mg bis 800 mg täglich) schwankte die mittlere Gewichtszunahme bei Patienten, die mit Quetiapin behandelt wurden, zwischen 0.8 kg bei einer Tagesdosis von 50 mg und 1.4 kg bei einer Tagesdosis von 600 mg (mit geringerer Zunahme bei einer Tagesdosis von 800 mg), verglichen zu 0.2 kg bei Patienten unter Placebo-Behandlung. Der prozentuale Anteil der mit Quetiapin behandelten Patienten, bei denen das Körpergewicht um ≥7% zugenommen hatte, schwankte zwischen 5.3% bei einer Tagesdosis von 50 mg bis 15.5% bei einer Tagesdosis von 400 mg (mit geringerer Zunahme bei Tagesdosen von 600 und 800 mg), verglichen mit 3.7% bei Patienten unter Placebo-Behandlung.
Hyperglykämie
Über eine Hyperglykämie und/oder eine Entwicklung oder Verschlechterung eines Diabetes, gelegentlich zusammen mit Ketoazidose oder Koma, wurde berichtet. Dabei gab es einige tödliche Fälle (siehe «Unerwünschte Wirkungen»). In einigen Fällen wurde eine vorangehende Zunahme des Körpergewichts berichtet, die möglicherweise als prädisponierender Faktor wirkt. Eine angemessene klinische Beobachtung in Übereinstimmung mit den üblichen Behandlungsrichtlinien für psychotische Erkrankungen ist ratsam. Bei Patienten, die mit antipsychotischen Arzneimitteln wie Quetiapin behandelt werden, sollte auf Zeichen und Symptome einer Hyperglykämie (zum Beispiel Polydipsie, Polyurie, Polyphagie und Schwäche) geachtet werden. Patienten mit Diabetes mellitus oder Risikofaktoren für Diabetes mellitus sollten regelmässig auf eine Verschlechterung der glykämischen Regulation untersucht werden. Das Körpergewicht sollte regelmässig kontrolliert werden.
Lipide
Zunahme der Triglyceride, des LDL- und des Gesamtcholesterins und Abnahme des HDL-Cholesterins wurden in klinischen Studien mit Quetiapin beobachtet (siehe «Unerwünschte Wirkungen»). Bei Patienten mit vorbestehenden Blutfettveränderungen sollten regelmässig Kontrollen durchgeführt werden. Lipidveränderungen sollten angemessen behandelt werden.
Risiko für den Stoffwechsel
Angesichts der beobachteten Änderungen des Gewichts, des Blutzuckerspiegels (siehe Hyperglykämie) und, wie in klinischen Studien festgestellt, der Lipide, kann es bei einzelnen Patienten möglicherweise zu Verschlechterungen des Stoffwechsel-Risikoprofils kommen, die in angemessener Weise klinisch behandelt werden sollten.
Lebererkrankung
Bei der Anwendung von Quetiapin bei Patienten mit vorbestehenden Lebererkrankungen, bei Patienten, die mit möglicherweise hepatotoxischen Arzneimitteln behandelt werden, oder wenn während der Quetiapin-Therapie Anzeichen oder Symptome einer Leberfunktionsstörung auftreten, ist Vorsicht angezeigt. Sehr selten wurde seit der Markteinführung über Leberversagen, einschliesslich Todesfälle, berichtet. In klinischen Studien kam es selten zu Hepatitis. Selten wurde seit der Markteinführung über Hepatitis (mit oder ohne Gelbsucht) berichtet bei Patienten mit oder ohne Vorgeschichte. Ebenso kam es seit der Markteinführung sehr selten zu Hepatosteatose und zu cholestatischen oder gemischten Leberschäden. Für Patienten, die vor der Therapie mit Quetiapin eine bekannte oder vermutete abnormale Leberfunktion haben, wird eine klinische Standarduntersuchung, einschliesslich Messung der Transaminasen, empfohlen. Für diese Patienten und ebenso für Patienten, die während der Quetiapin-Therapie Anzeichen und Symptome haben, die auf einen neuen Ausbruch einer Lebererkrankung hinweisen, wird eine periodische klinische Neubeurteilung mittels Transaminasenwerte empfohlen.
Pankreatitis
In klinischen Studien und in der Postmarketing-Phase wurde über Pankreatitis berichtet, ohne dass ein Kausalzusammenhang nachgewiesen werden konnte. In den Postmarketing-Berichten hatten viele Patienten Risikofaktoren (z.B. erhöhte Triglycerid-Werte [siehe «Lipide» oben], Gallensteine, Alkoholkonsum), die bekannt sind, mit Pankreatitis assoziiert zu sein.
Hypothyreodismus
Unter Quetiapin wurde, vor allem in den ersten Behandlungswochen, eine Verminderung der Schilddrüsenhormonspiegel beobachtet. Bei Patienten mit bekannten Hypothyreodismus sollten regelmässig Kontrollen der Schilddrüsenhormone durchgeführt werden (siehe «Unerwünschte Wirkungen»).
Syndrom der inadäquaten ADH-Sekretion (SIADH)
In vereinzelten Fällen kann es zu einem Syndrom der inadäquaten ADH-Sekretion kommen, wobei kein zwangsläufiger Kausalzusammenhang besteht. Es werden regelmässige Elektrolyt-Kontrollen empfohlen.
Ältere Patienten (> 65 Jahre) mit Demenz:
Quetiapin ist nicht für die Behandlung von psychotischen Symptomen oder Verhaltensstörungen bei Patienten mit Demenz zugelassen und wird daher nicht zur Anwendung in dieser Patientengruppe empfohlen.
In randomisierten, placebokontrollierten Studien an einer Population von Demenz-Patienten wurde unter der Behandlung mit einigen atypischen Antipsychotika eine ca. dreifache Risikoerhöhung für unerwünschte zerebrovaskuläre Ereignisse beobachtet. Welcher Mechanismus dieser Risikoerhöhung zugrunde liegt, ist nicht bekannt. Für andere Antipsychotika bzw. andere Patientenpopulationen kann eine entsprechende Risikoerhöhung nicht ausgeschlossen werden. Bei der Verabreichung von Quetiapin an Patienten mit Schlaganfall-Risikofaktoren ist daher Vorsicht geboten.
In placebokontrollierten klinischen Studien bei älteren Patienten mit Demenz-assoziierter Psychose war die Inzidenz für unerwünschte zerebrovaskuläre Ereignisse pro 100 Patientenjahren bei Patienten unter Quetiapin-Behandlung nicht höher als bei Patienten unter Placebo-Behandlung.
Aus einer Meta-Analyse zu atypischen Antipsychotika ging hervor, dass ältere Patienten mit demenzbedingter Psychose unter diesen Arzneimitteln ein höheres Sterberisiko haben als entsprechende Patienten unter Placebo. In zwei zehnwöchigen, placebokontrollierten Studien mit Quetiapin an ein und derselben Patientenpopulation (n = 710, Durchschnittsalter 83 [56-99] Jahre) lag die Mortalität bei Patienten unter Quetiapin jedoch bei 5.5%, gegenüber 3.2% bei den Patienten der Placebogruppe. Die Todesursachen waren bei den Patienten in diesen Studien ganz unterschiedlicher Art und entsprachen den Erwartungswerten für eine solche Population. Diese Daten sind somit kein Beleg für einen Kausalzusammenhang zwischen Quetiapin und erhöhter Sterblichkeit bei älteren Demenz-Patienten.
Suizid, Suizidgedanken oder klinische Verschlechterung
Depressionen sind mit einem erhöhten Risiko für Suizidgedanken, Selbstverletzung und Suizid (Suizid-bezogene Ereignisse) verbunden. Dieses Risiko besteht, bis es zu einer wesentlichen Remission kommt. Da die Besserung möglicherweise nicht während der ersten Behandlungswochen eintritt, sollten die Patienten bis es zu einer Verbesserung kommt besonders engmaschig überwacht werden. Die klinische Erfahrung zeigt, dass das Suizidrisiko zu Beginn der Genesung erhöht sein kann oder wieder auftreten kann. Patienten (und deren Betreuer) sollten auf die Notwendigkeit einer Überwachung hinsichtlich einer möglichen Verschlechterung des Zustandes (einschliesslich der Entwicklung von neuen Symptomen) und/oder des Auftretens von Suizidgedanken, suizidalem Verhalten und selbstschädigenden Absichten hingewiesen werden und sofort medizinischen Rat einholen, wenn derartige Symptome auftreten. Das Risiko für Suizidgedanken oder Suizidversuche ist bei Patienten mit suizidalem Verhalten oder Suizidgedanken in der Anamnese grösser. In der Literatur sind eine Reihe weiterer Risikofaktoren beschrieben worden, z.B. auch EPS.
Zugleich müssen Ärzte das potenzielle Risiko für das Auftreten von Suiziden, Suizidgedanken oder Selbstverletzungen nach abrupter Beendigung der Behandlung mit Quetiapin in Betracht ziehen.
Andere psychiatrische Erkrankungen, für die Quetiapin XR Spirig HC verschrieben wird, können ebenso mit einem erhöhten Risiko für Suizid-bezogene Ereignisse einhergehen. Ausserdem können diese Erkrankungen zusammen mit depressiven Episoden (Episoden einer Major Depression) auftreten. Daher sollten bei der Behandlung anderer psychiatrischer Erkrankungen die gleichen Vorsichtsmassnahmen eingehalten werden wie bei der Behandlung von depressiven Episoden (Episoden einer Major Depression).
In klinischen Studien bei Patienten mit schweren depressiven Episoden bei bipolaren Störungen, wurde unter Quetiapin-Behandlung im Vergleich zu Placebo ein erhöhtes Risiko für Suizide, Suizidgedanken oder Selbstverletzungen bei jungen Erwachsenen (jünger als 25 Jahre) beobachtet (3% vs. 0%). In klinischen Studien mit Patienten mit depressiven Episoden (Episoden einer Major Depression) betrug die Inzidenz der bei jungen erwachsenen Patienten (jünger als 25 Jahre) beobachteten Suizid-bezogenen Ereignisse 2.1% (3/144) für Quetiapin und 1.3% (1/75) für Placebo.
Eine Meta-Analyse der FDA von placebokontrollierten klinischen Studien mit Antidepressiva bei ca. 4400 Kindern und Jugendlichen und bei 77000 Erwachsenen mit psychiatrischen Erkrankungen zeigte ein erhöhtes Risiko für suizidales Verhalten unter Antidepressiva als unter Placebo bei Kindern, Jugendlichen und jungen Erwachsenen jünger als 25 Jahre. Quetiapin war bei dieser Meta-Analyse nicht eingeschlossen (siehe «Eigenschaften/Wirkungen, Pharmakodynamik».
Lactose
Quetiapin XR Spirig HC Retardtabletten enthalten Lactose. Patienten mit der seltenen hereditären Galactose-Intoleranz, völligem Lactase-Mangel oder Glucose-Galactose-Malabsorption sollten dieses Arzneimittel nicht anwenden.
Anticholinerge (muskarinische) Effekte
Norquetiapin, ein aktiver Metabolit von Quetiapin, hat eine mittlere bis starke Affinität für mehrere Muskarinrezeptor-Subtypen. Dies trägt zu unerwünschten Wirkungen bei, die aufgrund der anticholinergen Wirkungen entstehen, wenn Quetiapin in den empfohlenen Dosierungen verwendet wird oder wenn Quetiapin gleichzeitig mit anderen Arzneimitteln mit anticholinergen Wirkungen verwendet wird und bei Überdosierung. Quetiapin sollte bei Patienten, die Arzneimittel mit anticholinergen (muskarinischen) Wirkungen erhalten, mit Vorsicht verwendet werden. Quetiapin sollte bei Patienten mit einer aktuellen Diagnose oder Harnverhalt in der Anamnese, mit klinisch signifikanter Prostatavergrösserung, mit Darmverschluss oder ähnlichen Zuständen, mit erhöhtem Augeninnendruck oder Engwinkelglaukom mit Vorsicht verwendet werden (siehe «Interaktionen», «Unerwünschte Wirkungen», «Eigenschaften/Wirkungen, Pharmakodynamik resp. Wirkungsmechanismus» und «Überdosierung»).
Fehlgebrauch und Missbrauch
Es wurden Fälle von Fehlgebrauch und Missbrauch berichtet. Bei der Verschreibung von Quetiapin bei Patienten mit Alkohol- oder Drogenmissbrauch in der Vorgeschichte ist Vorsicht geboten.
InteraktionenAufgrund seiner zentralnervösen Wirkung sollte Quetiapin nur mit Vorsicht mit anderen zentralwirksamen Medikamenten kombiniert werden und die gleichzeitige Einnahme von Alkohol ist zu vermeiden.
Cytochrom P450 (CYP) 3A4 ist das in erster Linie für den Cytochrom P450-abhängigen Metabolismus von Quetiapin verantwortliche Enzym. In einer Interaktionsstudie an gesunden Freiwilligen führte die gleichzeitige Gabe von Quetiapin (25 mg) und Ketoconazol zu einem 5- bis 8-fachen Anstieg der AUC von Quetiapin. Aus diesem Grund ist die gleichzeitige Gabe von Quetiapin XR Spirig HC und potenten CYP3A4-Hemmern kontraindiziert. Ebenso soll während der Quetiapin XR Spirig HC-Therapie kein Grapefruitsaft eingenommen werden.
Die pharmakokinetischen Parameter von Quetiapin wurden nach gleichzeitiger Gabe von Cimetidin, einem mittelstarken Inhibitor CYP2D6 und CYP3A4, nicht verändert. Die gleichzeitige Verabreichung von Antidepressiva wie Imipramin, einem CYP2D6 Inhibitor, oder Fluoxetin, einem CYP3A4 und CYP2D6 Inhibitor, veränderte die pharmakokinetischen Parameter von Quetiapin nicht signifikant.
Vorsicht ist geboten bei der Verabreichung an Patienten, die mit anderen Arzneimitteln mit anticholinergen (muskarinischen) Wirkungen behandelt werden (siehe «Warnhinweise und Vorsichtsmassnahmen»).
Bei Lithium-Komedikation sollten die Lithiumspiegel regelmässig bestimmt werden, da Anstiege der Lithiumspiegel nicht völlig ausgeschlossen werden können.
Die pharmakokinetischen Parameter von Natriumvalproat und Quetiapin wurden bei gleichzeitiger Verabreichung klinisch nicht relevant verändert.
Die gleichzeitige Verabreichung der Antipsychotika Risperidon oder Haloperidol hat keinen signifikanten Einfluss auf die Pharmakokinetikparameter von Quetiapin.
In einer Studie mit Mehrfachdosierung wurde die Pharmakokinetik von 300 mg Quetiapin vor und während einer gleichzeitigen Behandlung mit 200 mg Carbamazepin (einem bekannten mikrosomalen Enzyminduktor) bei Patienten untersucht. Die gleichzeitige Gabe von Carbamazepin führte im Vergleich zur alleinigen Quetiapin-Einnahme, zu einer signifikanten Erhöhung der Quetiapin-Clearance, welche die Bioverfügbarkeit von Quetiapin (Messung der AUC) auf durchschnittlich 13% erniedrigte. Bei einigen Patienten wurde dieser Effekt sogar verstärkt beobachtet. Aufgrund dieser ausgeprägten Interaktion wird die gleichzeitige Behandlung mit Carbamazepin, welche sich zudem der Carbamazepinmonotherapie nicht überlegen zeigte, nicht empfohlen.
Bei gleichzeitiger Gabe von Quetiapin und Phenytoin ist die Clearance von Quetiapin um ca. 450% erhöht. Bei Patienten, die einen hepatischen Enzyminduktor erhalten, sollte nur dann eine Behandlung mit Quetiapin durchgeführt werden, wenn der Nutzen der Quetiapin-Behandlung die Gefahren durch den Verzicht auf den Enzyminduktor überwiegt. Jede Veränderung im Enzyminduktor ist graduell, wenn erforderlich, sollte der Induktor durch einen Nicht-Induktor (z.B. Natriumvalproat) ersetzt werden.
Bei Patienten, die Quetiapin einnahmen, wurde bei Enzym-Immuntests für Methadon und trizyklische Antidepressiva über falsch positive Resultate berichtet. Es wird empfohlen, zweifelhafte Immuntestresultate durch geeignete chromatographische Verfahren zu bestätigen.
Schwangerschaft, StillzeitSchwangerschaft
Es liegen keine klinischen Daten mit Anwendung bei Schwangeren vor. Bei Tieren traten unter maternaler Toxizität bei hohen Dosen Fertilitätsstörungen und Entwicklungsstörungen der Feten auf. Quetiapin sollte deshalb während der Schwangerschaft nicht angewendet werden, es sei denn, es ist klar notwendig. Ist während der Schwangerschaft ein Absetzen der Behandlung erforderlich, so soll dies nicht abrupt geschehen (siehe «Dosierung/Anwendung»).
Drittes Trimenon
Nicht-teratogene Effekte: Bei Neugeborenen, deren Mütter während des dritten Trimenons der Schwangerschaft Antipsychotika (einschliesslich Quetiapin) einnahmen, besteht nach der Geburt das Risiko für extrapyramidale Symptome und/oder Entzugssymptome (siehe «Unerwünschte Wirkungen»). Diese Symptome bei Neugeborenen können Agitation, ungewöhnlich erhöhten oder verminderten Muskeltonus, Tremor, Schläfrigkeit, Schwierigkeit beim Atmen oder Probleme beim Füttern einschliessen. Diese Komplikationen können einen unterschiedlichen Schweregrad aufweisen. Bei einigen Fällen waren sie selbst limitierend, in anderen Fällen benötigten die Neugeborenen eine Überwachung auf der Intensivstation oder eine längere Hospitalisation.
Stillzeit
Publizierten Berichten ist zu entnehmen, dass Quetiapin in die Muttermilch ausgeschieden wird. Das Ausmass der Ausscheidung war jedoch inkonsistent. Während einer Behandlung mit Quetiapin sollten Mütter deshalb nicht stillen.
Wirkung auf die Fahrtüchtigkeit und auf das Bedienen von MaschinenQuetiapin XR Spirig HC hat einen mässigen Einfluss auf die Fahrtüchtigkeit oder die Fähigkeit, Maschinen zu bedienen.
Durch seine zentrale Wirkung kann Quetiapin XR Spirig HC Aktivitäten, welche geistige Wachsamkeit erfordern, beeinträchtigen. Deshalb sollten Patienten weder Fahrzeuge lenken noch Maschinen bedienen, bis die individuelle Sensibilität abgeklärt ist.
Unerwünschte WirkungenDie folgenden Häufigkeitsdefinitionen werden verwendet:
Sehr häufig (≥1/10), häufig (≥1/100, < 1/10), gelegentlich (≥1/1000, < 1/100), selten (≥1/10'000, < 1/1000), sehr selten (< 1/10'000), nicht bekannt (Häufigkeit auf Grundlage der verfügbaren Daten nicht abschätzbar).
Erkrankungen des Blutes und des Lymphsystems
Häufig: Leukopenie (Verringerung des normalen Ausgangswertes auf einen potenziell klinisch relevanten Wert [definiert als < 3 x 109 weisse Blutkörperchen pro Liter] zu irgendeinem Zeitpunkt in allen klinischen Studien), Neutropenie.
Gelegentlich: Anämie1, Thrombozytopenie.
Selten: Agranulozytose (schwerer Neutropenie (< 0.5 x 109/l) mit auftretenden Infektionen, Häufigkeit bezieht sich auf Daten aus allen klinischen Studien).
Erkrankungen des Immunsystems
Gelegentlich: Hypersensitivität.
Sehr selten: anaphylaktischer Schock.
Stoffwechsel- und Ernährungsstörungen
Sehr häufig: Gewichtszunahme (definiert als Zunahme des Körpergewichts um > 7%) 8-23%. Anstiege der Serum-Triglyceridspiegel (mindestens einmal Triglyceride ≥200 mg/dl bei Patienten ≥18 Jahre oder ≥150 mg/dl bei Patienten < 18 Jahre) und des Gesamtcholesterins (vorwiegend des LDL-Cholesterins) (mindestens einmal Gesamtcholesterin > 240 mg/dl bei Patienten > 18 Jahre oder ≥200 mg/dl bei Patienten < 18 Jahre). Abnahme des HDL-Cholesterins (HDL < 40 mg/dl bei Männern resp. < 50 mg/dl bei Frauen zu irgendeiner Zeit).
Häufig: erhöhter Appetit.
Gelegentlich: Gewichtsverlust1.
Sehr selten: Diabetes Mellitus, diabetische Störungen des Wasserhaushaltes mit Dehydratation oder Überwässerung, letzteres u.a. im Rahmen von SIADH (Syndrom der inadäquaten ADH-Sekretion).
Psychiatrische Erkrankungen
Häufig: ungewöhnliche Träume und Albträume, Suizidgedanken und suizidales Verhalten. Es wurde über Fälle von Suizidgedanken und suizidalem Verhalten während einer Therapie mit Quetiapin oder kurz nach Beendigung der Therapie berichtet (siehe «Warnhinweise und Vorsichtsmassnahmen»).
Selten: Schlafwandeln und andere ähnliche Aktivitäten während des Schlafens.
Nicht bekannt: Agitiertheit2.
Erkrankungen des Nervensystems
Sehr häufig: Somnolenz (31.3%) vor allem während der ersten zwei Behandlungswochen, Schwindel (11.3%). Schwindel und Schläfrigkeit können zu Stürzen führen. Extrapyramidale Störungen (gesamthaft).
Häufig: Dysarthrie.
Gelegentlich: Krampfanfälle, Restless legs Syndrom, akute Dystonie, tardive Dyskinesie, Synkope (kann zu Stürzen führen), Verwirrtheitszustand.
Sehr selten: Hyperkinesie1.
Nicht bekannt: Akathisie2.
Augenerkrankungen
Häufig: unscharfes Sehen.
Herzerkrankungen
Häufig: Tachykardie, Herzklopfen, orthostatische Hypotonie (kann zu Stürzen führen).
Gelegentlich: Vasodilatation, Migräne, Bradykardie, zerebrale Ischämie, unregelmässiger Puls, T-Welle Abnormalität, AV-Block, zerebrovaskuläres Ereignis, tiefe Venenthrombose, T-Welle Inversion.
Selten: Angina Pectoris, Vorhofflimmern, AV-Block ersten Grades, kongestive Herzinsuffizienz, ST-Hebung, Thrombophlebitis, Abflachung der T-Welle, ST-Abnormalität, QRS-Verlängerung, QTc-Verlängerungen venöse Thromboembolien.
Nicht bekannt: Kardiomyopathie, Myokarditis.
Erkrankungen der Atemwege, des Brustraums und Mediastinums
Häufig: Pharyngitis1, verstärkter Husten1, Dyspnoe1.
Gelegentlich: Rhinitis, Asthma1, Nasenbluten1.
Selten: Hyperventilation1, Schluckauf1.
Erkrankungen des Gastrointestinaltrakts
Sehr häufig: Trockener Mund.
Häufig: Verstopfung, Dyspepsie, Bauchschmerzen, Erbrechen (vor allem bei Patienten älter als 65 Jahre).
Selten: Darmverschluss.
Sehr selten: Dysphagie, Pankreatitis1.
Nicht bekannt: Bezoar3
Leber- und Gallenerkrankungen
Häufig: Anstieg der Serum-Alaninaminotransferase (ALT), Anstiege der γ-GT-Spiegel.
Gelegentlich: Anstieg der Serum-Aspartataminotransferase (AST).
Selten: Hepatitis (mit oder ohne Ikterus).
Sehr selten: Hepatosteatose, cholestatische oder gemischte Leberschäden nach Markteinführung.
Erkrankungen der Haut und des Unterhautgewebes
Häufig: Rash.
Sehr selten: Angioödem.
Nicht bekannt: toxische epidermale Nekrolyse2, Stevens-Johnson-Syndrom2, akute generalisierte exanthematische Pustulose (AGEP), Erythema multiforme (EM), Arzneimittelreaktion mit Eosinophilie und systemischen Symptomen (DRESS) oder Komplikationen (siehe auch «Warnhinweise und Vorsichtsmassnahmen»), kutane Vaskulitis.
Skelettmuskulatur-, Bindegewebs- und Knochenerkrankungen
Selten: CPK-Erhöhung.
Sehr selten: Rhabdomyolyse2.
Erkrankungen der Nieren und Harnwege
Gelegentlich: Harnretention.
Schwangerschaft, Wochenbett und perinatale Erkrankungen
Nicht bekannt: extrapyramidalmotorische Symptome und/oder Entzugserscheinungen beim Neugeborenen.
Erkrankungen der Geschlechtsorgane und der Brustdrüse
Selten: Priapismus, Galaktorrhö.
Allgemeine Erkrankungen
Sehr häufig: Kopfschmerzen, Entzugssymptome (12%) wie zum Beispiel Schlaflosigkeit, Nausea, Diarrhö, Erbrechen, Schwindel und Reizbarkeit. Die Entzugssymptome verschwanden in den entsprechenden Studien gewöhnlich eine Woche nach Therapieende.
Häufig: Asthenie, periphere Oedeme, Reizbarkeit, Fieber.
Selten: malignes neuroleptisches Syndrom (siehe auch «Warnhinweise und Vorsichtsmassnahmen»), Hypothermie.
Sehr selten: Serotonin-Syndrom.
Untersuchungen
Sehr häufig: Abnahme des Hämoglobinwertes (Mindestens einmal Abnahme des Hämoglobinwerts auf ≤13 g/dl bei Männern resp. auf ≤12 g/dl bei Frauen in 11% unter Quetiapin in klinischen Studien inklusive «Open label Extension». In placebokontrollierten Kurzzeitstudien mindestens einmal eine Abnahme des Hämoglobinwerts auf ≤13 g/dl bei Männern resp. auf 12 g/dl bei Frauen in 8.3% unter Quetiapin und in 6.2% unter Placebo.)
Häufig: Anstieg der eosinophilen Granulozytenzahl (Anstieg des normalen Ausgangswertes auf einen potenziell klinisch relevanten Wert [definiert als > 1 x 109 eosinophile Granulozyten pro Liter] zu irgendeinem Zeitpunkt in allen klinischen Studien), Blutzucker erhöht bis zum Hyperglykämie-Level (mindestens einmal ein Blutzuckerwert ≥126 mg/dl nüchtern oder ein Blutzuckerwert ≥200 mg/dl nicht nüchtern) (siehe «Warnhinweise und Vorsichtsmassnahmen»), Anstieg des Serumprolaktins (Prolaktinspiegel bei Patienten ≥18 Jahre: > 20 μg/l bei Männern resp. > 30 μg/l bei Frauen zu irgend einem Zeitpunkt), Veränderung der Schilddrüsenhormonspiegel (Abnahme von Gesamt-T4, freiem T4 und Gesamt-T3; Anstieg von TSH; basierend auf Veränderungen vom normalem Anfangswert zu einem potenziell klinisch wichtigen Wert zu irgend einem Zeitpunkt in allen Studien. Veränderungen des Gesamt-T4, des freien T4, des Gesamt-T3 und des freien T3 waren definiert als < 0.8 x LLN (pmol/l) und TSH-Veränderungen als > 5 mlU/l zu irgendeinem Zeitpunkt).
Gelegentlich: Abnahme von freiem T3.
Bei einigen Patienten wurden asymptomatische Anstiege (Anstieg auf mehr als das 3fache des oberen Normalwertes zu irgendeinem Zeitpunkt) der Serum-Transaminasen (ALT, AST) oder γ-GT-Spiegel beobachtet, welche normalerweise beim Weiterführen der Behandlung reversibel waren.
Selten: Anstiege der Kreatininphosphokinasen im Blut. Die Meldungen der Anstiege der Kreatininphosphokinasen im Blut aus klinischen Studien waren nicht mit einem malignen neuroleptischen Syndrom verbunden.
Schilddrüsenhormonspiegel
Die Behandlung mit Quetiapin war von kleinen dosisabhängigen Abnahmen der Schilddrüsenhormonspiegel begleitet. In placebokontrollierten Kurzzeitstudien war die Inzidenz für potenziell klinisch signifikante Veränderungen der Schilddrüsenhormonspiegel wie folgt: Gesamt-T4: 3.4% für Quetiapin versus 0.6% für Placebo; freies T4: 0.7% für Quetiapin versus 0.1% für Placebo; Gesamt-T3: 0.54% für Quetiapin versus 0.0% für Placebo; freies T3: 0.2% für Quetiapin versus 0.0% für Placebo. Die Inzidenz für TSH-Veränderungen lag bei 3.2% für Quetiapin versus 2.7% für Placebo. In placebokontrollierten Kurzzeitmonotherapiestudien war die Inzidenz für reziproke, potenziell klinisch signifikante T3- und TSH-Veränderungen 0.0% sowohl für Quetiapin als auch für Placebo und 0.1% für Quetiapin versus 0.0% für Placebo für T4- und TSH-Veränderungen. Diese Schilddrüsenhormonspiegelveränderungen sind generell nicht mit klinisch symptomatischem Hypothyreodismus verbunden. Die Reduktion des Gesamt-T4 und des freien T4 war während der ersten sechs Wochen der Quetiapin-Behandlung am grössten. Bei Weiterbehandlung (Langzeitbehandlung) war keine weitere Abnahme zu verzeichnen. In fast allen Fällen war die Auswirkung auf das Gesamt-T4 und das freie T4 nach Therapieabbruch reversibel unabhängig davon, wie lange die Behandlung mit Quetiapin gedauert hatte. Bei 8 Patienten, bei denen das TBG (Thyroxine Binding Globulin) bestimmt wurde, waren die TBG-Level unverändert.
(1) Kausalzusammenhang unklar
(2) Aus Postmarketingberichten
(3) Nur bei Überdosierung
Die Meldung des Verdachts auf Nebenwirkungen nach der Zulassung ist von grosser Wichtigkeit. Sie ermöglicht eine kontinuierliche Überwachung des Nutzen-Risiko-Verhältnisses des Arzneimittels. Angehörige von Gesundheitsberufen sind aufgefordert, jeden Verdacht einer neuen oder schwerwiegenden Nebenwirkung über das Online-Portal ElViS (Electronic Vigilance System) anzuzeigen. Informationen dazu finden Sie unter www.swissmedic.ch.
ÜberdosierungIn einer klinischen Studie wurde über einen Todesfall nach einer Überdosis von 13.6 g Quetiapin (Monotherapie) berichtet. Aus Postmarketing-Erfahrungen sind auch Todesfälle bereits unter Dosen von 6 g Quetiapin (Monotherapie) bekannt. Demgegenüber überlebten Patienten in klinischen Studien akute Überdosierungen von bis zu 30 g Quetiapin. Die meisten Patienten, die eine Überdosis eingenommen hatten, berichteten über keine unerwünschten Wirkungen oder erholten sich ohne Spätfolgen.
Anzeichen und Symptome
Im Allgemeinen waren die beobachteten Symptome mit einer Verstärkung der bekannten pharmakologischen Wirkungen gleichzusetzen, d.h. Schläfrigkeit und Sedierung, Tachykardie, Hypotonie und anticholinerge Effekte.
Aus Postmarketing-Erfahrung liegen seltene Berichte einer Überdosierung von Quetiapin als Monotherapie vor, die zu Tod oder Koma, oder zu QTc-Verlängerungen führten.
Für Patienten mit bereits bestehender schwerer kardiovaskulärer Krankheit können die Wirkungen einer Überdosis ein erhöhtes Risiko bedeuten.
Behandlung
Es ist kein spezifisches Antidot für Quetiapin bekannt. In schweren Fällen sollte die Möglichkeit in Betracht gezogen werden, dass mehrere Medikamente beteiligt sind. Eine Magenspülung (nach Intubation, wenn der Patient bewusstlos ist) und die Gabe von Kohletabletten zusammen mit einem Laxativum sollte in Betracht gezogen werden. Es wird eine intensivmedizinische Behandlung empfohlen, einschliesslich Sicherung der Atmung und Überwachung des kardiovaskulären Systems. Im Zusammenhang mit anticholinergen Symptomen beschreiben publizierte Berichte die Aufhebung von schwerwiegenden ZNS-Wirkungen, inklusive Koma und Delirium, durch IV-Verabreichung von Physostigmin (1-2 mg), unter kontinuierlicher ECG-Überwachung.
Im Falle einer Quetiapin-Überdosierung sollten eine refraktorische Hypotension und ein Kreislaufkollaps mit geeigneten Massnahmen behandelt werden, wie z.B. mit Flüssigkeit i.v. und/oder mit sympathomimetischen Wirkstoffen. Epinephrin und Dopamin sollten nicht verwendet werden, da eine β-Stimulation eine Hypotension bei Quetiapin-induzierter α-Blockade verschlimmern kann.
Bis zur Erholung des Patienten ist dieser streng zu überwachen.
Eine Überdosierung mit Quetiapin XR Spirig HC kann im Magen zur Bildung eines Bezoars führen und zur weiteren Planung der Patientenbehandlung wird eine geeignete bildgebende diagnostische Untersuchung empfohlen. Eine routinemässige Magenspülung ist bei der Entfernung des Bezoars aufgrund der gummiartigen klebrigen Beschaffenheit der Masse möglicherweise nicht wirksam. In zahlreichen Fällen wurde eine endoskopische Entfernung des Medikamentenbezoars erfolgreich durchgeführt.
Eigenschaften/WirkungenATC-Code
N05AH04
Wirkungsmechanismus
Quetiapin ist ein atypisches Antipsychotikum. Quetiapin und der im Humanplasma aktive Metabolit Norquetiapin (= N-Desalkyl-Quetiapin) interagieren mit einem breiten Spektrum von Neurotransmitter-Rezeptoren. Quetiapin und Norquetiapin zeigen Affinität für zerebrale Serotonin (5HT2)- und Dopamin D1- und D2-Rezeptoren. Es wird angenommen, dass die Kombination des Rezeptorantagonismus (höhere Selektivität für 5HT2- relativ zu D2-Rezeptoren) für die klinischen antipsychotischen Eigenschaften und die im Vergleich zu typischen Antipsychotika geringen extrapyramidalen Symptome (EPS) von Quetiapin verantwortlich ist. Quetiapin hat keine Affinität für den Noradrenalin Transporter (NET) und eine geringe Affinität für den Serotonin 5HT1A-Rezeptor, während dem Norquetiapin für beide eine hohe Affinität hat. Es wird angenommen, dass die NET-Inhibition und die partielle agonistische Aktivität an der 5HT1A-Stelle durch Norquetiapin zur therapeutischen Wirksamkeit von Quetiapin XR Spirig HC als Antidepressivum beitragen.
Quetiapin und Norquetiapin haben eine hohe Affinität zu histaminergen und adrenergen α1-Rezeptoren und eine mässige Affinität für adrenerge α2-Rezeptoren. Ferner hat Quetiapin eine geringe oder keine Affinität für Muskarinrezeptoren, während Norquetiapin eine mässige bis hohe Affinität für verschiedene Muskarinrezeptorensubtypen hat. Dies dürfte die anticholinergen (muskarinischen) Wirkungen erklären.
Pharmakodynamik
In Tests zur Untersuchung der antipsychotischen Aktivität, wie z.B. im konditionierten Vermeidungstest, ist Quetiapin wirksam. Es blockiert auch die Wirkung von Dopaminagonisten, durch Verhaltensbeobachtung oder elektrophysiologisch gemessen, und erhöht die Konzentration von Dopaminmetaboliten, ein neurochemischer Index für eine D2-Rezeptorblockade.
In präklinischen Prüfungen, die Schlüsse auf EPS ziehen lassen, unterscheidet sich Quetiapin von Standard-Antipsychotika und weist ein atypisches Profil auf. Quetiapin führt nach chronischer Gabe nicht zu einer Dopamin D2-Rezeptorüberempfindlichkeit. Bei Dosen, die eine effektive Dopamin D2-Rezeptorblockade bewirken, ruft Quetiapin nur eine schwach ausgeprägte Katalepsie hervor. Nach chronischer Anwendung zeigt Quetiapin Selektivität für das limbische System, indem es eine Depolarisationsblockade der mesolimbischen, nicht aber der nigrostriatalen dopaminhaltigen Neuronen hervorruft. Bei Cebusaffen, mit oder ohne Haloperidol-Sensibilisierung, wirkt Quetiapin nach akuter und chronischer Gabe nur minimal dystonieauslösend (siehe «Unerwünschte Wirkungen»).
Katarakt/Linsentrübung
Das Potenzial von Quetiapin versus Risperidon einen Katarakt zu verursachen wurde in einer klinischen Studie zur Langzeitbehandlung bei Patienten mit Schizophrenie oder schizoaffektiver Erkrankung evaluiert. Quetiapin war in Dosen von 200-800 mg/Tag nicht schlechter bezüglich der 2 Jahres Ereignisrate des Anstieges des Linsentrübungsgrades (nukleare, kortikale und posterior-subkapsulare Trübung) im LOCS II-System (Linsentrübungs-Klassifikationssystem II) verglichen zu Risperidon in Dosen von 2-8 mg/Tag bei Patienten unter mindestens 21-monatiger Therapie (siehe diesbezüglich auch «Präklinische Daten»). Überwachungen in anderen klinischen Studien liessen keine Arzneimittel-bedingte Korneatrübungen beim Menschen erkennen.
Klinische Wirksamkeit
Schizophrenie
Die Wirksamkeit von Quetiapin Retardtabletten in der Schizophrenie-Therapie wurde in einer 6-wöchigen placebokontrollierten Studie bei Patienten, die die Kriterien für DSM-IV für Schizophrenie erfüllten, gezeigt. Der primäre Endpunkt war der Unterschied zwischen Baseline und letzter Kontrolle des PANSS-total Wertes. Quetiapin Retardtabletten 400 mg/d, 600 mg/d und 800 mg/d bewirkten im Vergleich zu Placebo eine statistisch signifikante Verbesserung der psychischen Symptome. Diese Verbesserung war unter 600 mg und 800 mg Quetiapin Retardtabletten grösser als unter 400 mg.
In einer weiteren 6-wöchigen aktiv-kontrollierten Studie wurden klinisch stabile ambulante Schizophrenie-Patienten von Quetiapin auf Quetiapin Retardtabletten umgestellt. Der primäre Endpunkt war der Anteil Patienten, bei denen die Wirksamkeit fehlte, d.h. die die Studie wegen fehlender Wirksamkeit beendeten oder deren PANSS-Totalwert um 20 oder mehr Prozente vom Zeitpunkt der Randomisation bis zu irgendeiner Kontrolle anstieg. Bei Patienten, die eine konstante Dosis Quetiapin zwischen 400 mg und 800 mg einnahmen, wurde die Wirksamkeit erhalten, wenn die Patienten auf eine äquivalente Dosis Quetiapin Retardtabletten (einmal tägliche Einnahme) umgestellt wurden.
In einer Langzeitstudie mit stabilen Schizophrenie-Patienten, die während 16 Wochen eine Quetiapin Retardtablette Therapie erhielten, waren Quetiapin Retardtabletten im Verhindern von Rückfällen wirksamer als Placebo. Das geschätzte Risiko für einen Rückfall nach 6 Monaten Behandlung lag bei 14.3% für Quetiapin Retardtabletten und bei 68.2% für Placebo. Die Durchschnittsdosis war 669 mg. Es gab keine zusätzlichen sicherheitsrelevanten Meldungen in Verbindung mit der Therapie mit Quetiapin Retardtabletten für bis zu 9 Monate (Mittelwert 7 Monate). Insbesondere nahmen die Meldungen von unerwünschten Wirkungen, die sich auf EPS und Gewichtszunahme beziehen, unter der Langzeitbehandlung mit Quetiapin Retardtabletten nicht zu.
Bipolare Manie
In einer placebokontrollierten klinischen Studie über 3 Wochen konnte gezeigt werden, dass Quetiapin Retardtabletten bei Dosierungen zwischen 400 und 800 mg täglich als Monotherapie signifikant die manischen Symptome bei bipolarer Manie reduziert. Der Beleg der Wirksamkeit von Quetiapin Retardtabletten bei bipolaren Störungen beruht teilweise auf der Extrapolation von Daten aus den Studien mit Quetiapin Filmtabletten.
Bipolare Depression
In einer placebokontrollierten klinischen Studie über 8 Wochen bei Patienten mit depressiven Episoden im Rahmen einer bipolaren Störung des Typs I oder II, konnte gezeigt werden, dass Quetiapin Retardtabletten bei einer Dosierung von 300 mg täglich wirksam waren. Quetiapin Retardtabletten waren bezüglich der Senkung des «MADRS Gesamtscores» besser als Placebo. Der Beleg der Wirksamkeit beruht teilweise auf der Extrapolation von Daten der Quetiapin Filmtabletten.
In einer Langzeitstudie (bis zu 2 Jahren Behandlungsdauer) zur Bewertung der Rückfallprophylaxe bei Patienten mit manischen, depressiven oder gemischten Episoden war die Behandlung mit Quetiapin der Placebo-Behandlung überlegen, da sich unter Quetiapin die Zeit bis zum Wiederauftreten einer akuten Episode (manisch, gemischt oder depressiv) bei Patienten mit bipolaren Störungen des Typ I verlängerte. Die Zahl der Patienten mit erneuten Episoden betrug 91 (22.5%) in der Gruppe mit Quetiapin-Behandlung, 208 Patienten (51.5%) in der Placebo-Gruppe und 95 Patienten (26.1%) in der Gruppe mit Lithium-Behandlung. Bei Patienten, die auf Quetiapin ansprachen, zeigten die Ergebnisse, dass ein Wechsel der Behandlung auf Lithium im Vergleich zu fortgesetzter Quetiapin-Behandlung nicht mit einer Verlängerung der Zeit bis zum Wiederauftreten eines Stimmungsereignis verbunden zu sein scheint.
In zwei Rückfallprophylaxe-Studien zur Bewertung der Kombination von Quetiapin mit Stimmungsaufhellern bei Patienten mit manischen, depressiven oder Stimmungs-gemischten Episoden war die Kombination mit Quetiapin der alleinigen Gabe von Stimmungsaufhellern überlegen, in dem es die Zeit bis zum Wiederauftreten einer akuten Episode (manisch, gemischt oder depressiv) verlängerte. Quetiapin wurde zweimal täglich in einer Tagesdosis von 400 mg bis 800 mg in Kombination mit Lithium oder Valproat verabreicht.
Depressive Episoden (Episoden einer Major Depression)
Es wurden zwei Kurzzeitstudien (6 Wochen) mit Patienten durchgeführt, die auf mindestens ein Antidepressivum unzureichend angesprochen hatten. Quetiapin Retardtabletten zeigten, wenn es in Tagesdosen von 150 mg und 300 mg als Zusatztherapie zu einer laufenden Therapie mit Antidepressiva (Amitriptylin, Bupropion, Citalopram, Duloxetin, Escitalopram, Fluoxetin, Paroxetin, Sertralin oder Venlafaxin) gegeben wurde, im Vergleich zur Antidepressiva-Monotherapie eine Überlegenheit in der Verringerung depressiver Symptome, die als Verbesserung der MADRS Gesamtpunktzahl gemessen wurde (mittlerer Unterschied gegenüber Placebo von 2-3.3 Punkten).
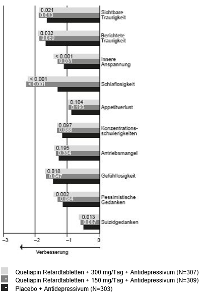
In einer Analyse der MADRS Einzelitems wurde dabei die grösste Veränderung gegenüber Baseline und die grösste Differenz zwischen der Kombination Quetiapin Retardtabletten + Antidepressivum versus Placebo + Antidepressivum für das Einzelitem «Schlaflosigkeit» registirert (siehe folgende Grafik).
Quetiapin XR als Zusatztherapie
MADRS Item Analyse – Veränderung der Kleinstquadrat-Mittelwerte (LSM change) der MADRS Einzelitems nach 6 Wochen gegenüber Baseline, gepoolte Daten der beiden Studien 06 und 07 (die p-Werte wurden in die Balken geschrieben)

Bitte beachten, dass in diesen Studien keine Multiplizitätsanpassung zur Berücksichtigung der MADRS Einzelitems gemacht wurde. Daher sollten die nominalen p-Werte der MADRS Einzelitems entsprechend interpretiert werden. Die Einzelwerte werden nur aufgeführt, um den primären Endpunkt der MADRS Gesamtpunktzahl nach 6 Wochen gegenüber Baseline zu unterstützen.
Die Langzeitwirksamkeit und -unbedenklichkeit wurden bei Patienten mit depressiven Episoden (Episoden einer Major Depression) nicht in der Zusatztherapie ausgewertet.
PharmakokinetikAbsorption
Quetiapin wird nach oraler Gabe gut absorbiert. In einer Studie zur Bioverfügbarkeit von Quetiapin wurde der Einfluss von Mahlzeiten untersucht. Eine fettreiche Mahlzeit bewirkte eine statistisch signifikante Erhöhung von Cmax und AUC von Quetiapin Retardtabletten. Cmax war um ca. 50% und die AUC um ca. 20% erhöht. Eine leichte Mahlzeit hatte im Vergleich dazu keinen signifikanten Einfluss auf Cmax und AUC von Quetiapin. Es wird empfohlen, dass Quetiapin XR Spirig HC einmal täglich ohne Essen mindestens eine Stunde vor einer Mahlzeit eingenommen wird.
Die Pharmakokinetik von Quetiapin und des aktiven Metaboliten Norquetiapin (N-Desalkyl-Quetiapin) ist linear und proportional zur Dosis für Dosen bis zu 800 mg, 1× täglich eingenommen.
Quetiapin und Norquetiapin erreichen die maximalen Plasmakonzentrationen ca. 6 h (tmax) nach der Verabreichung von Quetiapin Retardtabletten.
Wenn Quetiapin Retardtabletten (1x täglich gegeben) mit der gleichen Tagesdosis der nicht retardierten Form von Quetiapin (Quetiapin Filmtabletten; 2x täglich gegeben) verglichen werden, dann ist die Fläche unter der Plasmakonzentrations-Zeit-Kurve (AUC) gleich gross; aber die maximale Plasmakonzentration (Cmax) im steady state ist um 13% tiefer. Wenn Quetiapin Retardtabletten mit der normal freisetzenden Form Quetiapin verglichen werden, liegt die AUC des Hauptmetaboliten Norquetiapin 18% tiefer.
Distribution
Quetiapin wird zu ca. 83% an Plasmaproteine gebunden. Das Verteilungsvolumen beträgt ca. 10 ± 4 l/kg Körpergewicht. Die Höchstwerte der molaren Konzentration von Norquetiapin im steady state betragen 35% des von Quetiapin beobachteten Wertes.
Metabolismus
Quetiapin wird extensiv in der Leber metabolisiert. In-vitro-Untersuchungen haben gezeigt, dass hauptsächlich das Enzym CYP3A4 für den Cytochrom-P450-abhängigen Metabolismus von Quetiapin verantwortlich ist. Norquetiapin wird hauptsächlich via CYP3A4 gebildet und eliminiert. Quetiapin und mehrere seiner Metaboliten (einschliesslich Norquetiapin) zeigten in-vitro eine schwache Hemmung der menschlichen Cytochrome P450 1A2, 2C9, 2C19, 2D6 und 3A4; dies aber nur bei Konzentrationen, die 5- bis 50-fach höher waren als die empfohlene Tagesdosis von 300 - 800 mg. Aufgrund dieser in-vitro-Daten ist es unwahrscheinlich, dass die gleichzeitige Verabreichung von Quetiapin mit anderen Medikamenten zu einer klinisch signifikanten Hemmung des Cytochrom-P450-abhängigen Metabolismus der anderen Substanzen führt.
Elimination
Die Eliminationshalbwertszeiten von Quetiapin und Norquetiapin betragen ungefähr 7 h resp. 12 h.
Ungefähr 73% des radioaktiv markierten Arzneimittels werden mit dem Urin ausgeschieden, 21% mit den Faeces. Von der durchschnittlichen molaren Dosisfraktion an freiem Quetiapin und an Norquetiapin wird < 5% im Urin ausgeschieden. Aus Studien mit radioaktiv markiertem Quetiapin geht hervor, dass weniger als 5% der Muttersubstanz unverändert in Urin und Faeces ausgeschieden werden.
Kinetik spezieller Patientengruppen
Ältere Patienten
Bei älteren Patienten ist die durchschnittliche Plasma-Clearance von Quetiapin ungefähr 30% bis 50% tiefer als diejenige bei Erwachsenen zwischen 18 und 65 Jahren.
Geschlecht
Die Quetiapinkinetik unterscheidet sich bei Männern und Frauen nicht.
Nierenfunktionsstörungen
Die durchschnittliche Plasma-Clearance von Quetiapin war bei Patienten mit schwerer Niereninsuffizienz (Creatinin-Clearance unter 30 ml/min/1,73 m2) um ca. 25% reduziert, die individuellen Clearancewerte lagen jedoch innerhalb der Norm (siehe «Dosierung/Anwendung»).
Leberfunktionsstörungen
Bei Patienten mit Leberinsuffizienz (stabile Alkoholzirrhose) ist die durchschnittliche Plasma-Clearance von Quetiapin um ca. 25% reduziert. Da Quetiapin extensiv in der Leber metabolisiert wird, können bei Patienten mit Leberinsuffizienz höhere Plasmaspiegel auftreten, was eine Dosisanpassung bei dieser Patientengruppe erfordert (siehe «Dosierung/Anwendung»).
Präklinische DatenIn einer Reihe von in-vitro und in-vivo Genotoxizitätsstudien ergaben sich keine Hinweise auf eine Genotoxizität. Im Tierversuch sind nach klinisch relevanter Exposition folgende Veränderungen festgestellt worden, die jedoch bisher nicht in klinischen Langzeituntersuchungen bestätigt worden sind: In der Schilddrüse von Ratten wurden Pigmentablagerungen nachgewiesen; bei Cynomolgus-Affen wurde eine Hypertrophie der follikulären Schilddrüsenzellen, erniedrigte T3-Plasmaspiegel und eine Verminderung der Hämoglobin-Konzentration sowie der Erythrozyten- und Leukozyten-Werte beobachtet; und bei Hunden fand man Linsentrübungen und Katarakte. Diese Befunde sind zu beachten, wenn bei einer Behandlung mit Quetiapin eine Nutzen-Risiko Abwägung für den Patienten gemacht wird.
Bei Hunden traten Linsentrübung und Katarakte auf. Die hinteren dreiwinkligen Katarakte, die bei Hunden nach 6 Monaten bei Dosen von 100 mg/kg/Tag beobachtet wurden, stimmten mit der Hemmung der Cholesterol-Biosynthese in den Linsen überein. Bei Cynomolgus-Affen, die Dosen bis zu 225 mg/kg/Tag erhielten, wurden keine Katarakte beobachtet, ebenso nicht bei Nagetieren (bezüglich Klinik, siehe «Eigenschaften/Wirkungen, Pharmakodynamik»).
Sonstige HinweiseHaltbarkeit
Das Arzneimittel darf nur bis zu dem auf der Packung mit «EXP» bezeichneten Datum verwendet werden.
Besondere Lagerungshinweise
Nicht über 30°C, in der Originalverpackung und für Kinder unerreichbar aufbewahren.
Zulassungsnummer65860 (Swissmedic)
PackungenQuetiapin XR Spirig HC 50 mg: Retardtabletten 60. [B]
Quetiapin XR Spirig HC 150 mg: Retardtabletten 60, 100. [B]
Quetiapin XR Spirig HC 200 mg: Retardtabletten 60, 100. [B]
Quetiapin XR Spirig HC 300 mg: Retardtabletten 60, 100. [B]
Quetiapin XR Spirig HC 400 mg: Retardtabletten 60, 100. [B]
ZulassungsinhaberinSpirig HealthCare AG, Egerkingen
Stand der InformationSeptember 2021
|