ch.oddb.org
 
Medikamente | Services | Zulassungsi.
Fachinformation zu Sitagliptin Metformin Spirig HC®:Spirig HealthCare AG
Vollst. FachinformationDDDÄnderungen anzeigenDrucken 
Zusammens.Galen.FormInd./Anw.mögl.Dos./Anw.Kontraind.Warn.hinw.Interakt.Schwangerschaft
Fahrtücht.Unerw.WirkungenÜberdos.Eigensch.Pharm.kinetikPräklin.Sonstige H.Swissmedic-Nr.
PackungenReg.InhaberStand d. Info. 

Zusammensetzung

Wirkstoffe
Sitagliptin als Sitagliptinhydrochlorid-Monohydrat, Metforminhydrochlorid.
Hilfsstoffe
Sitagliptin Metformin Spirig HC 50/500 mg:
Mikrokristalline Cellulose, Povidon K29-32, Natriumstearylfumarat, Natriumdodecylsulfat.
Sitagliptin Metformin Spirig HC 50/850 mg:
Mikrokristalline Cellulose, Povidon K29-32, Magnesiumstearat, Natriumdodecylsulfat.
Sitagliptin Metformin Spirig HC 50/1000 mg:
Mikrokristalline Cellulose, Povidon K29-32, Magnesiumstearat, Natriumdodecylsulfat.
Filmüberzug enthält:
Sitagliptin Metformin Spirig HC 50/ 500 mg: Poly(vinylalkohol), Titandioxid (E171), Macrogol, Talkum, gelbes Eisenoxid, rotes Eisenoxid (E 172).
Die Filmtablette enthält 1.03 mg (0.04 mmol) Natrium.
Sitagliptin Metformin Spirig HC 50/ 850 mg: Macrogol-Poly(vinylalkohol)-Propfcopolymer, Talkum, Titandioxid (E 171), Mono- und Diglyceride von Speisefettsäuren (E 471), Poly(vinylalkohol), Eisenoxid rot (E 172).
Die Filmtablette enthält 0.44 mg (0.02 mmol) Natrium.
Sitagliptin Metformin Spirig HC 50/ 1000 mg: Macrogol-Poly(vinylalkohol)-Propfcopolymer, Talkum, Titandioxid (E 171), Eisenoxid rot (E 172), Mono- und Diglyceride von Speisefettsäuren (E 471), Poly(vinylalkohol), Eisenoxid schwarz (E 172).
Die Filmtablette enthält 0.52 mg (0.02 mmol) Natrium.

Indikationen/Anwendungsmöglichkeiten

Sitagliptin Metformin Spirig HC ist als Ergänzung zu einer Diät und körperlicher Aktivität zur Einstellung des Blutzuckerspiegels bei Patienten mit Diabetes mellitus Typ 2 indiziert, wenn weder mit Metformin noch mit Sitagliptin als Monotherapie eine ausreichende Kontrolle der Glykämie erreicht wird, oder bei Patienten, die bereits eine Kombination von Sitagliptin und Metformin erhalten.
Sitagliptin Metformin Spirig HC ist auch als Ergänzung zu einer Diät und körperlicher Aktivität in Kombination mit einem Sulfonylharnstoff (als dreifache Kombinationstherapie) bei Patienten mit Diabetes mellitus Typ 2 indiziert, wenn durch eine Kombinationstherapie von zwei beliebigen der folgenden drei Wirkstoffe keine ausreichende Kontrolle der Glykämie erreicht wird: Metformin, Sitagliptin oder ein Sulfonylharnstoff.
Wenn der Blutzuckerspiegel durch Diät und vermehrte körperliche Aktivität und Insulin alleine nicht ausreichend gesenkt werden kann: In Kombination mit Insulin.

Dosierung/Anwendung

Allgemeines
Die Dosierung der antihyperglykämischen Therapie mit Sitagliptin Metformin Spirig HC sollte individuell auf der gegenwärtigen Therapie des Patienten, der Wirksamkeit und der Verträglichkeit basieren, wobei die empfohlene tägliche Maximaldosis von 100 mg Sitagliptin nicht überschritten werden sollte.
Sitagliptin Metformin Spirig HC sollte zweimal täglich zu einer Mahlzeit eingenommen werden, mit gradueller Dosissteigerung, um allfällige gastrointestinale Beschwerden wegen Metformin zu vermindern.
Dosierungsempfehlung
Die Initialdosis von Sitagliptin Metformin Spirig HC sollte auf der bereits bestehenden Therapie basieren. Sitagliptin Metformin Spirig HC wird zweimal täglich zu einer Mahlzeit eingenommen. Die folgenden Dosierungen sind erhältlich:
50 mg Sitagliptin/500 mg Metforminhydrochlorid
50 mg Sitagliptin/850 mg Metforminhydrochlorid
50 mg Sitagliptin/1000 mg Metforminhydrochlorid
Patienten, bei denen mit einer Metformin-Monotherapie eine ungenügende Blutzuckereinstellung erreicht wird
Für Patienten, bei denen mit einer Metformin-Monotherapie eine ungenügende Blutzuckereinstellung erreicht wird, sollte die übliche Initialdosis von Sitagliptin Metformin Spirig HC zweimal täglich 50 mg Sitagliptin betragen (insgesamt 100 mg täglich), plus die schon vorher verabreichte Dosis Metformin.
Patienten, bei denen mit einer Sitagliptin-Monotherapie eine ungenügende Blutzuckereinstellung erreicht wird
Für Patienten, bei denen mit einer Sitagliptin-Monotherapie eine ungenügende Blutzuckereinstellung erreicht wird, sollte die übliche Initialdosis von Sitagliptin Metformin Spirig HC zweimal täglich 50 mg Sitagliptin/500 mg Metforminhydrochlorid betragen. Die Patienten können bis zu einer Dosis von zweimal täglich 50 mg Sitagliptin/1000 mg Metforminhydrochlorid auftitriert werden. Patienten mit einer Sitagliptin-Monotherapie, deren Dosis wegen einer Nierenfunktionsstörung angepasst wurde, sollten nicht auf Sitagliptin Metformin Spirig HC umgestellt werden (siehe KONTRAINDIKATIONEN).
Patienten, die von einer Kombinationstherapie mit Sitagliptin und Metformin zu Sitagliptin Metformin Spirig HC wechseln
Patienten, die von einer Kombinationstherapie mit Sitagliptin und Metformin zu Sitagliptin Metformin Spirig HC wechseln, kann dieselbe Initialdosis Sitagliptin und Metformin in Form des Kombinationspräparates Sitagliptin Metformin Spirig HC verabreicht werden wie vorher.
Patienten, bei denen mit einer Kombinationstherapie von zwei beliebigen der folgenden drei Antidiabetika keine genügende Blutzuckereinstellung möglich ist: Sitagliptin, Metformin oder ein Sulfonylharnstoff
Die übliche Initialdosis Sitagliptin Metformin Spirig HC sollte zweimal täglich Sitagliptin 50 mg enthalten (insgesamt 100 mg täglich). Bei der Festlegung der Initialdosis der Metformin-Komponente muss der gegenwärtige Blutzuckerspiegel und die bisherige Dosierung von Metformin, falls dieses schon vorher eingenommen wurde, berücksichtigt werden. Eine graduelle Dosissteigerung sollte vorgenommen werden, um allfällige gastrointestinale Beschwerden wegen Metformin zu vermindern. Bei Patienten, die gegenwärtig einen Sulfonylharnstoff einnehmen oder mit einer Sulfonylharnstoff-Therapie beginnen, empfiehlt es sich, die Sulfonylharnstoffdosis tiefer anzusetzen, um das Risiko einer durch Sulfonylharnstoff induzierten Hypoglykämie zu reduzieren (siehe WARNHINWEISE UND VORSICHTSMASSNAHMEN).
Patienten, bei denen mit einer Kombinationstherapie von zwei beliebigen der folgenden drei Antidiabetika keine genügende Blutzuckereinstellung möglich ist: Sitagliptin, Metformin oder Insulin:
Die übliche Initialdosis Sitagliptin Metformin Spirig HC sollte zweimal täglich Sitagliptin 50 mg enthalten (insgesamt 100 mg täglich). Bei der Festlegung der Initialdosis der Metformin-Komponente muss der gegenwärtige Blutzuckerspiegel und die bisherige Dosierung von Metformin, falls dieses schon vorher eingenommen wurde, berücksichtigt werden. Eine graduelle Dosissteigerung sollte vorgenommen werden, um allfällige gastrointestinale Beschwerden wegen Metformin zu vermindern. Bei Patienten, die gegenwärtig mit Insulin behandelt werden oder mit einer Insulin-Therapie beginnen, empfiehlt es sich, die Insulindosis tiefer anzusetzen, um das Risiko einer Hypoglykämie zu reduzieren (siehe WARNHINWEISE UND VORSICHTSMASSNAHMEN).
Es wurden keine spezifischen Studien über die Sicherheit und Wirksamkeit von Sitagliptin und Metformin als Kombinationsprodukt bei Patienten durchgeführt, die vorher mit anderen oralen Antidiabetika behandelt wurden und dann auf Sitagliptin Metformin Spirig HC umstellten. Jede Änderung der Therapie bei Diabetes mellitus Typ 2 sollte mit Vorsicht und unter genauer Kontrolle durchgeführt werden, weil Veränderungen der Blutzuckereinstellung auftreten können.
Anwendung bei Patienten mit Nierenfunktionsstörung
Die Nierenfunktion ist vor Therapiebeginn mit Sitagliptin Metformin Spirig HC und danach in regelmässigen Abständen zu beurteilen.
Sitagliptin Metformin Spirig HC ist kontraindiziert bei Patienten mit einer geschätzten glomerulären Filtrationsrate (eGFR) <30 ml/min/1.73 m2.
Sitagliptin Metformin Spirig HC ist nicht empfohlen bei Patienten mit einer eGFR ≥30 ml/min/1.73 m2 und <45 ml/min/1.73 m2, weil diese Patienten eine tiefere Sitagliptin-Dosierung benötigen als beim Kombinationspräparat Sitagliptin Metformin Spirig HC erhältlich ist.
Anwendung bei Kindern und Jugendlichen
Sitagliptin Metformin Spirig HC soll wegen ungenügender Wirksamkeit bei Kindern und Jugendlichen im Alter von 10 bis 17 Jahren nicht angewendet werden. Die Kombination Sitagliptin und Metformin wurde bei pädiatrischen Patienten unter 10 Jahren nicht untersucht (siehe KLINISCHE WIRKSAMKEIT).
Anwendung bei älteren Patienten
Da Sitagliptin und Metformin hauptsächlich durch die Niere ausgeschieden werden, sollte Sitagliptin Metformin Spirig HC mit zunehmendem Alter des Patienten mit Vorsicht angewendet werden. Eine Kontrolle der Nierenfunktion ist besonders bei älteren Patienten zur Verhütung der metformin-assoziierten Laktatazidose notwendig (siehe WARNHINWEISE UND VORSICHTSMASSNAHMEN, Metforminhydrochlorid, Laktatazidose).

Kontraindikationen

Sitagliptin Metformin Spirig HC ist kontraindiziert bei Patienten mit:
1.Schwerer Nierenfunktionsstörung (eGFR <30 ml/min/1.73 m2) (siehe WARNHINWEISE UND VORSICHTSMASSNAHMEN, Metforminhydrochlorid, Nierenfunktionsstörung).
2.Akuten Erkrankungen, die zu einer Beeinträchtigung der Nierenfunktion führen können, z.B. kardiovaskuläre Erkrankungen (einschliesslich Myokardinfarkt), Sepsis, Dehydrierung (Diarrhö, wiederholtes Erbrechen), schwere Infektionen, z.B. der Harnwege, hohes Fieber.
3.Bekannter Überempfindlichkeit auf Sitagliptinphosphat, Metforminhydrochlorid oder irgendeinen anderen Inhaltsstoff von Sitagliptin Metformin Spirig HC (siehe WARNHINWEISE UND VORSICHTSMASSNAHMEN, Überempfindlichkeitsreaktionen und UNERWÜNSCHTE WIRKUNGEN, Postmarketing Erfahrungen).
4.Akuter oder chronischer metabolischer Azidose, einschliesslich diabetischer Ketoazidose mit oder ohne Koma.
5.Die intravaskuläre Applikation von iodhaltigen Kontrastmitteln für Röntgenuntersuchungen kann zu einem Nierenversagen und somit zu einer Metforminakkumulation und Laktatazidose führen. Die Behandlung mit Metformin muss 48 h vor einer solchen Untersuchung unterbrochen werden, falls die Kreatinin-Clearance <60 ml/min, resp. die eGFR <60 ml/min/1.73 m2 beträgt. Die Therapie mit Metformin darf nur fortgeführt werden, wenn eine Überprüfung der Nierenfunktion 48 h nach der Kontrastmitteluntersuchung keine weitere Verschlechterung ergeben hat (siehe WARNHINWEISE UND VORSICHTSMASSNAHMEN).

Warnhinweise und Vorsichtsmassnahmen

Sitagliptin Metformin Spirig HC
Sitagliptin Metformin Spirig HC sollte bei Patienten mit Diabetes Typ 1 oder für die Behandlung der diabetischen Ketoazidose nicht verwendet werden.
Pankreatitis: Es wurden bei Patienten unter Sitagliptin Fälle von akuter Pankreatitis beobachtet, inklusive tödlich und nicht tödlich verlaufene Fälle von hämorrhagischer oder nekrotisierender Pankreatitis (siehe UNERWÜNSCHTE WIRKUNGEN). Die Patienten sollten über die charakteristischen Symptome einer akuten Pankreatitis informiert werden: persistierende, schwere Abdominalschmerzen. Eine Besserung der Pankreatitis wurde nach Absetzen von Sitagliptin beobachtet. Bei Verdacht auf eine Pankreatitis sollte die Behandlung mit Sitagliptin Metformin Spirig HC und anderen potentiell verdächtigen Arzneimitteln gestoppt werden.
Kontrolle der Nierenfunktion: Sitagliptin und Metformin werden hauptsächlich durch die Niere ausgeschieden. Vor Beginn einer Therapie mit Sitagliptin Metformin Spirig HC soll die Nierenfunktion untersucht werden, da das Risiko einer Metforminakkumulation und Laktatazidose mit zunehmender Einschränkung der Nierenfunktion ansteigt. Sitagliptin Metformin Spirig HC ist kontraindiziert bei Patienten mit einer schweren Nierenfunktionsstörung (eGFR <30 ml/min/1.73 m2).
Die Nierenfunktion soll unter der Behandlung mit Sitagliptin Metformin Spirig HC in regelmässigen Abständen erneut bestimmt werden, mindestens:
·einmal jährlich bei Patienten mit normaler Nierenfunktion;
·alle 3 – 6 Monate bei Patienten mit einer eGFR von ≤59 ml/min/1.73 m2, sowie bei älteren Patienten.
Sitagliptin Metformin Spirig HC soll sofort abgesetzt werden, wenn die eGFR unter 30 ml/min/1.73 m2 sinkt.
In Verbindung mit Medikamenten, welche Hypoglykämie hervorrufen können: Es ist bekannt, dass Antidiabetika vom Typ der Sulfonylharnstoffe oder Insuline Hypoglykämien verursachen können. Deshalb kann bei Anwendung dieser Substanzen in Kombination mit Sitagliptin Metformin Spirig HC eine Reduktion der Insulin- bzw. Sulfonylharnstoff-Dosierung notwendig sein.
Sitagliptinphosphat
Myopathie/Rhabdomyolyse
Im Zusammenhang mit der Einnahme von Sitagliptin und Metformin als Kombinationsprodukt wurde über Myopathien berichtet, welche sich in Form von Muskelschmerz, -schwäche oder -empfindlichkeit zusammen mit stark erhöhter Kreatinkinase (CK, auf das Zehnfache der oberen Normgrenze) äussern. Myopathie kann manchmal in Form einer Rhabdomyolyse mit oder ohne akutem Nierenversagen aufgrund einer Myoglobinurie auftreten, und selten sind Todesfälle vorgekommen.
Die Ärzte sollten Sitagliptin Metformin Spirig HC mit Vorsicht bei Patienten mit prädisponierenden Faktoren für eine Rhabdomyolyse verschreiben. Ein Kreatinkinase-Wert sollte vor Beginn der Behandlung in den folgenden Situationen bestimmt werden:
·Einschränkung der Nierenfunktion
·Nicht-kontrollierte Hypothyreose
·Persönliche oder familiäre Vorgeschichte von erblichen Muskelerkrankungen
·Vorgeschichte von Muskeltoxizität mit einem Statin oder Fibrat
·Alkoholabhängigkeit
·Ältere Personen (≥65 Jahre): die Notwendigkeit einer solchen Messung sollte bei Vorhandensein von anderen prädisponierenden Faktoren für eine Rhabdomyolyse in Betracht gezogen werden
·Weibliches Geschlecht: die Notwendigkeit einer solchen Messung sollte bei Vorhandensein von anderen prädisponierenden Faktoren für eine Rhabdomyolyse in Betracht gezogen werden
In solchen Situationen sollte das Risiko einer Behandlung in Relation zum möglichen Nutzen betrachtet werden.
In Verbindung mit Arzneimitteln, welche Hypoglykämie hervorrufen können: In klinischen Studien mit Sitagliptin als Monotherapie und als Bestandteil einer Kombinationstherapie mit Wirkstoffen, die nicht mit Hypoglykämie assoziiert sind (z.B. Metformin oder PPARγ-Agonisten (Thiazolidindione)), war die Häufigkeit einer Hypoglykämie in Zusammenhang mit der Einnahme von Sitagliptin etwa gleich gross wie diejenige bei Patienten, die Placebo einnahmen.
Überempfindlichkeitsreaktionen
Es gibt Berichte nach Markteinführung über schwerwiegende Überempfindlichkeitsreaktionen bei Patienten, die mit Sitagliptin, einem der Wirkstoffe von Sitagliptin Metformin Spirig HC behandelt wurden. Diese Reaktionen beinhalten Anaphylaxie, Angioödem und exfoliative Hautveränderungen einschliesslich Stevens-Johnson Syndrom. Diese Reaktionen traten innerhalb der ersten 3 Monate nach Beginn der Behandlung mit Sitagliptin auf, einige sogar nach der ersten Dosis. Da diese Ereignisse aus einer Population unbekannter Grösse stammen, ist es nicht möglich, verlässliche Angaben bezüglich Häufigkeit zu machen. Falls eine Hypersensitivitätsreaktion vermutet wird, sollte die Therapie mit Sitagliptin Metformin Spirig HC abgesetzt werden (siehe KONTRAINDIKATIONEN und UNERWÜNSCHTE WIRKUNGEN, Postmarketing Erfahrungen).
Bullöses Pemphigoid
Nach Markteinführung wurden Fälle von bullösem Pemphigoid unter Anwendung von Dipeptidylpeptidase-4 (DPP-4) Inhibitoren gemeldet, die eine Hospitalisierung erforderten. In den gemeldeten Fällen erholten sich die Patienten typischerweise unter topischer oder systemischer immunosuppressiver Behandlung und nach Absetzen des DPP-4-Inhibitors. Patienten sind darauf hinzuweisen, bei Entwicklung von Blasen oder Erosionen der Haut unter der Behandlung mit Sitagliptin Metformin Spirig HC ihren Arzt zu kontaktieren. Sitagliptin Metformin Spirig HC sollte bei Verdacht auf ein bullöses Pemphigoid abgesetzt werden. Zur Sicherung der Diagnose und einer adäquaten Behandlung sollte eine Überweisung an einen Dermatologen in Betracht gezogen werden.
Metforminhydrochlorid
Laktatazidose: Laktatazidose ist eine seltene, aber schwerwiegende metabolische Komplikation, welche durch eine Akkumulation von Metformin bei der Behandlung mit Sitagliptin Metformin Spirig HC (Sitagliptinphosphat/Metforminhydrochlorid) verursacht werden kann. Die Laktatazidose verläuft in ungefähr 50% der Fälle tödlich. Laktatazidose kann auch unter verschiedenen pathophysiologischen Zuständen auftreten, einschliesslich Diabetes mellitus und immer dann, wenn eine signifikante Gewebe-Hypoperfusion und Gewebe-Hypoxie auftritt. Typisch für die Laktatazidose ist ein erhöhter Laktatspiegel im Blut (>5 mmol/l), ein erniedrigter pH des Blutes, Elektrolytstörungen mit vergrösserter Anionenlücke und ein erhöhtes Laktat/Pyruvat-Verhältnis. Wenn Metformin der Grund für die Laktatazidose ist, werden normalerweise Metformin-Plasmaspiegel von >5 µg/ml gefunden.
Die Häufigkeit der Laktatazidose ist bei Patienten, die Metforminhydrochlorid erhalten, sehr gering (ungefähr 0.03 Fälle/1'000 Patientenjahre, mit ungefähr 0.015 Todesfällen/1'000 Patientenjahre). In klinischen Studien mit mehr als 20'000 Patientenjahren mit Metforminexposition gab es keine Berichte über Laktatazidose. Gemeldete Fälle traten hauptsächlich bei Diabetikern mit schwerer Einschänkung der Nierenfunktion oder chronischem Nierenversagen auf. Für Patienten mit Herzinsuffizienz, die eine medikamentöse Behandlung benötigen, im Speziellen für Patienten mit instabiler oder akuter Herzinsuffizienz mit Hypoperfusion und Hypoxie, besteht ein erhöhtes Risiko einer Laktatazidose. Das Risiko einer Laktatazidose steigt mit dem Grad der Niereninsuffizienz und dem Alter des Patienten. Dieses Risiko kann deshalb signifikant gesenkt werden, indem die Nierenfunktion bei Patienten mit Metformintherapie regelmässig kontrolliert wird und die minimale wirksame Metformindosis verwendet wird. Besonders während der Behandlung von älteren Patienten sollte die Nierenfunktion sorgfältig überwacht werden (siehe Verwendung bei älteren Personen, Metforminhydrochlorid). Weiter sollte Metformin bei jeglichen Zuständen, die mit Hypoxie, Dehydrierung und Sepsis assoziiert sind, nicht eingesetzt werden. Da eine gestörte Leberfunktion den Abbau von Laktat signifikant verlangsamen kann, sollte eine Metformintherapie generell bei allen Patienten vermieden werden, bei denen klinisch oder labortechnisch ein Verdacht auf eine Lebererkrankung besteht.
Die Patienten sollten bei der Einnahme von Metformin vor übermässigem akuten oder chronischen Alkoholgenuss gewarnt werden, denn Alkohol verstärkt die Wirkungen von Metforminhydrochlorid auf den Laktatmetabolismus. Zudem sollte Metformin vor intravasaler Gabe von Kontrastmitteln und vor chirurgischen Eingriffen temporär abgesetzt werden.
Der Beginn einer Laktatazidose ist oft subtil und primär von unspezifischen Symptomen, wie beispielsweise Unwohlsein, Myalgien, Atemnot, zunehmender Schläfrigkeit und nichtspezifischen Unterleibsschmerzen begleitet. Bei einer ausgeprägteren Azidose kann es zu Hypothermie, Hypotonie und resistenter Bradyarrhythmie kommen. Der Patient und der behandelnde Arzt müssen sich der möglichen Bedeutung solcher Symptome bewusst sein und der Patient muss instruiert werden, sofort den Arzt zu benachrichtigen, wenn diese Symptome auftreten. Metformin muss in einem solchen Fall abgesetzt und der Patient hospitalisiert werden. Serumelektrolyte und -ketone, Blutzuckerspiegel und der Blut pH-Wert sowie der Laktat- und der Metforminspiegel können bei der Abklärung nützlich sein.
Bei Patienten, die Metformin einnehmen, weisen über den Normalwerten liegende Nüchternwerte von Plasmalaktat, die aber tiefer als 5 mmol/l sind, nicht unbedingt auf eine bevorstehende Laktatazidose hin und können mit anderen Mechanismen erklärt werden, wie beispielsweise mit einem schlecht kontrollierten Diabetes oder Übergewicht, mit intensiver körperlicher Betätigung oder technischen Problemen bei der Handhabung der Proben.
Laktatazidose sollte bei jedem Diabetespatienten mit metabolischer Azidose in Betracht gezogen werden, wenn Hinweise auf eine Ketoazidose fehlen (Ketonurie und Ketonämie).
Laktatazidose ist ein medizinischer Notfall, der in einem Spital behandelt werden muss. Bei einem Patienten mit Laktatazidose, der Metformin einnimmt, sollte das Medikament sofort abgesetzt und die üblichen unterstützenden Massnahmen ergriffen werden. Weil Metforminhydrochlorid und Laktat dialysierbar sind (mit einer Clearance von bis zu 170 ml/min unter guten hämodynamischen Bedingungen), wird eine sofortige Hämodialyse empfohlen. Eine solche Behandlung bewirkt oft eine rasche Behebung der Symptome und eine deutliche Erholung (siehe KONTRAINDIKATIONEN).
Wenn der Patient einmal auf Metformin stabilisiert ist, kommen gastrointestinale Symptome wegen Metformin, die zu Beginn einer Therapie oft auftreten, kaum mehr vor. Wenn später noch gastrointestinale Symptome auftreten, könnte die Ursache eine Laktatazidose oder eine andere ernsthafte Krankheit sein.
Hypoglykämie: Bei Patienten, die Metformin als Monotherapie erhalten, tritt bei normaler Anwendung keine Hypoglykämie auf. In Ausnahmefällen kann im Zusammenhang mit Metformin Hypoglykämie auftreten, z.B. bei unzureichender Kalorienzufuhr oder stark erhöhtem Energieverbrauch (grosser körperlicher Anstrengung) sowie bei gleichzeitiger Einnahme von Alkohol oder anderen glukosesenkenden Substanzen (wie beispielsweise Sulfonylharnstoffen und Insulin).
Ältere, schwache oder schlecht ernährte Patienten und solche mit Nebennieren- oder Hypophyseninsuffizienz oder Alkoholintoxikation, sind besonders anfällig auf hypoglykämische Wirkungen. Hypoglykämie ist bei älteren Personen und bei Menschen, die β-adrenerge Rezeptorenblocker zu sich nehmen, manchmal schwierig zu erkennen.
Gleichzeitige Einnahme von anderen Arzneimitteln, welche die Nierenfunktion oder die Verfügbarkeit von Metformin beeinflussen können: Begleitmedikationen, welche die Nierenfunktion beeinflussen können, eine signifikante Veränderung der Hämodynamik bewirken oder die Verfügbarkeit von Metformin beeinflussen, wie beispielsweise kationische Arzneimittel, die durch renale tubuläre Sekretion ausgeschieden werden (siehe INTERAKTIONEN, Metforminhydrochlorid), sollten mit Vorsicht verwendet werden.
Anwendung von iodhaltigen Kontrastmitteln: Die intravaskuläre Applikation von iodhaltigen Kontrastmitteln für Röntgenuntersuchungen kann zu Nierenversagen führen. Da dies zu Metforminakkumulation und Laktatazidose führen kann, soll die Behandlung mit Metformin bei Patienten mit einer eGFR <60 ml/min/1.73 m2 rechtzeitig vor einer solchen Untersuchung (ca. 2 Tage) unterbrochen werden und erst wiederaufgenommen werden, wenn sich die Nierenfunktion 2 Tage im Anschluss an die Kontrastmitteluntersuchung nicht verschlechtert.
Hypoxie: Herz-Kreislaufversagen verschiedenen Ursprungs, akute Herzinsuffizienz und akuter Herzinfarkt, sowie andere Zustände bei denen Hypoxie auftritt, wurden mit Laktatazidose in Zusammenhang gebracht. Diese Zustände können auch eine prärenale Azotämie verursachen. Wenn solche Vorfälle während der Therapie mit Sitagliptin Metformin Spirig HC auftreten, muss das Arzneimittel sofort abgesetzt werden.
Operationen: Sitagliptin Metformin Spirig HC sollte bei chirurgischen Eingriffen temporär abgesetzt werden (ausser bei kleineren Eingriffen, bei denen die Einnahme von Essen und Flüssigkeit unbeschränkt möglich ist) und Sitagliptin Metformin Spirig HC sollte erst wieder verabreicht werden, wenn eine normale Nahrungsaufnahme wieder möglich ist und die Nierenfunktion als ahinreichend eingestuft wurde (siehe DOSIERUNG/ANWENDUNG).
Alkoholkonsum: Es ist bekannt, dass Alkohol die Wirkung von Metformin auf den Laktatmetabolismus verstärkt. Patienten, die Sitagliptin Metformin Spirig HC einnehmen, müssen deshalb vor exzessivem Alkoholkonsum, akut oder chronisch, gewarnt werden.
Leberinsuffizienz: Da Leberinsuffizienz in einigen Fällen mit Laktatazidose in Verbindung gebracht wurde, sollte Sitagliptin Metformin Spirig HC bei Patienten mit klinischem oder labortechnischem Verdacht auf eine Lebererkrankung nicht verwendet werden.
Vitamin-B12-Blutspiegel: Unter Langzeitbehandlung mit Metformin kann der Vitamin-B12-Blutspiegel abnehmen (siehe UNERWÜNSCHTE WIRKUNGEN). Das Risiko eines Vitamin-B12-Mangels steigt mit zunehmender Metformin-Dosis und -Behandlungsdauer. Es wird empfohlen, die Vitamin-B12-Serumspiegel in regelmässigen Abständen (z.B. jährlich) zu kontrollieren, insbesondere bei Patienten mit Anämie oder peripherer Neuropathie.
Änderungen im klinischen Status bei Patienten, deren Diabetes Typ 2 vorher unter Kontrolle war: Ein Patient, dessen Diabetes Typ 2 mit Sitagliptin Metformin Spirig HC vorher gut kontrolliert war, der aber plötzlich anormale Laborwerte aufweist oder klinisch krank wird (oft vage und schlecht definierte Erkrankungen), sollte sofort auf eine mögliche Ketoazidose oder Laktatazidose untersucht werden.
Die Untersuchung sollte die Serumelektrolyte und -ketone, den Blutzuckerspiegel und, falls indiziert, den Blut-pH-Wert, den Laktat-, Pyruvat- und Metforminspiegel umfassen. Bei Verdacht auf metabolische Azidose soll – unabhängig von der Genese – Sitagliptin Metformin Spirig HC sofort abgesetzt und der Patient hospitalisiert werden.
Verlust der Kontrolle über den Blutzuckerspiegel: Bei mit einem beliebigen Antidiabetikum stabil eingestellten Patienten kann in Stresssituationen wie Fieber, Trauma, Infektion oder Operation, temporär eine Entgleisung des Blutzuckerspiegels auftreten.
In solchen Fällen kann es vielleicht nötig sein, Sitagliptin Metformin Spirig HC abzusetzen und temporär durch Insulin zu ersetzen. Sitagliptin Metformin Spirig HC kann dann wieder verabreicht werden, wenn die akute Episode vorbei ist.
Verwendung bei älteren Personen
Sitagliptin Metformin Spirig HC
Sitagliptin und Metformin werden hauptsächlich durch die Niere ausgeschieden. Sitagliptin Metformin Spirig HC sollte daher mit zunehmendem Alter des Patienten mit Vorsicht angewendet werden. Eine Kontrolle der Nierenfunktion ist besonders bei älteren Patienten zur Verhütung der metformin-assoziierten Laktatazidose notwendig (siehe WARNHINWEISE UND VORSICHTSMASSNAHMEN, Metforminhydrochlorid, Laktatazidose).
Sitagliptinphosphat
In klinischen Studien waren Sicherheit und Wirksamkeit von Sitagliptin bei älteren Patienten (≥65 Jahre) ähnlich wie bei jüngeren Personen (<65 Jahre).
Metforminhydrochlorid
An kontrollierten klinischen Studien mit Metformin nahmen nicht genügend ältere Patienten teil, um mit Sicherheit sagen zu können, ob sie anders reagieren als jüngere Patienten. Allerdings zeigen andere klinische Erfahrungen keine Unterschiede zwischen älteren und jüngeren Patienten.
Sitagliptin Metformin Spirig HC enthält weniger als 1 mmol Natrium (23 mg) pro 1 Filmtablette, d.h. es ist nahezu «natriumfrei».

Interaktionen

Sitagliptin und Metformin
Bei Patienten mit Diabetes Typ 2 beeinflusste die Kombination von multiplen Dosen Sitagliptin (50 mg b.i.d.) und Metformin (1000 mg b.i.d.) weder die Pharmakokinetik von Sitagliptin noch diejenige von Metformin wesentlich.
Pharmakokinetische Interaktionsstudien mit Sitagliptin und Metformin als Kombinationsprodukt wurden keine durchgeführt. Jedoch wurden solche Studien mit den einzelnen Komponenten , Sitagliptin und Metformin, durchgeführt.
Sitagliptinphosphat
In pharmakologischen Interaktionsstudien zeigte Sitagliptin keine klinisch signifikante Beeinflussung der Pharmakokinetik folgender Arzneimittel: Metformin, Rosiglitazon, Glibenclamid, Simvastatin, Warfarin und orale Kontrazeptiva. Basierend auf diesen Daten hemmt Sitagliptin die CYP-Isoenzyme CYP3A4, 2C8 und 2C9 nicht. Basierend auf in vitro Daten wird ebenfalls nicht erwartet, dass Sitaglitpin CYP2D6, 1A2, 2C19 oder 2B6 hemmt oder CYP3A4 induziert.
In populations-pharmakokinetischen Analysen mit Typ 2 Diabetikern wurde kein klinisch signifikanter Einfluss der Begleitmedikamentationen auf die Pharmakokinetik von Sitagliptin festgestellt. Untersucht wurden für Typ 2 Diabetiker übliche Arzneimittel.
Bei der gleichzeitigen Verabreichung von Sitaglitpin und Digoxin war ein leichter Anstieg der Fläche unter der Kurve (AUC, 11%) sowie der durchschnittlichen maximalen Plasmakonzentration (Cmax, 18%) von Digoxin zu beobachten. Diese Veränderungen sind klinisch nicht signifikant. Patienten, die Digoxin einnehmen, sollten entsprechend überwacht werden.
Bei gleichzeitiger Verabreichung einer einmaligen, oralen 100 mg Dosis Sitagliptin und einer einmaligen, oralen 600 mg Dosis Cyclosporin, einem potenten Inhibitor des p-Glykoproteins, waren die AUC und Cmax von Sitaglitptin ca. 29% bzw. 68% erhöht. Die beobachteten Veränderungen der Pharmakokinetik von Sitagliptin werden als klinisch nicht signifikant eingestuft.
Metforminhydrochlorid
Glibenclamid: In einer Interaktionsstudie mit einmaliger Verabreichung an Patienten mit Diabetes Typ 2, ergab die gleichzeitige Einnahme von Metformin und Glibenclamid weder eine Veränderung der Pharmakokinetik noch der Pharmakodynamik von Metformin.
Bei Glibenclamid wurden erniedrigte AUC- und Cmax-Werte beobachtet, aber diese waren stark variabel. Aufgrund der einmaligen Verabreichung der Arzneimittel in dieser Studie und aufgrund der fehlenden Korrelation zwischen Glibenclamid-Blutspiegel und pharmakodynamischer Wirkung ist keine klare Aussage über die klinische Signifikanz dieser Interaktion möglich.
Furosemid: In einer Interaktionsstudie mit einmaliger Verabreichung von Metformin und Furosemid an gesunde Probanden wurde gezeigt, dass die pharmakokinetischen Parameter beider Arzneimittel beeinflusst wurden. Furosemid erhöhte die Cmax von Metformin im Plasma und Blut um 22% und die Metformin-AUC im Blut um 15%, ohne signifikante Beeinflussung der renalen Clearance von Metformin. Bei der gleichzeitigen Verabreichung von Metformin waren Cmax und AUC von Furosemid im Vergleich zur Monotherapie 31% bzw. 12% erniedrigt und die terminale Halbwertzeit war 32% kürzer, ohne signifikante Beeinflussung der renalen Clearance von Furosemid. Über die Interaktion von Metformin und Furosemid bei längerer Anwendungsdauer sind keine Daten vorhanden.
Nifedipin: In einer Interaktionsstudie mit einmaliger Verabreichung von Metformin und Nifedipin an freiwillige Probanden wurde gezeigt, dass die gleichzeitige Verabreichung von Nifedipin die Cmax und AUC von Metformin im Plasma um 20% bzw. 9% erhöhte, und dieses vermehrt im Urin ausgeschieden wurde.
Tmax und die Halbwertzeit wurden nicht beeinflusst. Nifedipin scheint die Absorption von Metformin zu beschleunigen. Metformin beeinflusst Nifedipin kaum.
Die gleichzeitige Anwendung von Arzneimitteln, die mit den tubulären Transportsystemen in der Niere interferieren, welche an der renalen Eliminierung von Metformin beteiligt sind (z.B. organischer Kationentransporter-2 [OCT2] / Multidrug and toxin extrusion [MATE] Inhibitoren, wie Ranolazin, Vandetanib, Dolutegravir und Cimetidin), könnte die systemische Exposition von Metformin und damit das Risiko für eine Laktatazidose erhöhen. In Interaktionsstudien mit einmaliger sowie multipler Verabreichung von Metformin in Kombination mit Cimetidin an gesunden Probanden, erhöhten sich die maximalen Plasma- und Gesamtblutkonzentrationen von Metformin um 60% und die Plasma-AUC und Gesamtblut-AUC von Metformin um 40%. Der Nutzen und die Risiken der gemeinsamen Anwendung dieser Substanzen mit Metformin sind daher abzuwägen.
Andere: Gewisse Arzneimittel können eine Hyperglykämie auslösen und so die Blutzuckereinstellung stören. Solche Arzneimittel sind beispielsweise die Thiazide und andere Diuretika, Kortikosteroide, Phenothiazine, Schilddrüsenarzneimittel, Östrogene, orale Verhütungsmittel, Phenytoin, Nikotinsäure, Sympathomimetika, Calcium-Kanalblocker und Isoniazid. Wenn eines dieser Arzneimittel einem Patienten verabreicht wird, der Sitagliptin Metformin Spirig HC einnimmt, sollte der Patient engmaschig überwacht werden, um eine adäquate Blutzuckereinstellung zu garantieren.
In Interaktionsstudien mit einmaliger Verabreichung wurde bei gesunden Probanden die Pharmakokinetik von Metformin und Propranolol sowie von Metformin und Ibuprofen nicht beeinflusst, wenn diese jeweils kombiniert verabreicht wurden.
Metformin wird kaum an Plasmaproteine gebunden und interagiert daher kaum mit stark proteingebundenen Arzneimitteln, wie beispielsweise Salicylaten, Sulfonamiden, Chloramphenicol und Probenecid, ganz im Gegensatz zu den Sulfonylharnstoffen, die stark an Serumproteine binden.

Schwangerschaft, Stillzeit

Verwendung während der Schwangerschaft
Es wurden keine adäquaten und streng kontrollierten Studien mit Sitagliptin und Metformin als Kombinationsprodukt oder dessen einzelnen Inhaltsstoffen bei schwangeren Frauen durchgeführt.
Deshalb ist die Sicherheit von Sitagliptin Metformin Spirig HC für schwangere Frauen nicht bekannt. Die Einnahme von Sitagliptin Metformin Spirig HC wird, wie diejenige anderer oraler Antidiabetika, bei Schwangerschaft nicht empfohlen.
Verwendung während der Stillzeit
Es wurden keine Studien mit den kombinierten Wirkstoffen Sitagliptin und Metformin an laktierenden Tieren durchgeführt. In Studien mit den einzelnen Wirkstoffen wurden sowohl Sitagliptin als auch Metformin in der Milch von laktierenden Ratten ausgeschieden. Es ist nicht bekannt, ob Sitagliptin in der menschlichen Muttermilch ausgeschieden wird. Deshalb sollte Sitagliptin Metformin Spirig HC von stillenden Frauen nicht eingenommen werden.

Wirkung auf die Fahrtüchtigkeit und auf das Bedienen von Maschinen

Es wurden keine Studien über die Auswirkungen von Sitagliptin und Metformin als Kombinationsprodukt auf die Fahrtüchtigkeit und das Bedienen von Maschinen durchgeführt. Es wird jedoch erwartet, dass Sitagliptin Metformin Spirig HC die Fahrtüchtigkeit und das Bedienen von Maschinen nicht beeinflusst.

Unerwünschte Wirkungen

In placebokontrollierten klinischen Studien wurde die Kombinationstherapie mit Sitagliptin und Metformin von Patienten mit Diabetes Typ 2 im Allgemeinen gut vertragen. Die Gesamthäufigkeit von unerwünschten Wirkungen bei Patienten, die eine Kombinationstherapie mit Sitagliptin und Metformin erhielten, war ähnlich wie bei der Einnahme von Placebo und Metformin.
Die unerwünschten Wirkungen sind nach MedDRA-Systemorganklassen und Häufigkeit gemäss folgender Konvention geordnet: häufig ≥1/100, <1/10; gelegentlich ≥1/1000, <1/100; selten ≥1/10000, <1/1000; sehr selten <1/10000.
Kombinationstherapie mit Sitagliptin und Metformin
In einer 24-wöchigen, placebokontrollierten Studie bei Patienten, die mit Diät und Bewegung allein ungenügend eingestellt waren wurde die Behandlung mit Sitagliptin 50 mg zweimal täglich in Kombination mit Metformin 500 mg oder 1000 mg zweimal täglich untersucht. Die unerwünschten Wirkungen im Zusammenhang mit der Kombinationstherapie, die bei ≥1% der Patienten auftraten (und im Vergleich zur Placebokontrollgruppe häufiger vorkamen) waren wie folgt:
Stoffwechsel- und Ernährungsstörungen:
Häufig: Hypoglykämie.
Erkrankungen des Nervensystems
Häufig: Kopfschmerzen.
Erkrankungen des Gastrointestinaltrakts
Häufig: Diarrhö, Nausea, Dyspepsie, Flatulenz, Erbrechen.
In einer 24-wöchigen placebokontrollierte Studie mit Sitagliptin, welches zusätzlich zu einer bereits begonnenen Metformin-Monotherapie verabreicht wurde, behandelte man 464 Metformin-Patienten mit 100 mg Sitagliptin einmal täglich und 237 weitere Patienten erhielten Placebo zusammen mit Metformin.
Die unerwünschten Wirkungen im Zusammenhang mit der Kombinationstherapie, die bei ≥1% der Patienten auftraten (und im Vergleich zur Placebokontrollgruppe häufiger vorkamen) waren wie folgt:
Erkrankungen des Gastrointestinaltrakts
Häufig: Nausea.
Hypoglykämie und gastrointestinale Beschwerden
In den placebokontrollierten Studien mit Sitagliptin und Metformin als Kombinationstherapie war die Häufigkeit einer Hypoglykämie (unabhängig von der Kausalitätsbeurteilung durch den Studienarzt) im Zusammenhang mit der Einnahme von Sitagliptin in Kombination mit Metformin etwa gleich gross wie diejenige mit Metformin in Kombination mit Placebo.
Die Häufigkeit gastrointestinaler Beschwerden bei Patienten, die mit der Kombination von Sitagliptin und Metformin behandelt wurden, war vergleichbar mit derjenigen bei Patienten, die mit einer Metformin-Monotherapie behandelt wurden (siehe Tabelle 1).
Tabelle 1:
Hypoglykämie und gastrointestinale Beschwerden (unabhängig von der Kausalitätsbeurteilung durch den Studienarzt), die bei Patienten mit der Kombinationstherapie beobachtet wurden

Anzahl Patienten (%)

Studie mit Sitagliptin und Metformin bei unter Diät und Bewegung ungenügend eingestellten Patienten

Studie mit Sitagliptin als Add-on zu Metformin

Placebo

Sitagliptin
100 mg q.d.

Metformin
500 oder 1000 mg b.i.d. ††

Sitagliptin
50 mg b.i.d. +
Metformin
500 oder 1000 mg b.i.d. ††

Placebo und Metformin
≥1500 mg täglich

Sitagliptin 100 mg q.d. und Metformin
≥1500 mg täglich

N = 176

N = 179

N = 364

N = 372

N= 237

N= 464

Hypoglykämie

1 (0.6)

1 (0.6)

3 (0.8)

6 (1.6)

5 (2.1)

6 (1.3)

Diarrhö

7 (4.0)

5 (2.8)

28 (7.7)

28 (7.5)

6 (2.5)

11 (2.4)

Nausea

2 (1.1)

2 (1.1)

20 (5.5)

18 (4.8)

2 (0.8)

6 (1.3)

Erbrechen

1 (0.6)

0 (0.0)

2 (0.5)

8 (2.1)

2 (0.8)

5 (1.1)

Bauchschmerzen†

4 (2.3)

6 (3.4)

14 (3.8)

11 (3.0)

9 (3.8)

10 (2.2)

† In der Studie bei mit Diät und Bewegung ungenügend eingestellten Patienten wurden Abdominalbeschwerden auch zu den Bauchschmerzen gezählt.
†† Daten gepoolt für Patienten, denen tiefere bzw. höhere Dosen Metformin verabreicht wurden.
In allen Studien wurden alle als «Hypoglykämie» bezeichneten Nebenwirkungen berücksichtigt, d.h. auch solche, die nicht durch eine Blutzuckerbestimmung bestätigt wurden.
Sitagliptin in Kombination mit Metformin und einem Sulfonylharnstoff
In einer 24-wöchigen, placebokontrollierten Studie mit 100 mg Sitagliptin täglich, welches zusätzlich zu einer bereits begonnenen Glimepirid-Dosis von ≥4 mg täglich und Metformin ≥1500 mg täglich verabreicht wurde, waren die arzneimittelbedingten unerwünschten Wirkungen, die bei ≥1% der Sitagliptin-Patienten beobachtet wurden (N=116) und häufiger auftraten als bei der Placebokontrollgruppe (N=113) die folgenden:
Stoffwechsel- und Ernährungsstörungen
Häufig: Hypoglykämie.
Erkrankungen des Gastrointestinaltrakts
Häufig: Obstipation.
Während der Behandlung mit Sitagliptin in Kombination mit Metformin wurden keine klinisch signifikanten Änderungen bei den Vitalfunktionen oder beim EKG (einschliesslich QT-Intervall) beobachtet.
Sitagliptin in Kombination mit Metformin und Insulin
In einer 24-wöchigen, placebokontrollierten Studie mit Sitagliptin 100 mg zusätzlich zu einer bestehenden Kombinationsbehandlung mit Metformin ≥1500 mg täglich und einer stabilen Dosis Insulin, war Hypoglykämie die einzige unerwünschte Reaktion, welche bei ≥1% der Patienten unter Sitagliptin (N=229) festgestellt wurde und die häufiger war als bei Patienten unter Placebo (N=233) (Sitagliptin 15.3%; Placebo 8.2%). Bei diesen Häufigkeitsangaben wurden alle Nebenwirkungen berücksichtigt, unabhängig von der Kausalitätsbeurteilung durch den Studienarzt. Insbesondere bei den Hypoglykämieraten ist zu berücksichtigen, dass alle Patienten neben Sitagliptin oder Placebo auch mit Insulin behandelt wurden, teils zusätzlich mit Metformin. In einer anderen 24-wöchigen Studie mit Patienten, die während einer Intensivierung des Insulins (mit oder ohne Metformin) Sitagliptin als Add-on-Therapie erhielten, waren die unerwünschten Wirkungen, die bei ≥1% der mit Sitagliptin und Metformin behandelten Patienten (N=285) festgestellt wurden und häufiger waren als bei mit Placebo und Metformin behandelten Patienten (N=283): Obstipation (Sitagliptin und Metformin, 1.4%; Placebo und Metformin, 1.1%), Diarrhö (4.9%; 2.5%), Erbrechen (3.2%; 1.1%), peripheres Ödem (2.1%; 1.4%), Fieber (1.1%; 0.4%), Bronchitis (1.4%; 1.1%), Zellulitis (1.4%; 1.1%), Pharyngitis (1.8%; 1.1%), Infektion der oberen Atemwege (4.2%; 1.4%), verminderte Kreatininclearance (1.1%; 0.0%), Schmerzen des Muskel- und Skelettsystems (1.4%; 1.1%), Myalgie (1.1%; 0.7%), Nephrolithiasis (1.1%; 0.4%) und Husten (2.8%; 1.8%). Bei diesen Häufigkeitsangaben wurden alle unerwünschten Wirkungen berücksichtigt, unabhängig von der Kausalitätsbeurteilung durch die Prüfärzte. Zudem lag die Hypoglykämie-Inzidenz bei 24.9% für mit Sitagliptin, Metformin und Insulin behandelte Patienten und bei 37.8% für Patienten unter Placebo, Metformin und Insulin.
Bekannte unerwünschte Wirkungen mit Sitagliptin
Bei Patienten, die Sitagliptin einnahmen, wurden keine arzneimittelbedingten, unerwünschten Wirkungen mit einer Häufigkeit von ≥1% beobachtet.
Bekannte unerwünschte Wirkungen mit Metformin
Erkrankungen des Blutes- und des Lymphsystems
Häufig: Vitamin-B12-Mangel. Bei Patienten mit megaloblastischer Anämie wird empfohlen, eine solche Ätiologie in Betracht zu ziehen (siehe WARNHINWEISE UND VORSICHTSMASSNAHMEN).
Vereinzelte Fälle von Leukopenie, Thrombopenie und hämolytischer Anämie.
Stoffwechsel- und Ernährungsstörungen
Sehr selten: Laktatazidose (Inzidenz 3 Fälle/100'000 Patientenjahre, vgl. WARNHINWEISE UND VORSICHTSMASSNAHMEN).
Erkrankungen des Nervensystems
Häufig: Metallgeschmack (3%).
Erkrankungen des Gastrointestinaltrakts
Häufig: Gastrointestinale Störungen wie z.B. Nausea, Erbrechen, Diarrhö, Bauchschmerzen, Appetitverlust.
Diese Symptome treten meist zu Beginn der Therapie auf und gehen in der Regel spontan zurück.
Leber- und Gallenerkrankungen
In Einzelfällen: abnorme Werte in Leberfunktionstests, z.B. erhöhte Transaminasen oder Hepatitis (nach Absetzen von Metformin reversibel).
Erkrankungen der Haut und des Unterhautgewebes
Sehr selten: Hautreaktionen wie Erythem, Pruritus, Urtikaria.
TECOS kardiovaskuläre Sicherheitsstudie: Die TECOS-Studie (Trial Evaluating Cardiovascular Outcomes with Sitagliptin) umfasste eine Intention-to-treat Population, von denen 7332 Patienten täglich mit 100 mg Sitagliptin (bzw. 50 mg täglich, falls die geschätzte glomeruläre Filtrationsrate (eGFR) zu Studienbeginn zwischen ≥30 und <50 ml/min/1.73m2 lag) behandelt wurden und 7339 Patienten mit Placebo behandelt wurden. Beide Behandlungen wurden zur üblichen Therapie hinzugefügt. Die Studienpopulation beinhaltete total 2004 Patienten, die ≥75 Jahre alt waren (970 mit Sitagliptin und 1034 mit Placebo behandelt). Die Häufigkeit von schwerwiegenden unerwünschten Ereignissen war insgesamt bei Patienten unter Sitagliptin vergleichbar mit den Patienten unter Placebo. Eine Beurteilung der vordefinierten Diabetes-bezogenen Komplikationen ergab ähnliche Inzidenzen zwischen den Gruppen, einschliesslich Infektionen (18.4% der mit Sitagliptin behandelten Patienten und 17.7% der mit Placebo behandelten Patienten) und Nierenversagen (1.4% der mit Sitagliptin behandelten Patienten und 1.5% der mit Placebo behandelten Patienten). Das Profil der unerwünschten Ereignisse bei Patienten ≥75 Jahre war im Allgemeinen ähnlich zur Gesamtpopulation.
Bei Patienten, welche zum Studienbeginn Insulin und/oder einen Sulfonylharnstoff verwendeten, betrug die Inzidenz einer schweren Hypoglykämie 2.7% bei mit Sitagliptin behandelten Patienten und 2.5% bei mit Placebo behandelten Patienten. Bei Patienten welche zu Studienbeginn kein Insulin und/oder einen Sulfonylharnstoff verwendeten, betrug die Inzidenz einer schweren Hypoglykämie 1.0% bei mit Sitagliptin behandelten Patienten und 0.7% bei mit Placebo behandelten Patienten. Die Inzidenz von Pankreatitiden, die durch ein Nachprüfungskommitee bestätigt wurden, betrug 0.3% bei mit Sitagliptin behandelten Patienten und 0.2% bei mit Placebo behandelten Patienten. Die Inzidenz von Malignomen, die durch ein Nachprüfungskommitee bestätigt wurden, betrug 3.7% bei mit Sitagliptin behandelten Patienten und 4.0% bei mit Placebo behandelten Patienten.
Pankreatitis: In einer gepoolten Analyse von 19 doppelblinden klinischen Studien an 10'246 Patienten randomisiert für 100 mg Sitagliptin täglich (N = 5429) oder entsprechende Kontrolle (aktiv oder Placebo) (N = 4817) war die Inzidenz akuter Pankreatitiden in jeder Gruppe 0.1 pro 100 Patientenjahre (für Sitagliptin 4 Patienten mit einem Ereignis in 4708 Patientenjahren; für die Kontrolle 4 Patienten mit einem Ereignis in 3942 Patientenjahren) (siehe auch TECOS kardiovaskuläre Sicherheitsstudie und WARNHINWEISE UND VORSICHTSMASSNAHMEN, Pankreatitis).
Postmarketing Erfahrungen
Zusätzliche unerwünschte Reaktionen wurden nach Markteinführung von Sitagliptin und Metformin als Kombinationsprodukt oder Sitagliptin, einer der Komponenten von Sitagliptin Metformin Spirig HC, gemeldet. Beim alleinigen Gebrauch von Sitagliptin und Metformin als Kombinationsprodukt oder Sitagliptin und/oder zusammen mit anderen antihyperglykämischen Substanzen wurde über diese unerwünschten Wirkungen berichtet. Da diese auf Spontanmeldungen einer unbekannt grossen Population beruhen, ist es nicht möglich die Häufigkeit oder Kausalität zu bestimmen: Überempfindlichkeitsreaktionen einschliesslich Anaphylaxie, Angioödem, Hautausschlag, Urticaria, kutane Vaskulitis und exfoliative Hautveränderungen, einschliesslich Stevens-Johnson Syndrom (siehe KONTRAINDIKATIONEN und WARNHINWEISE UND VORSICHTSMASSNAHMEN, Überempfindlichkeitsreaktionen); akute Pankreatitis einschliesslich hämorrhagische Pankreatitis mit fatalem und nicht-fatalem Ausgang und nekrotisierende Pankreatitis (siehe auch WARNHINWEISE UND VORSICHTSMASSNAHMEN); Verschlechterung der Nierenfunktion einschliesslich akutes Nierenversagen (in gewissen Fällen ist Dialyse erforderlich); Rhabdomyolyse; bullöses Pemphigoid (siehe WARNHINWEISE UND VORSICHTSMASSNAHMEN); Infektionen des oberen Respirationstrakts, Nasopharyngitis; Obstipation, Erbrechen; Kopfschmerzen; Arthralgie, Myalgie, Schmerzen in den Extremitäten, Rückenschmerzen; Pruritus; Cholelithiasis und Cholezystitis.
Laborwerte
Sitagliptinphosphat
Die Häufigkeit von Veränderungen der Laborparameter war bei den mit Sitagliptin und Metformin behandelten Patienten ähnlich wie bei der Kontrollgruppe, die mit Placebo und Metformin behandelt wurde.
In mehreren klinischen Studien wurde eine leichte Erhöhung der Leukozytenwerte beobachtet (ca. 200 Zellen/µl im Vergleich zu Placebo; mittlerer Ausgangswert der Leukozytenwerte ca. 6600 Zellen/µl) und zwar aufgrund einer leichten Erhöhung der Neutrophilen. Diese Beobachtung wurde in den meisten, aber nicht in allen Studien gemacht. Diese Veränderungen der Laborparameter werden als klinisch nicht relevant betrachtet.
Metforminhydrochlorid
Unter Langzeitbehandlung mit Metformin kann der Vitamin-B12-Blutspiegel abnehmen (siehe UNERWÜNSCHTE WIRKUNGEN). Das Risiko eines Vitamin-B12-Mangels steigt mit zunehmender Metformin-Dosis und Behandlungsdauer. Es wird empfohlen, die Vitamin-B12-Serumspiegel in regelmässigen Abständen (z.B. jährlich) zu kontrollieren, insbesondere bei Patienten mit Anämie oder peripherer Neuropathie.
Die Meldung des Verdachts auf Nebenwirkungen nach der Zulassung ist von grosser Wichtigkeit. Sie ermöglicht eine kontinuierliche Überwachung des Nutzen-Risiko-Verhältnisses des Arzneimittels. Angehörige von Gesundheitsberufen sind aufgefordert, jeden Verdacht einer neuen oder schwerwiegenden Nebenwirkung über das Online-Portal ElViS (Electronic Vigilance System) anzuzeigen. Informationen dazu finden Sie unter www.swissmedic.ch.

Überdosierung

Sitagliptinphosphat
In kontrollierten klinischen Studien mit gesunden Probanden wurden Einzeldosen von bis zu 800 mg Sitagliptin allgemein gut vertragen.
Bei einer Dosis von 800 mg Sitagliptin wurden in einer Studie minimale Erhöhungen des QT-Intervalls beobachtet, die jedoch als klinisch nicht relevant erachtet wurden.
Es existieren keine Daten für Dosen über 800 mg in klinischen Studien.
In Phase I-Studien mit multipler Verabreichung von Sitagliptin bis zu 600 mg täglich während bis zu 10 Tagen und 400 mg täglich während bis zu 28 Tagen, wurden klinisch keine dosisabhängigen, unerwünschten Wirkungen beobachtet.
Im Fall einer Überdosierung ist es angemessen, die üblichen unterstützenden Massnahmen zu ergreifen, wie z.Bsp. die Entfernung von noch nicht absorbierten Wirkstoffen aus dem Magen-Darm-Trakt, die klinische Überwachung (einschliesslich EKG) und falls nötig die Einleitung einer unterstützenden Therapie.
Sitagliptin ist mässig dialysierbar. In klinischen Studien wurden ca. 13.5% der Dosis während einer 3- bis 4-stündigen Hämodialyse entfernt. Eine längere Hämodialyse kann in Erwägung gezogen werden, falls es klinisch sinnvoll ist. Es ist nicht bekannt, ob Sitagliptin mittels Peritonealdialyse dialysierbar ist.
Metforminhydrochlorid
Überdosierungen von Metformin sind vorgekommen, sogar Überdosierungen über 50 Gramm. Hypoglykämie wurde in ca. 10% der Fälle beobachtet, es konnte jedoch kein kausaler Zusammenhang mit Metformin bewiesen werden. In ca. 32% der Fälle von Überdosierung mit Metformin wurde Laktatazidose festgestellt (siehe WARNHINWEISE UND VORSICHTSMASSNAHMEN, Metforminhydrochlorid). Weil Metformin dialysierbar ist (mit einer Clearance von bis zu 170 ml/min unter guten hämodynamischen Bedingungen), wird eine Hämodialyse empfohlen, um das akkumulierte Metformin zu entfernen.

Eigenschaften/Wirkungen

ATC-Code
A10BD07
Wirkungsmechanismus / Pharmakodynamik
Sitagliptin gehört zu einer Klasse oraler Antidiabetika, den Dipeptidylpeptidase-4 (DPP-4) Inhibitoren, welche die Blutzuckereinstellung bei Patienten mit Diabetes Typ 2 verbessern, indem sie die Konzentrationen der aktiven Inkretine erhöhen. Inkretine, einschliesslich GLP-1 (Glucagon-like Peptide-1) und GIP (Glucose-dependent insulinotropic Polypeptide), werden während des ganzen Tages aus dem Darm freigesetzt und deren Konzentrationen werden durch die Einnahme von Nahrung erhöht. Die Inkretine sind Teil eines endogenen Systems, das bei der physiologischen Regulierung der Glukosehomöostase beteiligt ist. Wenn der Blutzucker normal oder erhöht ist, fördern GLP-1 und GIP die Insulinsynthese und die Insulinfreisetzung aus den Betazellen im Pankreas durch intrazelluläre Signale mit Hilfe von cyclischem AMP. Die Behandlung von Diabetes Typ 2 mit GLP-1 oder mit DPP-4-Inhibitoren in Tiermodellen hat gezeigt, dass die Empfindlichkeit der Betazellen auf Glukose verbessert und die Biosynthese und Freisetzung von Insulin stimuliert wird. Bei höheren Insulinkonzentrationen ist die Glukoseaufnahme des Gewebes erhöht. Zusätzlich erniedrigt GLP-1 die Glukagonsekretion aus den Alphazellen im Pankreas. Erniedrigte Glukagonkonzentrationen, zusammen mit höheren Insulinkonzentrationen, führen zu einer verminderten Glukoseproduktion in der Leber, was wiederum zu einer Erniedrigung des Blutzuckers führt. Die Wirkung von GLP-1 und GIP sind glucoseabhängig. Wenn der Blutzucker tief ist, stimuliert GLP-1 weder die Insulinfreisetzung noch die Suppression der Glukagonsekretion. Durch GLP-1 und GIP wird die Insulinsekretion erhöht wenn Glucose die Normalwerte überschreitet. GLP-1 beeinträchtigt die normale Glukagonreaktion bei einer Hypoglykämie nicht. Die Aktivität von GLP-1 und GIP wird durch das DPP-4-Enzym geregelt, das die Inkretine schnell hydrolysiert und in inaktive Substanzen umwandelt. Sitagliptin verhindert die Hydrolyse der Inkretine durch DPP-4, wobei die Plasmakonzentrationen der aktiven Formen von GLP-1 und GIP erhöht werden. Durch die Konzentrationserhöhung der aktiven Inkretine steigert Sitagliptin die Insulinfreisetzung und erniedrigt die Glukagonkonzentrationen in einer glukoseabhängigen Weise. Bei Diabetes Typ 2-Patienten mit Hyperglykämie führen diese Veränderungen der Insulin- und Glukagonkonzentrationen zu einer geringeren Konzentration des Hämoglobins A1c (HbA1c) sowie tieferen postprandialen und Nüchtern-Blutzuckerspiegeln. Dieser glucoseabhängige Mechanismus unterscheidet sich von demjenigen der Sulfonylharnstoffe, wobei Insulin auch bei niedrigen Glucosewerten freigesetzt wird, was bei Typ 2 Diabetikern und Gesunden zu Hypoglykämien führen kann. Sitagliptin ist ein potenter und stark selektiver Inhibitor des Enzyms DPP-4 und hemmt die nahe verwandten Enzyme DPP-8 und DPP-9 in therapeutischen Konzentrationen nicht.
Metforminhydrochlorid
Metformin ist ein Antidiabetikum, das die Glukosetoleranz bei Patienten mit Diabetes Typ 2 verbessert und sowohl die basalen als auch die postprandialen Plasmaglukosespiegel senkt. Die pharmakologischen Wirkungsmechanismen von Metformin unterscheiden sich von anderen Klassen oraler Antidiabetika. Metformin vermindert sowohl die Glukosesynthese in der Leber als auch die Glukoseabsorption im Darm und verbessert die Insulinsensitivität, indem die periphere Glukoseaufnahme und -verwertung erhöht wird. Im Unterschied zu den Sulfonylharnstoffen erzeugt Metformin weder bei Patienten mit Diabetes Typ 2 noch bei gesunden Probanden eine Hypoglykämie, ausser in sehr speziellen Fällen (siehe WARNHINWEISE UND VORSICHTSMASSNAHMEN, Metforminhydrochlorid) und verursacht auch keine Hyperinsulinämie. Während einer Metformintherapie bleibt die Insulinsekretion unverändert, während der Nüchtern-Insulinspiegel und die Plasmainsulin-Response im Laufe des Tages sogar abnehmen können.
Klinische Wirksamkeit
Klinische Studien
Klinische Studien mit gleichzeitiger Verabreichung von Sitagliptin und Metformin zeigten signifikante Verbesserungen bei der Blutzuckereinstellung bei erwachsenen Patienten mit Diabetes Typ 2. Die Bioequivalenz von Sitagliptin und Metformin als Kombinationsprodukt und gleichzeitig verabreichten Sitagliptin und Metforminhydrochlorid wurde gezeigt. Sitagliptin in Kombination mit Metformin verbesserte die glykämische Kontrolle in klinischen Studien bis zu 2 Jahren.
Sitagliptin und Metformin bei Patienten mit Diabetes Typ 2
An einer randomisierten, doppelblinden, placebokontrollierten Studie zur Untersuchung der Sicherheit und Wirksamkeit der Kombination von Sitagliptin und Metformin nahmen während 24 Wochen insgesamt 1091 Patienten mit Diabetes Typ 2 teil, die trotz Diät und körperlicher Betätigung eine inadäquate Blutzuckereinstellung aufwiesen.
Bei Patienten mit ungenügender glykämischer Kontrolle unter Diät und Bewegung alleine erzielte die Kombination von Sitagliptin und Metformin signifikante Verbesserungen bei HbA1c, FPG (Nüchtern-Plasmaglukose) und 2-Stunden-Wert der PPG im Vergleich zu Placebo, zur Metformin-Monotherapie und zur Sitagliptin-Monotherapie (p<0.001; Tabelle 2, Abbildung 1). Eine Verbesserung mit fast maximaler FPG-Reduktion wurde am ersten Endpunkt nach 3 Wochen erreicht (entsprechend dem ersten Endpunkt nach Beginn der Therapie) und konnte während der ganzen 24-wöchigen Studie aufrechterhalten werden. Im Vergleich zu Placebo zeigten Patienten mit einem höheren HbA1c-Ausgangswert eine stärkere mittlere HbA1c-Reduktion.
Die Verbesserung der HbA1c-Werte wurde durch Geschlecht, Alter, Rasse oder BMI-Ausgangswert nicht beeinflusst. Messungen der Betazellenfunktion, HOMA-β, und das Verhältnis Proinsulin/Insulin zeigten ebenfalls eine Verbesserung, wenn Sitagliptin und Metformin als Kombinationstherapie verabreicht wurden, im Vergleich zu den jeweiligen Monotherapien. Die Lipid-Endpunkte wurden nicht beeinflusst. Die mittleren HbA1c-Reduktionen für die Subgruppe von Patienten ohne Antidiabetika bei Studieneintritt waren: Sitagliptin 100 mg einmal täglich (n=88), -1.06%; Metformin 500 mg zweimal täglich (n=90), -1.09%; Metformin 1000 mg zweimal täglich (n=87), -1.24%; Sitagliptin 50 mg zweimal täglich mit Metformin 500 mg zweimal täglich (n=100), -1.59%; und Sitagliptin 50 mg zweimal täglich mit Metformin 1000 mg zweimal täglich (n=86), -1.94%; und bei Patienten, welche Placebo erhalten haben (n=83), -0.17%.
Abb. 1: Mittlere Veränderung der HbA1c über 24 Wochen gegenüber den Ausgangswerten mit Sitagliptin und Metformin alleine und in Kombination bei Patienten mit Typ-2 Diabetes†

† All Patients Treated Population (eine Intention-to-treat Analyse), Mittelwerte der kleinsten Quadrate, adjustiert für den vorherigen Antidiabetika-Therapiestatus und den Ausgangswert.
Tabelle 2:
Glykämische Parameter und Körpergewicht bei der abschliessenden Untersuchung nach 24 Wochen †

Placebo

Sitagliptin
100 mg
q.d.

Metformin
500 mg b.i.d.

Sitagliptin
50 mg b.i.d. +
Metformin
500 mg b.i.d.

Metformin
1000 mg b.i.d.

Sitagliptin
50 mg b.i.d +
Metformin
1000 mg b.i.d.

HbA1c (%)

N = 165

N = 175

N = 178

N = 183

N = 177

N = 178

Ausgangswert (Mittel)

8.68

8.87

8.90

8.79

8.68

8.76

Veränderung gegenüber Ausgangswert (adjustiertes Mittel‡)

0.17

-0.66

-0.82

-1.40

-1.13

-1.90

Veränderung gegenüber Placebo (adjustiertes Mittel‡)

-

-0.83§

-0.99§

-1.57§

-1.30§

-2.07§

Patienten (%) mit HbA1c <7%

15 (9.1)

35 (20.0)

41 (23.0)

79 (43.2)

68 (38.4)

118 (66.3)

FPG (mmol/l)

N = 169

N = 178

N = 179

N = 183

N = 179

N = 180

Ausgangswert (Mittel)

10.91

11.19

11.40

11.33

10.94

10.93

Veränderung gegenüber Ausgangswert (adjustiertes Mittel‡)

0.32

-0.97

-1.52

-2.62

-1.63

-3.55

Veränderung gegenüber Placebo
(adjustiertes Mittel‡)

-

-1.29§

-1.84§

-2.94§

-1.95§

-3.87§

2-Stunden-Wert der PPG (mmol/l)

N = 129

N = 136

N = 141

N = 147

N = 138

N = 152

Ausgangswert (Mittel)

15.38

15.86

16.26

16.21

15.74

15.94

Veränderung gegenüber Ausgangswert (adjustiertes Mittel‡)

0.02

-2.88

-2.97

-5.14

-4.33

-6.48

Veränderung gegenüber Placebo
(adjustiertes Mittel‡)

-2.9§

-2.98§

-5.16§

-4.35§

-6.49§

Körpergewicht (kg)**

N = 167

N = 175

N = 179

N = 184

N = 175

N = 178

Ausgangswert (Mittel)

90.1

85.9

88.1

90.0

89.4

88.2

Veränderung gegenüber Ausgangswert (adjustiertes Mittel‡)

-0.9

0.0

-0.9

-0.6

-1.1

-1.3

Veränderung gegenüber Placebo
(adjustiertes Mittel‡)

0.9¶

0.1#

0.4#

-0.1#

-0.3#

† All Patients Treated Population (eine Intention-to-treat Analyse).
‡ Mittelwerte der kleinsten Quadrate, adjustiert für den vorherigen Antidiabetika-Therapiestatus und den Ausgangswert.
§ p<0.001 im Vergleich zu Placebo.
** All Patients as Treated (APaT) Population, ohne Daten nach einer glykämischen Notfallbehandlung.
¶ p=0.005 im Vergleich zu Placebo.
# Statistisch nicht signifikant (p≥0.05) im Vergleich zu Placebo.
Zudem schloss diese Studie Patienten (N=117) mit einer starken Hyperglykämie ein (HbA1c >11% oder Blutglukose >15.56 mmol/l), die zweimal täglich mit Sitagliptin 50 mg und Metformin 1000 mg behandelt wurden. Bei diesen Patienten gab es keine Placebokontrolle. In dieser Patientengruppe war der HbA1c-Ausgangswert im Mittel 11.15%, FPG war 17.47 mmol/l und der 2-Stunden-Wert der PPG betrug 24.5 mmol/l. Nach 24 Wochen wurden folgende Reduktionen gegenüber dem Ausgangswert festgestellt: -2.9% für HbA1c, -7.04 mmol/l für FPG und -11.55 mmol/l für den 2-Stunden-Wert der PPG. Nach 24 Wochen wurde in dieser Kohorte ein Anstieg des Körpergewichts um 1.3 kg festgestellt.
Sitagliptin Add-on-Therapie bei Patienten, die mit einer Metformin-Monotherapie eine inadäquate Blutzuckereinstellung haben
In zwei doppelblinden, placebokontrollierten klinischen Studien bei Patienten mit Diabetes mellitus Typ 2 wurden Sitagliptin und Metformin in Kombination auf Sicherheit und Wirksamkeit geprüft. In beiden Studien wurden Patienten mit inadäquater Blutzuckereinstellung bei gleich bleibenden Dosen Metformin ≥1500 mg randomisiert und erhielten einmal täglich entweder 100 mg Sitagliptin oder Placebo zusätzlich zur bestehenden Therapie mit Metformin.
In einer Studie erhielten 701 Patienten während 24 Wochen einmal täglich 100 mg Sitagliptin oder Placebo. Die Addition von Sitagliptin zur bestehenden Therapie mit Metformin ergab signifikante Verbesserungen bei HbA1c (-0.65%), FPG (-1.41 mmol/l) und beim 2h-ppBZ (-2.81 mmol/l), im Vergleich zur Addition von Placebo zur bestehenden Therapie mit Metformin (siehe Abb. 2 und Tabelle 3). Die Verbesserung des HbA1C im Vergleich zu Placebo, wurde durch den HbA1C-Ausgangswert, vorhergehende Antidiabetika-Therapien, Geschlecht, Alter, BMI-Ausgangswert, Zeit seit der Diabetesdiagnose, Vorhandensein des metabolischen Syndroms, Standardindizes der Insulinresistenz (HOMA-IR) oder Insulinsekretion (HOMA-β) nicht beeinflusst.
Abb. 2: Mittlere Veränderung des HbA1c-Ausgangswertes in 24 Wochen bei einer täglichen 100 mg-Dosis Sitagliptin und Metformin oder Placebo und Metformin bei Patienten mit Diabetes Typ 2† ‡

† Patienten mit Metformin-Monotherapie und inadäquater Blutzuckereinstellung.
‡ All Patients Treated Population. Mittelwerte der kleinsten Quadrate, adjustiert für den vorherigen Antidiabetika-Therapiestatus und den Ausgangswert.
Tabelle 3:
Glykämische Parameter und Körpergewicht bei der abschliessenden Untersuchung (24-wöchige Studie)
Sitagliptin als Add-on-Therapie bei Patienten mit inadäquater Blutzuckereinstellung unter Metformin†

Sitagliptin 100 mg q.d. + Metformin

Placebo +
Metformin

HbA1c (%)

N = 453

N = 224

Ausgangswert (Mittel)

7.96

8.03

Veränderung gegenüber Ausgangswert (adjustiertes Mittel‡)

-0.67

-0.02

Veränderung gegenüber Placebo + Metformin (adjustiertes Mittel‡)

-0.65§

Patienten (%) mit HbA1c <7%

213 (47.0)

41 (18.3)

FPG (mmol/l)

N = 454

N = 226

Ausgangswert (Mittel)

9.44

9.64

Veränderung gegenüber Ausgangswert (adjustiertes Mittel‡)

-0.94

0.47

Veränderung gegenüber Placebo + Metformin (adjustiertes Mittel‡)

-1.41§

2-Stunden-Wert der PPG (mmol/l)

N = 387

N = 182

Ausgangswert (Mittel)

15.25

15.13

Veränderung gegenüber Ausgangswert (adjustiertes Mittel‡)

-3.44

-0.63

Veränderung gegenüber Placebo + Metformin (adjustiertes Mittel‡)

-2.81§

Body Weight (kg)**

N = 399

N = 169

Ausgangswert (Mittel)

86.9

87.6

Veränderung gegenüber Ausgangswert (adjustiertes Mittel‡)

-0.7

-0.6

Veränderung gegenüber Placebo + Metformin (adjustiertes Mittel‡)

-0.1¶

† All Patients Treated Population (eine Intention-to-treat Analyse).
‡ Mittelwerte der kleinsten Quadrate, adjustiert für den vorherigen Antidiabetika-Therapiestatus und den Ausgangswert.
§ p<0.001 im Vergleich zu Placebo + Metformin.
** All Patients as Treated (APaT) Population, ohne Daten nach einer glykämischen Notfallbehandlung.
¶ Statistisch nicht relevant (p≥0.05) im Vergleich zu Placebo + Metformin.
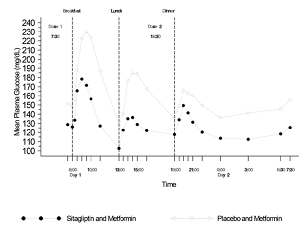
In einer anderen Studie wurden die 24-Stunden Plasmaglukose-Werte bestimmt. 28 Patienten erhielten während 4 Wochen zweimal täglich entweder 50 mg Sitagliptin oder Placebo, zusätzlich zur bestehenden Therapie mit Metformin zweimal täglich. Nach 4-wöchiger Behandlung wurde der Unterschied der glukosesenkenden Wirkung als gewichtetes Mittel der 24-Stunden Plasmaglukose-Werte (WMG) bestimmt, basierend auf der Entnahme von mehreren Blutproben pro Tag, einschliesslich derjenigen vor und nach den Mahlzeiten sowie in der Nacht. Zweimal täglich 50 mg Sitagliptin in Kombination mit zweimal täglich Metformin erniedrigte die 24-Stunden WMG, im Vergleich zu Placebo in Kombination mit Metformin, signifikant (-1.82 mmol/l). Wenn Sitagliptin in Kombination mit Metformin verabreicht wurde, resultierten zudem, im Vergleich zu Placebo in Kombination mit Metformin, signifikant tiefere Nüchtern-Plasmaglukosekonzentrationen und kleinere Abweichungen der Plasmaglukose-Werte nach allen drei Mahlzeiten (siehe Abb. 3). Sitagliptin in Kombination mit Metformin führte im Vergleich zu Placebo in Kombination mit Metformin auch zu einer signifikanten Reduktion der mittleren Nüchtern-Plasmaglukose (-1.13 mmol/l), des 7-Punkt-Glukosedurchschnitts (-1.56 mmol/l) und der Glukosekonzentrationen 2-Stunden postprandial (-2.03 mmol/l).
Abb. 3: 24-Stunden Plasmaglukoseprofile bei Patienten mit Diabetes Typ 2 nach 4-wöchiger Behandlung mit Sitagliptin 50 mg BID und Metformin oder Placebo und Metformin†

† Patienten mit inadäquater Blutzuckereinstellung mit einer Metformin-Monotherapie.
Sitagliptin Add-on-Therapie bei Patienten, die mit einer Kombination von Metformin und Glimepirid eine inadäquate Blutzuckereinstellung aufwiesen
Insgesamt 441 Patienten mit Diabetes Typ 2 nahmen während 24 Wochen an einer randomisierten, doppelblinden, placebokontrollierten Studie teil, um die Wirksamkeit von 100 mg Sitagliptin einmal täglich, im Vergleich zu Placebo, in Kombination mit Glimepirid (als Monotherapie oder in Kombination mit Metformin) zu beurteilen. In dieser Studie erhielten 220 Patienten bereits eine Kombinationstherapie mit Glimepirid (≥4 mg pro Tag) und Metformin (≥1500 mg pro Tag).
Die Kombination von Sitagliptin, Glimepirid und Metformin ergab eine signifikante Reduktion des HbA1c-Ausgangswertes (-0.89%) und der FPG (-1.15 mmol/l) im Vergleich zu Placebo (siehe Tabelle 4). Im Vergleich zu Placebo zeigten Patienten mit einem höheren HbA1c-Ausgangswert eine stärkere mittlere HbA1c-Reduktion.
Tabelle 4
Glykämische* Parameter und Körpergewicht bei der abschliessenden Untersuchung (24-wöchige Studie) mit Sitagliptin zusätzlich zur Kombinationstherapie mit Glimepirid und Metformin†

Sitagliptin 100 mg
+ Glimepirid
+ Metformin

Placebo
+ Glimepirid
+ Metformin

HbA1c (%)

N = 115

N = 105

Ausgangswert (Mittel)

8.27

8.28

Veränderung gegenüber Ausgangswert (adjustiertes Mittel)‡

-0.59

0.30

Veränderung gegenüber Placebo (adjustiertes Mittel‡)

-0.89§

Patienten (%) mit HbA1c <7%

26 (22.6)

1 (1.0)

FPG (mmol/l)

N = 115

N = 109

Ausgangswert (Mittel)

9.96

9.94

Veränderung gegenüber Ausgangswert (adjustiertes Mittel)‡

-0.43

0.72

Veränderung gegenüber Placebo (adjustiertes Mittel‡)

-1.15§

Körpergewicht (kg)**

N = 102

N = 74

Ausgangswert (Mittel)

86.5

84.6

Veränderung gegenüber Ausgangswert (adjustiertes Mittel)‡

0.4

-0.7

Veränderung gegenüber Placebo (adjustiertes Mittel‡)

1.1††

* Primäre und sekundäre glykämische Parameter waren HbA1c und Nüchternglucose
† All Patients Treated Population (eine Intention-to-treat Analyse).
‡ Mittelwerte der kleinsten Quadrate, adjustiert für den vorherigen Antidiabetika-Therapiestatus und den Ausgangswert.
§ p<0.001 im Vergleich zu Placebo.
** All Patients as Treated (APaT) Population, ohne Daten nach einer glykämischen Notfallbehandlung.
†† p=0.007 im Vergleich zu Placebo
Sitagliptin Add-on-Therapie bei Patienten, welche unter einer Kombination von Metformin und Insulin ungenügend kontrolliert sind:
Insgesamt 641 Patienten mit Diabetes Typ 2 nahmen an einer 24-wöchigen, randomisierten, doppelblinden, placebokontrollierten Studie teil, in deren Rahmen die Wirksamkeit von Sitagliptin 100 mg einmal täglich in Kombination mit einer stabilen Dosis Insulin beurteilt wurde. Ungefähr 75% der Patienten nahmen gleichzeitig Metformin ein. Patienten mit fertig hergestelltem lang oder intermediär wirksamem Insulin (mit oder ohne Metformin) wurden zusätzlich entweder zu 100 mg Sitagliptin oder Placebo randomisiert. Gemessene glykämische Endpunkte schlossen HbA1c, Nüchtern-Glucose und 2-Stunden-postprandial-Glucose (PPG) ein.
Die Kombination von Sitagliptin, Metformin und Insulin bewirkte signifikante Verbesserungen des HbA1c, der Nüchtern-Glucose und der 2-Stunden-PPG im Vergleich zu Placebo (Tabelle 5). Die Verbesserung des HbA1c im Vergleich zu Placebo war über alle Subgruppen hinweg generell konsistent, wobei die Subgruppen nach Geschlecht, Alter, Rasse, BMI-Ausgangswert, Zeitraum seit der Diabetesdiagnose, Vorhandensein des metabolischen Syndroms oder Standardindizes der Insulinresistenz (HOMA-IR) bzw. Insulinsekretion (HOMA-β) definiert waren. In keiner der Gruppen wurde eine bedeutende Änderung des Körpergewichts im Vergleich zum Ausgangswert beobachtet.
Tabelle 5:
Glykämische Parameter und Körpergewicht bei der abschliessenden Untersuchung (24-wöchige Studie) nach Einnahme von Sitagliptin als Add-on-Kombinationstherapie mit Metformin und einer stabilen Dosis Insulin†

Sitagliptin 100 mg
+ Insulin
+ Metformin

Placebo
+ Insulin
+ Metformin

HbA1c (%)

N = 223

N = 229

Ausgangswert (Mittel)

8.73

8.60

Veränderung gegenüber Ausgangswert (adjustiertes Mittel‡)

-0.66

-0.13

Unterschied gegenüber Placebo (adjustiertes Mittel‡,§)

-0.53**

Patienten (%) mit HbA1c <7%

32 (14.3)

12 (5.2)

Nüchtern-Glucose (mmol/l)

N = 225

N = 229

Ausgangswert (Mittel)

9.5

9.7

Veränderung gegenüber Ausgangswert (adjustiertes Mittel‡)

-1.2

-0.2

Unterschied gegenüber Placebo (adjustiertes Mittel‡)

-1.0**

2-Stunden-PPG (mmol/l)

N = 182

N = 189

Ausgangswert (Mittel)

15.4

15.4

Veränderung gegenüber Ausgangswert (adjustiertes Mittel‡)

-2.1

0.1

Unterschied gegenüber Placebo (adjustiertes Mittel‡)

-2.2**

Körpergewicht (kg)¶

N = 201

N = 200

Ausgangswert (Mittel)

87.9

88.0

Veränderung gegenüber Ausgangswert (adjustiertes Mittel‡)

-0.1

0.0

Unterschied gegenüber Placebo (adjustiertes Mittel‡)

0.1#

† «All-Patients-Treated» Population (Intention-to-treat-Analyse).
‡ Mittelwerte der kleinsten Quadrate, adjustiert für Insulin Behandlung bei Visite 1 (fertig hergestellt vs. nicht fertig hergestellt [intermediär- oder lang-wirksam]) und Ausgangswert.
§ Behandlung nach Insulin Stratum Interaktion war nicht signifikant (p>0.10).
** p<0.001 im Vergleich zu Placebo.
¶ «All-Patients-as-Treated» (APaT) Population unter Ausschluss von Daten nach einer glykämischen Notfallbehandlung.
# Statistisch nicht signifikant (p≥0.05) im Vergleich zu Placebo.
In einer anderen 24-wöchigen, randomisierten, doppelblinden und placebo-kontrollierten Studie zur Erfassung der Insulin-sparenden Wirkung von Sitagliptin als Add-on-Kombinationstherapie wurden 660 Patienten mit ungenügender glykämischer Kontrolle unter Insulin Glargin mit oder ohne Metformin (≥1500 mg pro Tag) zu entweder 100 mg Sitagliptin (N=330) oder Placebo (N=330) randomisiert. Die Verabreichung erfolgte einmal täglich während einer Intensivierung der Insulin-Therapie. Bei den Patienten mit Metformin war der HbA1c-Ausgangswert bei 8.70% und die Anfangsdosis von Insulin bei 37 IU/Tag. Patienten wurden instruiert ihre Insulin Glargin Dosis auf Grund der durch Fingerpunktion erhaltenen Nüchternblutzuckerwerte zu titrieren. Sekundäre Studien-Endpunkte beinhalteten HbA1c und FPG.
Bei den Patienten mit Metformin war zu Woche 24 der Anstieg der täglichen Insulindosis bei mit Sitagliptin behandelten Patienten geringer (19 IU/Tag, N=285) als bei Patienten unter Placebo (24 IU/Tag, N=283). Dieser Unterschied war statistisch signifikant (p=0.007).
Hinsichtlich sekundärer Studien-Endpunkte kam es zu einer HbA1c-Reduktion bei mit Sitagliptin, Metformin und Insulin behandelten Patienten von -1.35% verglichen mit -0.90% bei Patienten unter Placebo, Metformin, und Insulin, einer Differenz von -0.45% entsprechend [95% CI: -0.62, -0.29]. Die FPG-Reduktion bei mit Sitagliptin, Metformin und Insulin behandelten Patienten betrug -3.0 mmol/l verglichen mit -2.4 mmol/l bei Patienten unter Placebo, Metformin, und Insulin, einer Differenz von -0.7 mmol/l entsprechend [95% CI: -1.0, -0.3].
Glipizidkontrollierte Studie in Kombination mit Metformin
Die Langzweitwirkung wurde in einer 52-wöchigen, randomisierten, doppelblinden, Glipizidkontrollierten Studie bei Patienten mit Diabetes Typ 2 untersucht. Patienten mit ungenügender Blutzuckereinstellung unter Metformin (≥1500 mg/Tag) erhielten entweder täglich 100 mg Sitagliptin (N=588) oder Glipizid (N=584) während 52 Wochen. Patienten mit Glipizid erhielten als Initialdosis 5 mg/Tag und wurden dann innerhalb der folgenden 18 Wochen selektiv, ohne eine signifikante Hypoglykämie zu erzeugen, bis zu einer Ziel-FPG von <110 mg/dl auftitriert. Eine Maximaldosis von 20 mg/Tag war zur optimalen Blutzuckereinstellung zugelassen. Danach wurde die Glipizid-Dosis konstant gehalten. Die durchschnittliche Glipizid-Dosis nach der Titration betrug 10.3 mg.
Beide Behandlungen führten zu einer statistisch signifikanten Verbesserung der Blutzuckereinstellung im Vergleich zum Ausgangswert. Nach 52 Wochen betrug die Reduktion des HbA1c-Ausgangswertes 0.67% für 100 mg Sitagliptin täglich und 0.67% für Glipizid, was die Gleichwertigkeit der zwei Wirkstoffe bestätigte. Die Reduktion der FPG war 0.56 mmol/l für Sitagliptin und 0.42 mmol/l für Glipizid. In einer post-hoc Analyse hatten Patienten mit einem höheren HbA1c-Ausgangswert (≥9%) in beiden Gruppen eine grössere Reduktion des HbA1c-Ausgangswertes (Sitagliptin -1.68%; Glipizid -1.76%). Die Behandlung mit Sitagliptin führte zu einer Reduktion des Verhältnisses Proinsulin/Insulin, einem Marker für die Insulinsynthese und Insulinfreisetzung. Mit Glipizid verschlechterte sich das Verhältnis Proinsulin/Insulin. Die Häufigkeit von Hypoglykämien war in der Sitagliptin Gruppe mit 4,9% signifikant niedriger als in der Glipizid Gruppe (32.0%). Bei Patienten, die mit Sitagliptin behandelt wurden, nahm das Körpergewicht signifikant ab, während Patienten, denen Glipizid verabreicht wurde, eine signifikante Erhöhung des Körpergewichts aufwiesen (-1.5 kg vs. +1.1 kg).
Metforminhydrochlorid
Die prospektive, randomisierte Studie (UKPDS) hat den langfristigen Vorteil einer intensiven Blutzuckerkontrolle bei Diabetes Typ 2 bestätigt. Die Analyse der Resultate bei übergewichtigen Patienten, die mit Metformin behandelt wurden, nachdem eine Diät allein nicht geholfen hatte, zeigte:
·in der Metformin-Gruppe eine signifikante Reduktion des absoluten Risikos einer Komplikation im Zusammenhang mit Diabetes (29,8 Vorfälle/1000 Patientenjahre) versus Diät allein (43,3 Vorfälle/1000 Patientenjahre), p=0.0023, sowie versus die kombinierten Sulfonyl-harnstoff- und Insulin-Monotherapiegruppen (40.1 Vorfälle/1000 Patientenjahre), p=0.0034.
·eine signifikante Reduktion des absoluten Mortalitätsrisikos im Zusammenhang mit Diabetes: Metformin 7.5 Todesfälle/1000 Patientenjahre, Diät allein 12.7 Todesfälle/1000 Patientenjahre, p=0.017.
·eine signifikante Reduktion des absoluten Risikos der Gesamtmortalität: Metformin 13.5 Todesfälle/1000 Patientenjahre versus Diät allein 20.6 Todesfälle/1000 Patientenjahre (p=0.011), und versus die kombinierten Sulfonylharnstoff- und Insulin-Monotherapiegruppen 18.9 Todesfälle/1000 Patientenjahre (p=0.021).
·eine signifikante Reduktion des absoluten Risikos eines Herzinfarktes: Metformin 11 Vorfälle/1000 Patientenjahre, Diät allein 18 Todesfälle/1000 Patientenjahre (p=0.01).
TECOS kardiovaskuläre Sicherheitsstudie
Die TECOS-Studie (Trial Evaluating Cardiovascular Outcomes with Sitagliptin) war randomisiert und umfasste 14'671 Patienten in der Intention-to-treat Population mit HbA1c-Werten von ≥6.5 bis 8.0% und nachgewiesener kardiovaskulärer Erkrankung. Die Patienten erhielten entweder Sitagliptin 100 mg täglich (7332) (oder 50 mg täglich, falls der eGFR-Ausgangswert ≥30 und <50 ml/min/1,73 m2 war) oder Placebo (7339), gegeben zusätzlich zur üblichen Therapie mit Zielwerten gemäss regionalen Standards für HbA1c und kardiovaskulären Risikofaktoren. Patienten mit einer eGFR <30 ml/min/1.73 m2 wurden nicht in die Studie aufgenommen. Die Studie umfasste 2004 Patienten, die ≥75 Jahre alt waren und 3324 Patienten, die Niereninsuffizienz (eGFR <60 ml/min/1.73 m2) hatten.
Die Patienten in der Sitagliptin-Gruppe erhielten weniger antihyperglykämische Arzneimittel als jene in der Placebo-Gruppe (Hazard Ratio 0.72; 95% KI, 0.68-0.77; p≤0.001). Zudem war bei Patienten, die bei Studieneintritt nicht unter Insulin waren, das Starten einer chronischen Insulintherapie weniger wahrscheinlich (Hazard-Ratio 0.70; 95% KI, 0.63-0.79; p<0.001).
Der primäre kardiovaskuläre Endpunkt war eine Zusammensetzung des ersten Auftretens von kardiovaskulärem Tod, nicht-tödlichem Myokardinfarkt, nicht-tödlichem Schlaganfall oder Hospitalisierung wegen instabiler Angina pectoris. Sekundäre kardiovaskuläre Endpunkte waren erstes Auftreten von kardiovaskulärem Tod, nicht-tödlichem Myokardinfarkt oder nicht-tödlichem Schlaganfall; erstes Auftreten der einzelnen Komponenten der primären Zusammensetzung; Gesamtmortalität; und Hospitalisierungen aufgrund von Herzinsuffizienz.
Nach einer medianen Beobachtungszeit von drei Jahren erhöhte sich das Risiko für schwere unerwünschte kardiovaskuläre Ereignisse oder einer Hospitalisierung wegen Herzinsuffizienz nicht, wenn Sitagliptin bei Patienten mit Diabetes Typ 2 zusätzlich zur üblichen Therapie verabreicht wurde (Tabelle 6).
Tabelle 6:
Ergebnisraten für kardiovaskuläre Ereignisse und wichtige sekundäre Ereignisse

Sitagliptin 100 mg

Placebo

Hazard Ratio
(95% KI)

p-Wert†

N (%)

Inzidenz-Rate pro 100 Patientenjahre*

N (%)

Inzidenz-Rate pro 100 Patientenjahre

Analyse der Intention-to-Treat Population

Anzahl Patienten

7332

7339

0.98 (0.89–1.08)

<0.001

Zusammengesetzter primärer Endpunkt
(Kardiovaskulärer Tod, nicht-tödlicher Myokardinfarkt, nicht-tödlicher Schlaganfall, oder Hospitalisierung wegen instabiler Angina pectoris)

839 (11.4)

4.1

851 (11.6)

4.2

Zusammengesetzter sekundärer Endpunkt
(Kardiovaskulärer Tod, nicht-tödlicher Myokardinfarkt, oder nicht-tödlicher Schlaganfall)

745 (10.2)

3.6

746 (10.2)

3.6

0.99 (0.89–1.10)

<0.001

Sekundäre Ereignisse

Kardiovaskulärer Tod

380 (5.2)

1.7

366 (5.0)

1.7

1.03 (0.89-1.19)

0.711

Alle Myokardinfarkte (tödlich und nicht-tödlich)

300 (4.1)

1.4

316 (4.3)

1.5

0.95 (0.81–1.11)

0.487

Alle Schlaganfälle (tödlich und nicht-tödlich)

178 (2.4)

0.8

183 (2.5)

0.9

0.97 (0.79–1.19)

0.760

Hospitalisierung wegen instabiler Angina pectoris

116 (1.6)

0.5

129 (1.8)

0.6

0.90 (0.70–1.16)

0.419

Tod jeglicher Ursache

547 (7.5)

2.5

537 (7.3)

2.5

1.01 (0.90–1.14)

0.875

Hospitalisierung wegen Herzinsuffizienz‡

228 (3.1)

1.1

229 (3.1)

1.1

1.00 (0.83–1.20)

0.983

* Inzidenz-Rate pro 100 Patientenjahre wurde berechnet als 100 × (totale Anzahl Patienten mit ≥1 Ereignis während der entscheidenden Expositionsperiode pro Total der Patientenjahre der Beobachtung).
† Basierend auf dem Cox-Modell stratifiziert nach Region. Für zusammengesetzte Endpunkte, entsprechen die p-Werte einem Nicht-Unterlegenheits-Test, mit dem Ziel zu zeigen, dass die Hazard Ratio kleiner ist als 1.3. Für alle anderen Endpunkte, entsprechen die p-Werte einem Test der Differenzen der Hazard Rates.
‡ Die Analyse der Hospitalisierung wegen Herzinsuffizienz wurde angepasst für Vorgeschichte von Herzinsuffizienz bei Studieneintritt.
Sitagliptin Add-on-Therapie bei pädiatrischen Patienten, die mit Metformin mit oder ohne Insulin inadäquat kontrolliert sind
Insgesamt nahmen 220 pädiatrische Patienten im Alter von 10 bis 17 Jahren mit Diabetes Typ 2 und inadäquater glykämischer Kontrolle mit Metformin mit oder ohne Insulin an zwei randomisierten, doppelblinden, placebokontrollierten, Parallelgruppenstudien über 54 Wochen teil. Die zusätzliche Gabe von Sitagliptin 100 mg (verabreicht als Sitagliptin + Metformin oder Sitagliptin + Metformin mit verzögerter Wirkstofffreisetzung (XR)) wurde mit der zusätzlichen Gabe von Placebo zu Metformin oder Metformin XR verglichen.
Obwohl für Sitagliptin + Metformin / Sitagliptin + Metformin XR im Vergleich zu Metformin in einer gepoolten Analyse dieser beiden Studien in Woche 20 eine Überlegenheit hinsichtlich der Senkung des HbA1c-Wertes gezeigt werden konnte, waren die Ergebnisse der einzelnen Studien inkonsistent. Darüber hinaus wurde eine erhöhte Wirksamkeit von Sitagliptin + Metformin bzw. Sitagliptin + Metformin XR im Vergleich zu Metformin in Woche 54 nicht beobachtet. Daher soll Sitagliptin Metformin Spirig HC bei pädiatrischen Patienten zwischen 10 und 17 Jahren aufgrund der unzureichenden Wirksamkeit nicht angewendet werden
In klinischen Studien mit Sitagliptin bei pädiatrischen Patienten mit Typ-2-Diabetes mellitus im Alter von 10 bis 17 Jahren war das Profil der unerwünschten Wirkungen im Allgemeinen mit dem bei Erwachsenen beobachteten vergleichbar. Bei pädiatrischen Patienten, die mit oder ohne Basalinsulin behandelt wurden, war Sitagliptin mit einem erhöhten Risiko für Hypoglykämien verbunden.

Pharmakokinetik

Sitagliptin und Metformin
Die Resultate einer Bioäquivalenzstudie bei gesunden Probanden zeigte, dass die Kombinationstabletten Sitagliptinphosphat/Metforminhydrochlorid 50 mg/500 mg und 50 mg/1000 mg bioäquivalent sind mit der gleichzeitigen Einnahme der entsprechenden Dosen Sitagliptinphosphat und Metforminhydrochlorid als separate Tabletten.
Absorption
Sitagliptinphosphat
Die absolute Bioverfügbarkeit von Sitagliptin beträgt ca. 87%. Die gleichzeitige Verabreichung einer fettreichen Mahlzeit zusammen mit Sitagliptinphosphat hatte keinen Einfluss auf die Pharmakokinetik von Sitagliptin.
Metforminhydrochlorid
Die absolute Bioverfügbarkeit einer 500 mg Metforminhydrochlorid-Tablette, welche nüchtern verabreicht wurde, beträgt ca. 50-60%. Studien mit oralen Einzeldosierungen von Metforminhydrochlorid-Tabletten (500 mg bis 1500 mg und 850 mg bis 2550 mg) zeigen, dass mit steigender Dosis die Bioverfügbarkeit nicht proportional zunimmt. Dies dürfte eher auf eine geringere Absorption als auf eine veränderte Elimination zurückzuführen sein. Nahrungsaufnahme vermindert und verzögert die Absorption von Metformin leicht. Dies konnte anhand von 850 mg Einzeldosis-Tabletten Metformin, die zusammen mit Mahlzeiten eingenommen wurden, im Vergleich zu derselben Dosierung ohne Mahlzeit bestätigt werden: die durchschnittliche maximale Plasmakonzentration (Cmax) war 40% tiefer, die Fläche unter der Kurve der Plasmakonzentration versus Zeit (AUC) war 25% geringer und die Zeit bis zur maximalen Plasmakonzentration (Tmax) war 35 Minuten verzögert. Die klinische Relevanz dieser Veränderungen ist nicht bekannt.
Distribution
Sitagliptinphosphat
Das durchschnittliche Verteilungsvolumen im Steady-State-Zustand nach einer einzelnen, intravenösen 100-mg Dosis Sitagliptin bei gesunden Probanden beträgt ca. 198 Liter. Die reversibel an Plasmaproteine gebundene Sitagliptin-Fraktion ist gering (38%).
Metforminhydrochlorid
Das apparente Verteilungsvolumen (V/F) von Metformin nach Einnahme oraler Einzeldosen von 850 mg Metforminhydrochlorid war durchschnittlich 654 ± 358 l. Metformin wird im Gegensatz zu den Sulfonylharnstoffen, die zu mehr als 90% an Plasmaproteine gebunden sind, kaum an Plasmaproteine gebunden. Metformin verteilt sich in den Erythrozyten, vermutlich in Funktion der Zeit. Bei normalen klinischen Dosen und Dosierschemata mit den Metforminhydrochlorid-Tabletten werden die Steady-State-Plasmakonzentrationen von Metformin innerhalb von 24-48 Stunden erreicht und diese sind normalerweise <1 µg/ml. Bei kontrollierten klinischen Studien mit Metformin waren die maximalen Metformin-Plasmaspiegel selbst bei Maximaldosierungen nie höher als 5 µg/ml.
Metabolismus
Sitagliptinphosphat
Sitagliptin wird in erster Linie unverändert im Urin ausgeschieden und nur zu einem geringen Teil metabolisiert. Ca. 79% des Sitagliptin wird unverändert im Urin ausgeschieden.
Nach einer oral eingenommenen [14C]-Sitagliptin Dosis wurde ca. 16% der Radioaktivität in Form von Sitagliptin-Metaboliten ausgeschieden. Sechs Metaboliten wurden als Spuren detektiert und es wird nicht angenommen, dass diese zur Plasma-DPP-4-Inhibitor-Aktivität des Sitagliptin beitragen. Durch in vitro Studien konnte gezeigt werden, dass CYP3A4, mit Beteiligung von CYP2C8, das wichtigste Enzym für den begrenzten Metabolismus von Sitagliptin ist.
Metforminhydrochlorid
Studien mit intravenösen Einzeldosen an gesunden Probanden zeigen, dass Metformin unverändert im Urin ausgeschieden wird, in der Leber nicht metabolisiert (beim Menschen wurden keine Metaboliten gefunden) und biliär nicht ausgeschieden wird.
Elimination
Sitagliptinphosphat
Nach Gabe einer oralen [14C]-Sitagliptin Dosis an gesunde Probanden wurde annähernd 100% der verabreichten Radioaktivität im Faeces (13%) oder Urin (87%) innerhalb einer Woche ausgeschieden. Die apparente terminale Halbwertszeit t½ nach einer oral verabreichten 100 mg Dosis Sitagliptin betrug ca. 12.4 Stunden und die renale Clearance betrug ca. 350 ml/min.
Die Eliminierung von Sitagliptin geschieht hauptsächlich durch die Nieren und involviert aktive tubuläre Sekretion. Sitagliptin ist ein Substrat für den organischen Anionentransporter-3 des Menschen (hOAT-3), der bei der renalen Eliminierung von Sitagliptin beteiligt sein dürfte. Die klinische Relevanz von hOAT-3 für den Sitagliptin- Transport konnte noch nicht gezeigt werden. Sitagliptin ist ebenfalls ein Substrat für p-Glykoprotein, das auch bei der Vermittlung der renalen Eliminierung von Sitagliptin beteiligt sein könnte. Cyclosporin, ein p-Glykoprotein-Inhibitor, konnte jedoch die renale Clearance von Sitagliptin nicht reduzieren.
Metforminhydrochlorid
Die renale Clearance ist ca. 3.5 mal grösser als die Kreatinin-Clearance, was darauf schliessen lässt, dass die tubuläre Sekretion den wichtigsten Weg der Metformin-Eliminierung darstellt. Nach oraler Verabreichung wird ca. 90% des absorbierten Arzneimittels innerhalb der ersten 24 Stunden via Niere ausgeschieden, wobei die Eliminierungshalbwertszeit im Plasma ca. 6.2 Stunden beträgt. Im Blut beträgt die Eliminierungshalbwertszeit ca. 17.6 Stunden, was darauf schliessen lässt, dass die Erythrozytenmasse ein Verteilungsraum sein könnte.
Nierenfunktionsstörung
Sitagliptinphosphat
Bei Patienten mit mittelschwerer Nierenfunktionsstörung mit eGFR von 30 bis <45 ml/min/1.73 m2 wurde eine ca. 2-fache Erhöhung der Plasma-AUC von Sitagliptin beobachtet, und bei Patienten mit schwerer Nierenfunktionsstörung (eGFR <30 ml/min/1.73 m2), einschliesslich Patienten mit terminaler Niereninsuffizienz (end-stage renal disease, ESRD) unter Hämodialyse, wurde eine ca. 4-fache Erhöhung im Vergleich zu Probanden mit normaler Nierenfunktion beobachtet.
Metforminhydrochlorid
Bei Patienten mit verminderter Nierenfunktion ist die Halbwertszeit von Metformin im Plasma und im Blut verlängert und die renale Clearance verringert (siehe KONTRAINDIKATIONEN und WARNHINWEISE UND VORSICHTSMASSNAHMEN).
Leberfunktionsstörung
Sitagliptinphosphat
Nach Verabreichung einer einzelnen 100 mg Dosis Sitagliptin stiegen bei Patienten mit mittelschwerer Leberfunktionsstörung (Child-Pugh Score 7 bis 9) die durchschnittlichen AUC und Cmax von Sitagliptin ca. 21% bzw. 13%, im Vergleich zur gesunden Kontrollgruppe. Diese Unterschiede werden als klinisch nicht von Bedeutung erachtet.
Es gibt keine klinischen Daten für Patienten mit schwerer Leberfunktionsstörung (Child-Pugh Score >9). Da jedoch Sitagliptin vor allem durch die Niere ausgeschieden wird, dürfte eine schwere Leberfunktionsstörung die Pharmakokinetik von Sitagliptin kaum beeinflussen.
Metforminhydrochlorid
Für Patienten mit Leberfunktionsstörung gibt es keine pharmakokinetischen Studien mit Metformin.
Anwendung bei älteren Personen
Sitagliptinphosphat
Gemäss einer populations-pharmakokinetischen Analyse von Phase I- und Phase II-Daten, hat das Alter keine klinisch signifikanten Auswirkungen auf die Pharmakokinetik von Sitagliptin. Ältere Personen (65 bis 80 Jahre) hatten im Vergleich zu jüngeren Personen ca. 19% höhere Sitagliptin-Plasmakonzentrationen.
Metforminhydrochlorid
Es existieren nur wenige Daten aus kontrollierten pharmakokinetischen Studien über Metformin bei gesunden älteren Personen. Diese deuten darauf hin, dass bei gesunden älteren Personen im Vergleich zu jungen gesunden Probanden die Gesamtplasma-Clearance von Metformin erniedrigt, die Halbwertszeit verlängert und Cmax erhöht ist.
Diese Daten lassen vermuten, dass die Veränderung der Pharmakokinetik von Metformin mit zunehmendem Alter primär auf die Veränderung der Nierenfunktion zurückzuführen ist (siehe GLUCOPHAGE1 Fachinformation).
1 GLUCOPHAGE® ist eine registrierte Marke der Merck Sante S.A.S, Partnergesellschaft der Merck KGaA in Darmstadt, Deutschland.
Verwendung bei Kindern und Jugendlichen
Die Pharmakokinetik von Sitagliptin (Einzeldosis von 50 mg, 100 mg oder 200 mg) wurde bei pädiatrischen Patienten (10 bis 17 Jahre alt) mit Diabetes Typ 2 untersucht. In dieser Population war die dosisangepasste AUC von Sitagliptin im Plasma um ca. 18% niedriger als bei erwachsenen Patienten mit Diabetes Typ 2 bei einer Dosis von 100 mg.
Es wurden keine Studien mit Sitagliptin bei pädiatrischen Patienten < 10 Jahre alt durchgeführt.
Geschlecht
Sitagliptinphosphat
Gemäss einer Analyse pharmakokinetischer Phase I-Daten und einer populationspharmakokinetischen Analyse von Phase I- und Phase II-Daten hat das Geschlecht keine klinisch signifikante Auswirkung auf die Pharmakokinetik von Sitagliptin.
Metforminhydrochlorid
Die pharmakokinetischen Parameter von Metformin von gesunden Probanden und Patienten mit Diabetes Typ 2 unterschieden sich nicht wesentlich, wenn sie entsprechend dem Geschlecht analysiert wurden. Desgleichen konnte in kontrollierten klinischen Studien bei Patienten mit Diabetes Typ 2 gezeigt werden, dass die antihyperglykämische Wirkung von Metformin bei Männern und Frauen ähnlich war.
Rasse
Sitagliptinphosphat
Gemäss einer Analyse pharmakokinetischer Phase I-Daten und einer populationspharmakokinetischen Analyse von Phase I- und Phase II-Daten, unter Einschluss von Weissen, Lateinamerikanern, Schwarzen, Asiaten und Angehörigen anderer Rassen, hat die Rasse keine klinisch signifikante Auswirkung auf die Pharmakokinetik von Sitagliptin.
Metforminhydrochlorid
Es existieren keine Studien über die pharmakokinetischen Parameter von Metformin entsprechend der Rasse. In kontrollierten klinischen Studien mit Metformin bei Patienten mit Diabetes Typ 2, erwies sich die antihyperglykämische Wirkung bei Weissen (n=249), Schwarzen (n=51) und Lateinamerikanern (n=24) als vergleichbar.
Body-Mass-Index (BMI)
Sitagliptinphosphat
Gemäss einer Analyse pharmakokinetischer Phase I-Daten und einer populationspharmakokinetischen Analyse von Phase I- und Phase II-Daten hat der Body-Mass-Index keine klinisch signifikante Auswirkung auf die Pharmakokinetik von Sitagliptin.

Präklinische Daten

Sitagliptin und Metformin
Mit Sitagliptin und Metformin als Kombinationspräparat wurden präklinische toxikokinetische und orale Toxizitätsstudien bei Hunden durchgeführt.
In einer 16-Wochen oralen Toxizitätsstudie wurde weiblichen Hunden 20mg/kg/Tag Metformin allein oder in Kombination mit 2, 10 oder 50mg/kg/Tag Sitagliptin verabreicht. Transiente Ataxie und/oder Tremor wurde in der Hochdosisgruppe beobachtet. Diese Anzeichen wurden als sitagliptinbedingt beurteilt, da sie in anderen Studien bei Hunden mit Sitagliptin allein bei 50 mg/kg/Tag beobachtet wurden. Der no-effect level für die behandlungsbedingten Veränderungen lag in dieser Studie bei 10 mg/kg/Tag Sitagliptin und 20 mg/kg/Tag Metformin, was etwa einer 6fachen systemischen Exposition einer Tagesdosis von 100 mg Sitagliptin sowie einer 2.5fachen systemischen Exposition einer Tagesdosis von 2000 mg Metformin beim Menschen entspricht.
Es wurden keine präklinischen Studien zur Kanzerogenität, Mutagenität, Beeinträchtigung der Fertilität oder Effekte auf die Reproduktion mit dem Kombinationsprodukt Sitagliptin und Metformin durchgeführt. Die folgenden Daten sind die Ergebnisse von separaten Studien mit Sitagliptin bzw. Metformin allein.
Sitagliptin
In nicht-klinischen Studien mit Ratten wurden Wirkungen von Sitagliptin nur bei Expositionen beobachtet, die weit über der Humandosis lagen, sodass sie für die normale Verwendung beim Menschen nicht in Betracht gezogen werden müssen. In präklinischen Sicherheitsstudien erwies sich Sitagliptin weder als genotoxisch noch als mutagen.
In einer Serie von Toxizitätsstudien mit wiederholter Gabe des Arzneimittels an Hunde, wurden Dosen von 2, 10 und 50 mg/kg/Tag während bis zu 53 Wochen untersucht. Nach 53 Wochen Behandlung mit einer Dosis von 10 mg/kg/Tag, was etwa dem 6-fachen der empfohlenen Dosis für den erwachsenen Menschen von 100 mg/Tag entspricht, wurden keine Effekte festgestellt. Bei Hunden, die mit 50 mg/kg/Tag Sitagliptin (ca. das 26-fache der Humanexposition) behandelt worden waren, traten im Zusammenhang mit der Therapie vorübergehend körperliche Symptome auf, beispielsweise Atmen mit geöffnetem Mund, Speichelfluss, weisslich- schaumartiges Erbrechen, Ataxia, Zittern, verringerte Aktivität und/oder gekrümmte Körperhaltung. Bei den 14- und 27-wöchigen Toxizitätsstudien mit einer Dosis von 50 mg/kg/Tag war zudem histologisch eine sehr schwache bis leichte Degeneration der Skelettmuskeln beobachtbar. In der 53-wöchigen Toxizitätsstudie wurde jedoch keine Degeneration der Skelettmuskeln mehr festgestellt, was darauf hindeutet, dass dies eine nicht reproduzierbare Wirkung war, oder dass diese Veränderung bei längerer Dauer der Behandlung nicht mehr auftrat. Die systemische Exposition im NOEL Bereich war in der 53-Wochenstudie (10 mg/kg/Tag) um den Faktor 5 höher als in der 27-Wochenstudie (2 mg/kg/Tag).
Weitere 3-monatige orale Toxizitätsstudien wurden bei Rhesus- und Cynomolgus-Affen durchgeführt. Die 3-Monatsstudie bei Rhesusaffen untersuchte das Potential von Sitagliptin für Hautläsionen oder Nierentoxizität, die Beurteilung beschränkte sich auf Haut und Niere. Die Tiere erhielten bis zu 100 mg Sitagliptin/kg/Tag (das 28fache der systemischen Exposition einer 100 mg Tagesdosis). Es gab keine behandlungsbedingten antemortem und postmortem Befunde.
In der 3-monatigen oralen Toxizitätsstudie bei Cynomolgus-Affen wurden die vollständigen Routineevaluationen durchgeführt. Die Tiere erhielten bis zu 100 mg Sitagliptin/kg/Tag (das 27fache der systemischen Exposition einer 100 mg Tagesdosis). Es gab keine behandlungsbedingten antemortem und postmortem Befunde.
Sitagliptin erwies sich bei Mäusen als nicht karzinogen, wenn 2 Jahre lang die maximal verträgliche Dosis von 500 mg/kg/Tag oral verabreicht wurde. Eine zweijährige Karzinogenitätsstudie wurde mit männlichen und weiblichen Ratten durchgeführt, denen orale Dosen von 50, 150, und 500 mg/kg/Tag Sitagliptin verabreicht wurde. Es wurde ein vermehrtes Auftreten von Leberzelladenomen und Karzinomen bei den männlichen Ratten mit hoher Dosis sowie von Leberkarzinomen bei den weiblichen Ratten mit hoher Dosis beobachtet. Basierend auf der empfohlenen täglichen Humandosis von 100 mg/Tag entsprach diese Dosis bei Ratten ca. dem 58-fachen der Humanexposition. Diese Dosis war bei den Rattenversuchen mit Hepatotoxizität assoziiert. Der No-observed-Effect-Level für die Induktion einer hepatischen Neoplasie betrug 150 mg/kg/Tag, das heisst, ca. das 19-fache der Humanexposition bei der empfohlenen 100 mg Dosis. Da gezeigt werden konnte, dass die Hepatotoxizität mit der Induktion einer hepatischen Neoplasie bei Ratten korreliert, ist anzunehmen, dass die grössere Häufigkeit von Lebertumoren bei Ratten die Folge der chronischen hepatischen Toxizität bei dieser hohen Dosis war. Die klinische Signifikanz dieses Befundes für den Menschen ist nicht bekannt.
Es wurden keine negativen Auswirkungen auf die Fruchtbarkeit von männlichen und weiblichen Ratten beobachtet, denen Sitagliptin vor oder während der Paarung oral mit Dosen von bis zu 1000 mg/kg/Tag verabreicht wurde (entsprechend ca. dem 100-fachen der Humanexposition, basierend auf der empfohlenen täglichen Dosis von 100 mg/Tag für den erwachsenen Menschen).
Reproduktionstoxikologische Studien an Ratten, die mit oralen Dosen von 1000 mg/kg/Tag behandelt wurden, ergaben im Zusammenhang mit der Behandlung eine leicht gestiegene Häufigkeit foetaler Rippenmissbildungen (fehlende Rippen, Hypoplasie und verbogene Rippen) in der Nachkommenschaft. Der No-observed-Effect-Level für Entwicklungsstörungen betrug 250 mg/kg/Tag (entsprechend dem 32fachen der Humanexposition, basierend auf der empfohlenen täglichen Dosis von 100 mg/Tag für den erwachsenen Menschen). Sitagliptin wird in der Milch laktierender Ratten ausgeschieden.
Es wurden keine Studien mit Sitagliptin, Metformin und Sulfonylharnstoff durchgeführt.
Metforminhydrochlorid
Präklinische Daten aus konventionellen Studien der Sicherheitspharmakologie, Toxizitätsstudien mit wiederholter Gabe des Arzneimittels sowie Studien der Genotoxizität, des karzinogenen Potenzials und der Reproduktionstoxizität zeigen, dass durch die Einnahme von Metformin keine speziellen Gefahren für Menschen entstehen.

Sonstige Hinweise

Haltbarkeit
Das Arzneimittel darf nur bis zu dem auf der Packung mit «EXP» bezeichneten Datum verwendet werden.
Haltbarkeit nach Anbruch
HDPE-Flaschen: Nach dem Öffnen 6 Monate haltbar.
Besondere Lagerungshinweise
Nicht über 30 °C lagern, in der Originalverpackung und ausser Reichweite von Kindern aufbewahren.

Zulassungsnummer

68396 (Swissmedic).

Packungen

Sitagliptin Metformin Spirig HC 50 mg/500 mg: Blisterpackungen zu 56 und 196 Filmtabletten (B);
Sitagliptin Metformin Spirig HC 50 mg/850 mg: Blisterpackungen zu 56 und 196 Filmtabletten (B);
Sitagliptin Metformin Spirig HC 50 mg/850 mg: HDPE-Flaschen zu 100 und 196 Filmtabletten (B);
Sitagliptin Metformin Spirig HC 50 mg/1000 mg: Blisterpackungen zu 56 und 196 Filmtabletten (B);
Sitagliptin Metformin Spirig HC 50 mg/1000 mg: HDPE-Flaschen zu 100 und 196 Filmtabletten (B).

Zulassungsinhaberin

Spirig HealthCare AG, 4622 Egerkingen

Stand der Information

November 2023.

2025 ©ywesee GmbH
Hilfe | Anmeldung | Kontakt | Home