ZusammensetzungWirkstoffe
Bimekizumab, aus gentechnisch veränderten CHO (Chinese Hamster Ovary)-Zellen hergestellt.
Hilfsstoffe
Glycin, Natriumacetat-Trihydrat (E 262), Eisessig, Polysorbat 80, Wasser für Injektionszwecke benötigt für ein Volumen von 1 ml.
Jeder Fertigpen (1 ml) enthält 0,45 mg Natrium.
Jede Fertigspritze (1 ml) enthält 0,45 mg Natrium.
Indikationen/AnwendungsmöglichkeitenBimzelx wird angewendet zur Behandlung erwachsener Patienten mit mittelschwerer bis schwerer Plaque-Psoriasis, die für eine systemische Therapie infrage kommen.
Dosierung/AnwendungBimzelx ist zur Anwendung unter Anleitung und Überwachung eines in der Diagnose und Behandlung der Plaque-Psoriasis erfahrenen Arztes vorgesehen.
Um die Rückverfolgbarkeit von biotechnologisch hergestellten Arzneimitteln sicherzustellen, wird empfohlen, Handelsname und Chargennummer bei jeder Behandlung zu dokumentieren.
Die empfohlene Dosis Bimzelx für erwachsene Patienten mit Plaque-Psoriasis beträgt 320 mg (verabreicht als 2 subkutane Injektionen zu jeweils 160 mg) in Woche 0, 4, 8, 12, 16 und danach alle 8 Wochen. Bei Patienten, bei denen sich nach 16 Wochen der Behandlung keine Besserung zeigt, ist ein Absetzen der Behandlung in Erwägung zu ziehen.
Spezielle Dosierungsanweisungen
Übergewichtige Patienten
Bei einigen Patienten mit einem Körpergewicht ≥120 kg, die bis Woche 16 keine vollständige Symptomfreiheit der Haut erreicht haben, könnten 320 mg alle 4 Wochen nach Woche 16 das Ansprechen auf die Behandlung weiter verbessern (siehe Klinische Wirksamkeit).
Patienten mit Leberfunktionsstörungen
Bimzelx wurde in dieser Patientengruppe nicht untersucht. Auf Grundlage der Pharmakokinetik werden Dosisanpassungen nicht als notwendig erachtet (siehe Pharmakokinetik).
Patienten mit Nierenfunktionsstörungen
Bimzelx wurde in dieser Patientengruppe nicht untersucht. Auf Grundlage der Pharmakokinetik werden Dosisanpassungen nicht als notwendig erachtet (siehe Pharmakokinetik).
Ältere Patienten
Eine Dosisanpassung ist nicht erforderlich (siehe Pharmakokinetik).
Kinder und Jugendliche
Die Sicherheit und Wirksamkeit von Bimzelx bei Kindern und Jugendlichen unter 18 Jahren ist nicht gezeigt. Es liegen keine Daten vor.
Art der Anwendung
Bimzelx wird als subkutane Injektion verabreicht.
Geeignete Injektionsstellen sind Oberschenkel, Abdomen und Oberarm. Es ist auf einen Wechsel der Injektionsstellen zu achten. Injektionen sollten nicht in Psoriasisplaques oder Bereiche erfolgen, in denen die Haut empfindlich, geschädigt, erythematös oder verhärtet ist.
Nach einer entsprechenden Einweisung in die subkutane Injektionstechnik können sich Patienten Bimzelx selbst injizieren, falls ihr Arzt dies für angemessen hält, und mit ärztlicher Nachsorge nach Bedarf. Die Patienten sind anzuweisen, die gesamte Menge Bimzelx gemäss den Hinweisen für die Handhabung in der Packungsbeilage zu injizieren (siehe Patienteninformation).
KontraindikationenÜberempfindlichkeit gegenüber dem Wirkstoff oder einem der Hilfsstoffe gemäss Zusammensetzung.
Klinisch relevante aktive Infektionen (z.B. aktive Tuberkulose)
Warnhinweise und VorsichtsmassnahmenInfektionen
Bimzelx kann das Risiko von Infektionen, wie Infektionen der oberen Atemwege und oraler Candidose, erhöhen (siehe Unerwünschte Wirkungen).
Bei Patienten mit einer chronischen Infektion oder einer rezidivierenden Infektion in der Anamnese sollte Bimzelx mit Vorsicht angewendet werden. Bei Patienten mit einer klinisch relevanten aktiven Infektion (insbesondere HIV-, HBV- oder HCV-Infektionen) sollte die Behandlung mit Bimekizumab nicht eingeleitet werden, bis die Infektion abgeklungen ist oder angemessen behandelt wird. Mit Bimzelx behandelte Patienten sind anzuweisen, ärztlichen Rat einzuholen, wenn Anzeichen oder Symptome einer klinisch bedeutsamen chronischen oder akuten Infektion auftreten. Wenn ein Patient eine klinisch bedeutsame Infektion entwickelt oder auf eine Standardtherapie für die Infektion nicht anspricht, ist der Patient engmaschig zu überwachen und Bimzelx sollte bis zum Abklingen der Infektion nicht verabreicht werden.
Untersuchung auf Tuberkulose (TB) vor Behandlungsbeginn
In den klinischen Studien entwickelten Patienten mit latenter TB, die Bimzelx und eine Anti-TB-Therapie erhielten, keine aktive TB. Vor Beginn der Behandlung mit Bimzelx sind die Patienten auf eine TB-Infektion zu untersuchen. Bimzelx darf nicht bei Patienten mit aktiver TB angewendet werden. Patienten, die Bimzelx erhalten, müssen auf Anzeichen und Symptome einer aktiven TB überwacht werden. Bei Patienten mit latenter oder aktiver TB in der Vorgeschichte, bei denen nicht bestätigt werden kann, dass sie eine adäquate Behandlung erhalten haben, sollte vor Beginn der Behandlung mit Bimzelx eine Anti-TB-Therapie in Erwägung gezogen werden.
Maligne Erkrankungen
In klinischen Studien bis zu einem Jahr wurde bei der Behandlung mit Bimzelx kein erhöhtes Risiko für maligne Erkrankungen beobachtet. Resultate von Untersuchungen zur Langzeitsicherheit sind noch nicht verfügbar.
Da es sich bei Psoriasis-Patienten um eine Risikopopulation handelt, sollten Patienten vor und während der Behandlung mit Bimzelx auf das Vorliegen von Hauttumoren untersucht werden.
Entzündliche Darmerkrankungen
Fälle von neu aufgetretenen oder sich verschlechternden bestehenden entzündlichen Darmerkrankungen wurden unter Bimzelx berichtet. Bimzelx wird bei Patienten mit entzündlicher Darmerkrankung nicht empfohlen. Wenn ein Patient Anzeichen und Symptome einer entzündlichen Darmerkrankung entwickelt oder eine vorbestehende entzündliche Darmerkrankung sich verschlechtert, sollte Bimzelx abgesetzt werden und eine geeignete medizinische Behandlung eingeleitet werden.
Hypersensitivitätsreaktionen
Im Falle des Auftretens einer schwerwiegenden Überempfindlichkeitsreaktion muss die Anwendung von Bimzelx unverzüglich abgebrochen und eine geeignete Behandlung eingeleitet werden.
Impfungen
Vor Einleitung einer Therapie mit Bimzelx wird die Durchführung aller altersgemässen Impfungen in Übereinstimmung mit den aktuellen Impfempfehlungen empfohlen. Patienten, die mit Bimzelx behandelt werden, dürfen keine Lebendimpfstoffe erhalten. Patienten, die mit Bimzelx behandelt werden, können inaktivierte oder Totimpfstoffe erhalten. Gesunde Personen, die zwei Wochen vor der Impfung mit einem inaktivierten Impfstoff gegen saisonale Influenza eine Einzeldosis von 320 mg Bimzelx erhalten hatten, zeigten eine vergleichbare Antikörperantwort wie Personen, die vor der Impfung kein Bimzelx erhalten hatten.
Hilfsstoffe
Dieses Arzneimittel enthält weniger als 1 mmol Natrium (23 mg) pro Fertigpen, d.h. es ist nahezu «natriumfrei».
Dieses Arzneimittel enthält weniger als 1 mmol Natrium (23 mg) pro Fertigspritze, d.h. es ist nahezu «natriumfrei».
InteraktionenEs wurden keine Studien zur Erfassung von CYP450-Wechselwirkungen bei Menschen durchgeführt. Es gibt keine direkte Evidenz für die Bedeutung von IL-17A oder IL-17F bei der Expression von CYP450-Enzymen. Die Bildung einiger CYP450-Enzyme wird durch erhöhte Zytokinspiegel im Zuge chronischer Entzündungen unterdrückt. Daher können entzündungshemmende Behandlungen, etwa mit dem IL-17A- und IL-17F-Inhibitor Bimzelx, zu einer Normalisierung der CYP450-Spiegel und zu einer damit einhergehenden geringeren Exposition von CYP450-metabolisierten Begleitmedikationen führen. Daher kann eine klinisch relevante Wirkung auf CYP450-Substrate mit einer geringen therapeutischen Breite, bei denen die Dosis individuell angepasst wird (z.B. Warfarin), nicht ausgeschlossen werden. Bei Patienten, die mit dieser Art von Arzneimitteln behandelt werden, sollte zu Beginn einer Bimzelx-Therapie eine therapeutische Überwachung in Betracht gezogen werden.
Schwangerschaft, StillzeitSchwangerschaft
Bisher liegen nur begrenzte Erfahrungen mit der Anwendung von Bimzelx bei Schwangeren vor. Frauen im gebärfähigen Alter müssen während der Behandlung und für mindestens 17 Wochen nach der Behandlung eine zuverlässige Verhütungsmethode anwenden. Tierexperimentelle Studien ergaben keine Hinweise auf direkte oder indirekte gesundheitsschädliche Wirkungen in Bezug auf Schwangerschaft, embryonale/fötale Entwicklung, Geburt oder postnatale Entwicklung (siehe Präklinische Daten). Während der Schwangerschaft sollte Bimzelx nur angewendet werden, wenn der Nutzen für die Mutter klar das potentielle Risiko für den Fötus überwiegt.
Stillzeit
Es ist nicht bekannt, ob Bimzelx in die Muttermilch übergeht oder vom Säugling systemisch resorbiert wird. Die Vorteile des Stillens für die Entwicklung und Gesundheit, die klinische Notwendigkeit einer Behandlung mit Bimzelx für die Mutter, sowie mögliche negative Auswirkungen auf das gestillte Kind durch Bimzelx oder die Grunderkrankung der Mutter sind bei der Entscheidung zu berücksichtigen.
Fertilität
Die Wirkung von Bimzelx auf die Fertilität des Menschen wurde nicht untersucht. Tierexperimentelle Studien weisen nicht auf direkte oder indirekte schädliche Wirkungen auf die Fertilität hin (siehe Präklinische Daten).
Wirkung auf die Fahrtüchtigkeit und auf das Bedienen von MaschinenDer Einfluss von Bimzelx auf die Fahrtüchtigkeit oder die Fähigkeit, Maschinen zu bedienen wurde nicht spezifisch untersucht.
Unerwünschte WirkungenZusammenfassung des Sicherheitsprofils
Klinische Studien
Übersicht
Insgesamt wurden 1'789 Patienten mit Plaque-Psoriasis in verblindeten und unverblindeten klinischen Studien mit Bimekizumab behandelt. Dies entspricht 1'830,4 Patientenjahren. Von diesen Patienten wurden mehr als 1'000 mindestens ein Jahr lang mit Bimekizumab behandelt.
Die am häufigsten berichteten unerwünschten Arzneimittelwirkungen (UAW) waren Infektionen der oberen Atemwege (am häufigsten Nasopharyngitis) und orale Candidose.
Liste der unerwünschten Wirkungen
Die unerwünschten Wirkungen von Bimekizumab sind nach MedDRA-Systemorganklassen und Häufigkeit gemäss folgender Konvention geordnet:
«sehr häufig» (≥1/10)
«häufig» (≥1/100, <1/10),
«gelegentlich» (≥/1'000, <1/100)
«selten» (≥1/10'000, <1/1'000)
«sehr selten» (<1/10'000)
«nicht bekannt» (kann aus den verfügbaren Daten nicht abgeschätzt werden)
Tabelle 1: Liste der Nebenwirkungen in klinischen Studien
|
Systemorganklasse
|
Häufigkeit
|
Nebenwirkung
| |
Infektionen und parasitäre Erkrankungen
|
Sehr häufig (14.5%)
|
Infektionen der oberen Atemwege
| |
Häufig
|
Orale Candidose, Tinea-Infektionen, Infektionen des Ohrs, Herpes-simplex-Infektionen, oropharyngeale Candidose, Gastroenteritis, Follikulitis
| |
Gelegentlich
|
Konjunktivitis
| |
Erkrankungen des Blutes und des Lymphsystems
|
Gelegentlich
|
Neutropenie
| |
Erkrankungen des Nervensystems
|
Häufig
|
Kopfschmerzen
| |
Erkrankungen der Haut und des Unterhautgewebes
|
Häufig
|
Dermatitis und Ekzem, Akne
| |
Allgemeine Erkrankungen und Beschwerden am Verabreichungsort
|
Häufig
|
Reaktionen an der Injektionsstellea, Müdigkeit
| |
a)
Umfasst: Erythem, Reaktionen, Ödeme, Schmerzen und Schwellungen an der Injektionsstelle.
|
Beschreibung spezifischer unerwünschter Wirkungen und Zusatzinformationen
Infektionen
Im placebokontrollierten Zeitraum der klinischen Phase-III-Studien zur Plaque-Psoriasis wurden bei 36,0 % der Patienten, die bis zu 16 Wochen mit Bimekizumab behandelt worden waren, im Vergleich zu 22,5 % der mit Placebo behandelten Patienten Infektionen berichtet. Bei den meisten Infektionen handelte es sich um nicht schwerwiegende, leicht bis mittelschwer verlaufende Infektionen der oberen Atemwege wie Nasopharyngitis. Schwerwiegende Infektionen traten bei 0,3 % der mit Bimekizumab und 0 % der mit Placebo behandelten Patienten auf. Die mit Bimekizumab behandelten Patienten wiesen entsprechend dem Wirkmechanismus höhere Raten von oralen und oropharyngealen Candidosen auf (7,3 % bzw. 1,2 % im Vergleich zu 0 % bei den mit Placebo behandelten Patienten). Die meisten Fälle waren nicht schwerwiegend, verliefen leicht oder mittelschwer und erforderten kein Absetzen der Behandlung.
Über den gesamten Behandlungszeitraum der Phase-III-Studien zur Plaque-Psoriasis wurden bei 63,2 % der mit Bimekizumab behandelten Patienten Infektionen berichtet (120,4 pro 100 Patientenjahre). Schwerwiegende Infektionen wurden bei 1,5 % der mit Bimekizumab behandelten Patienten gemeldet (1,6 pro 100 Patientenjahre) (siehe Warnhinweise und Vorsichtsmassnahmen).
Neutropenie
In klinischen Phase-III-Studien an Patienten mit Plaque-Psoriasis wurden unter Bimekizumab Neutropenien beobachtet. In dem 16-wöchigen placebokontrollierten Zeitraum wurden Neutropenien Grad 3/4 sowohl unter Bimekizumab als auch unter Placebo bei je 0,6 % der Patienten beobachtet. Über den gesamten Behandlungszeitraum der Phase-III-Studien wurden bei 1 % der mit Bimekizumab behandelten Patienten Neutropenien Grad 3/4 beobachtet. Die meisten Fälle waren vorübergehend und erforderten keinen Behandlungsabbruch. Die Neutropenien gingen nicht mit schwerwiegenden Infektionen einher.
Immunogenität
Wie alle therapeutischen Proteine ist Bimekizumab potenziell immunogen. Der Nachweis einer Bildung von Anti-Wirkstoff-Antikörpern hängt in hohem Masse von der Sensitivität und Spezifität des verwendeten Assays ab. Zudem wird die beobachtete Inzidenz positiver Nachweise von Anti-Wirkstoff-Antikörpern (einschliesslich neutralisierender Antikörper) möglicherweise durch weitere Faktoren wie das Testverfahren, das Probenhandling, den Zeitpunkt der Probennahme, die Begleitmedikation oder die Grunderkrankung beeinflusst. Aus diesen Gründen kann ein Vergleich der Inzidenz von Antikörpern gegen Bimekizumab mit der Inzidenz von Antikörpern gegen andere Präparate irreführend sein.
Ungefähr 45 % der Plaque-Psoriasis-Patienten, die bis zu 56 Wochen mit Bimekizumab in der empfohlenen Dosierung (320 mg alle 4 Wochen bis Woche 16 und danach 320 mg alle 8 Wochen) behandelt wurden, entwickelten Antikörper gegen den Wirkstoff. Von den Patienten, die Anti-Wirkstoff-Antikörper entwickelten, hatten etwa 34 % (16 % aller mit Bimekizumab behandelten Patienten) Antikörper, die als neutralisierend klassifiziert wurden. Es wurden keine schlüssigen Veränderungen des klinischen Ansprechens oder Sicherheitsprofils im Zusammenhang mit der Entwicklung von Anti-Bimekizumab-Antikörpern beschrieben.
Hypersensitivitätsreaktionen:
Unter Behandlung mit IL-17-Inhibitoren wurden schwerwiegende Hypersensitivitätsreaktionen einschliesslich anaphylaktischer Reaktionen beobachtet.
Ältere Patienten (≥65 Jahre)
Für diese Altersgruppe liegen nur begrenzte Daten vor. Im placebokontrollierten Zeitraum der klinischen Phase-III-Studien an Patienten mit Plaque-Psoriasis wurde orale Candidose bei 18,2 % der Patienten ≥65 Jahre gegenüber 6,3 % bei Patienten < 65 Jahre beobachtet. Von Dermatitis und Ekzem waren 7,3 % der Patienten ≥65 Jahre gegenüber 2,8 % der Patienten < 65 Jahre betroffen.
Die Meldung des Verdachts auf Nebenwirkungen nach der Zulassung ist von grosser Wichtigkeit. Sie ermöglicht eine kontinuierliche Überwachung des Nutzen-Risiko-Verhältnisses des Arzneimittels. Angehörige von Gesundheitsberufen sind aufgefordert, jeden Verdacht einer neuen oder schwerwiegenden Nebenwirkung über das Online-Portal ElViS (Electronic Vigilance System) anzuzeigen. Informationen dazu finden Sie unter www.swissmedic.ch.
ÜberdosierungEinzeldosen von 640 mg intravenös oder 640 mg subkutan, gefolgt von 320 mg subkutan alle zwei Wochen für fünf Dosen, wurden in klinischen Studien ohne dosislimitierende Toxizität verabreicht. Im Falle einer Überdosierung wird empfohlen, den Patienten auf Anzeichen und Symptome von Nebenwirkungen zu überwachen und umgehend eine geeignete symptomatische Behandlung einzuleiten.
Eigenschaften/WirkungenATC-Code
L04AC21
Wirkungsmechanismus
Bimekizumab ist ein humanisierter monoklonaler IgG1/κ-Antikörper der selektiv und mit hoher Affinität an die IL-17A-, IL-17F- und IL-17AF-Zytokine bindet und so deren Interaktion mit dem IL-17RA/IL-17RC-Rezeptorkomplex blockiert. Erhöhte Konzentrationen von IL-17A und IL-17F wurden mit der Pathogenese von verschiedenen immunvermittelten entzündlichen Erkrankungen, einschliesslich Plaque Psoriasis in Verbindung verbracht. Bimekizumab hemmt diese proinflammatorischen Zytokine, was zu einer Normalisierung der entzündeten Haut und in der Folge zu einer Besserung der klinischen Symptome der Psoriasis führt. In In-vitro-Modellen zeigte Bimekizumab eine stärkere hemmende Wirkung auf die mit Psoriasis verbundene Genexpression und Zytokinproduktion im Vergleich zu einer alleinigen IL-17A vermittelten Hemmung.
Pharmakodynamik
Es wurden keine formalen Studien zur Pharmakodynamik von Bimekizumab durchgeführt.
Klinische Wirksamkeit
Die Sicherheit und Wirksamkeit von Bimekizumab wurde bei 1'480 Patienten mit mittelschwerer bis schwerer Plaque-Psoriasis in drei multizentrischen, randomisierten, Placebo- und/oder aktiv kontrollierten Phase-III-Studien beurteilt. Die Patienten waren mindestens 18 Jahre alt, hatten einen PASI (Psoriasis Area and Severity Index)-Score ≥12 und einen IGA (Investigators Global Assessment)-Score ≥3 auf einer 5-Punkte-Skala, mindestens 10 % ihrer Körperoberfläche war von Psoriasis betroffen (BSA [Body Surface Area]) ≥10 %) und sie waren Kandidaten für eine systemische Psoriasis-Therapie und/oder Phototherapie. Die Wirksamkeit und Sicherheit von Bimekizumab wurden gegenüber Placebo und Ustekinumab (BE VIVID – PS0009), gegenüber Placebo (BE READY – PS0013) und gegenüber Adalimumab (BE SURE – PS0008) beurteilt.
In der Studie BE VIVID wurden 567 Patienten über 52 Wochen untersucht. Die Patienten wurden auf Bimekizumab (320 mg alle 4 Wochen), Ustekinumab (je nach Gewicht des Patienten 45 mg oder 90 mg zu Baseline, in Woche 4 und dann alle 12 Wochen) oder Placebo für die ersten 16 Wochen, gefolgt von Bimekizumab (320 mg alle 4 Wochen) randomisiert.
In der Studie BE READY wurden 435 Patienten über 56 Wochen untersucht. Die Patienten wurden auf Bimekizumab 320 mg alle 4 Wochen oder Placebo randomisiert. In Woche 16 traten Patienten, die ein PASI-90-Ansprechen erreicht hatten, in die 40-wöchige randomisierte Absetz-Phase ein. Patienten, die anfänglich auf Bimekizumab 320 mg alle 4 Wochen randomisiert worden waren, wurden erneut randomisiert und erhielten dann Bimekizumab 320 mg alle 4 Wochen, Bimekizumab 320 mg alle 8 Wochen oder Placebo (d.h. Absetzen von Bimekizumab). Patienten, die anfänglich auf Placebo randomisiert worden waren, erhielten weiterhin Placebo, wenn sie PASI-90-Responder waren. Patienten, die in Woche 16 kein PASI-90-Ansprechen erreicht hatten, gingen in einen unverblindeten Escape-Arm über und erhielten Bimekizumab 320 mg alle 4 Wochen für 12 Wochen. Patienten mit Rezidiv (kein PASI-75-Ansprechen) während der randomisierten Absetz-Phase gingen ebenfalls in den 12-wöchigen Escape-Arm über.
Die Studie BE SURE untersuchte 478 Patienten über 56 Wochen. Die Patienten wurden auf Bimekizumab 320 mg alle 4 Wochen bis Woche 56, Bimekizumab 320 mg alle 4 Wochen bis Woche 16, gefolgt von Bimekizumab 320 mg alle 8 Wochen bis Woche 56, oder Adalimumab gemäss Zulassungsempfehlung bis Woche 24, gefolgt von Bimekizumab 320 mg alle 4 Wochen bis Woche 56, randomisiert.
Die Baseline-Charakteristika waren in allen 3 Studien ähnlich. Im Median waren 20 % der Körperoberfläche der Patienten von Psoriasis betroffen (BSA 20 %), der mediane PASI-Score lag bei 18 und anhand des IGA-Scores war die Erkrankung bei 33 % der Patienten als schwerwiegend einzustufen. Die medianen Baseline-Scores für Schmerzen, Juckreiz und Schuppung lagen gemäss Patienten-Symptom-Tagebuch (Patient Symptoms Diary, PSD) zwischen 6 und 7 auf einer Punkteskala von 0–10, und der mediane Gesamtscore des Dermatology Life Quality Index (DLQI) betrug bei Baseline 9.
In allen 3 Studien zusammen hatten 38 % der Patienten eine vorherige biologische Therapie erhalten, 23 % mindestens einen Anti-IL17-Wirkstoff und 13 % mindestens einen TNF-Antagonisten. 22 % hatten keinerlei systemische Therapie (nicht-biologische und biologische Wirkstoffe eingeschlossen) erhalten und 39 % der Patienten waren zuvor mit Phototherapie oder Photochemotherapie behandelt worden.
Die Wirksamkeit von Bimekizumab wurde bezüglich der Auswirkung auf die Hauterkrankung insgesamt, auf spezifische Körperstellen (Kopfhaut, Nägel, Handflächen und Fusssohlen), auf die von den Patienten berichteten Symptome und bezüglich der Auswirkungen auf die Lebensqualität bewertet. Die beiden co-primären Endpunkte in allen 3 Studien waren der Anteil der Patienten, die 1) ein PASI-90-Ansprechen und 2) ein IGA-Ansprechen «erscheinungsfrei oder fast erscheinungsfrei» (IGA 0/1 mit Verbesserung um mindestens zwei Skalenpunkte im Vergleich zu Baseline) in Woche 16 erreichten. Das PASI-100- und IGA-0-Ansprechen zu Woche 16 und das PASI-75-Ansprechen zu Woche 4 waren die wichtigsten sekundären Endpunkte in allen 3 Studien.
Hauterkrankung insgesamt
Die Behandlung mit Bimekizumab führte zu einer signifikanten Verbesserung aller Krankheitsaktivitätsparameter im Vergleich zu Placebo, Ustekinumab oder Adalimumab in Woche 16. Die wichtigsten Ergebnisse zur Wirksamkeit sind in Tabelle 2 zusammengefasst.
Tabelle 2: Zusammenfassung des klinischen Ansprechens in BE VIVID, BE READY und BE SURE
|
|
BE VIVID
|
BE READY
|
BE SURE
| |
|
Placebo (n = 83) n (%)
|
BKZ 320 mg Q4W (n = 321) n (%)
|
Ustekinumab (n = 163) n (%)
|
Placebo (n = 86) n (%)
|
BKZ 320 mg Q4W (n = 349) n (%)
|
BKZ 320 mg Q4W (n = 319) n (%)
|
Adalimumab (n = 159) n (%)
| |
PASI 100 Woche 16
|
0 (0,0)
|
188 (58,6)a
|
34 (20,9)
|
1 (1,2)
|
238 (68,2)a
|
194 (60,8)a
|
38 (23,9)
| |
PASI 90 Woche 16
|
4 (4,8)
|
273 (85,0)a, b
|
81 (49,7)
|
1 (1,2)
|
317 (90,8)a
|
275 (86,2)a
|
75 (47,2)
| |
PASI 75 Woche 4 Woche 16
|
2 (2,4) 6 (7,2)
|
247 (76,9)a, b 296 (92,2)
|
25 (15,3) 119 (73,0)
|
1 (1,2) 2 (2,3)
|
265 (75,9)a 333 (95,4)
|
244 (76,5)a 295 (92,5)
|
50 (31,4) 110 (69,2)
| |
IGA 0 Woche 16
|
0 (0,0)
|
188 (58,6)a
|
36 (22,1)
|
1 (1,2)
|
243 (69,6)a
|
-
|
-
| |
IGA 0/1 Woche 16
|
4 (4,8)
|
270 (84,1)a, b
|
87 (53,4)
|
1 (1,2)
|
323 (92,6)a
|
272 (85,3)a
|
91 (57,2)
| |
Absoluter PASI ≤2 Woche 16
|
3 (3,6)
|
273 (85,0)
|
84 (51,5)
|
1 (1,2)
|
315 (90,3)
|
280 (87,8)
|
86 (54,1)
| |
Schmerzen PSD (n) Woche 16
|
(n = 54) 9 (16,7)
|
(n = 229) 177 (77,3)a
|
(n = 107) 73 (68,2)
|
(n = 67) 6 (9,0)
|
(n = 255) 201 (78,8)a
|
-
|
-
| |
Juckreiz PSD (n) Woche 16
|
(n = 61) 8 (13,1)
|
(n = 244) 187 (76,6)a
|
(n = 117) 77 (65,8)
|
(n = 72) 4 (5,6)
|
(n = 278) 210 (75,5)a
|
-
|
-
| |
Schuppung PSD (n) Woche 16
|
(n = 63) 8 (12,7)
|
(n = 246) 193 (78,5)a
|
(n = 116) 69 (59,5)
|
(n = 70) 4 (5,7)
|
(n = 286) 223 (78,0)a
|
-
|
-
|
BKZ 320 mg Q4W = Bimekizumab alle 4 Wochen. Non-Responder-Imputation (NRI) wurde verwendet.
Ansprechen IGA 0/1 war definiert als erscheinungsfrei (0) oder fast erscheinungsfrei (1) mit einer Besserung um mindestens 2 Kategorien in Woche 16 gegenüber Baseline. Ansprechen IGA 0 war definiert als erscheinungsfrei (0) mit einer Besserung um mindestens 2 Kategorien in Woche 16 gegenüber Baseline.
PSD ist das Patienten-Symptom-Tagebuch (Patient Symptoms Diary). PSD-Ansprechen ist definiert als Veränderung von Baseline bis Woche 16 ≥ einen definierten Schwellenwert (1,98, 2,39 bzw. 2,86 für Schmerzen, Juckreiz und Schuppung).
a) p < 0,001 gegenüber Placebo (BE VIVID und BE READY), gegenüber Adalimumab (BE SURE), auf Multiplizität adjustiert.
b) p < 0,001 gegenüber Ustekinumab (BE VIVID), auf Multiplizität adjustiert.
Die Behandlung mit Bimekizumab war mit einem schnellen Wirkeintritt assoziiert. In der Studie BE VIVID waren die PASI-90-Ansprechraten in Woche 2 bzw. Woche 4 unter Bimekizumab (12,1 % bzw. 43,6 %) höher als unter Placebo (1,2 % bzw. 2,4 %) und Ustekinumab (1,2 % bzw. 3,1 %).
Abbildung 1: PASI-90-Ansprechraten im Zeitverlauf der Studie BE VIVID

BKZ = Bimekizumab, Uste = Ustekinumab; NRI wird verwendet.
Hinweis: Die Patienten aus der Gruppe Placebo/BKZ wechselten in der Erhaltungsbehandlungsphase ab Woche 16 von Placebo zu BKZ.
In der BE VIVID-Studie erreichten zu Woche 52, im Vergleich zu Ustekinumab, Patienten unter Bimekizumab höhere PASI-90- (81,6 % Bimekizumab gegenüber 55,8 % Ustekinumab, p < 0,001), IGA 0/1- (77,9 % Bimekizumab gegenüber 60,7 % Ustekinumab,p < 0,001) und PASI-100-Ansprechraten (64,2 % Bimekizumab gegenüber 38,0 % Ustekinumab).
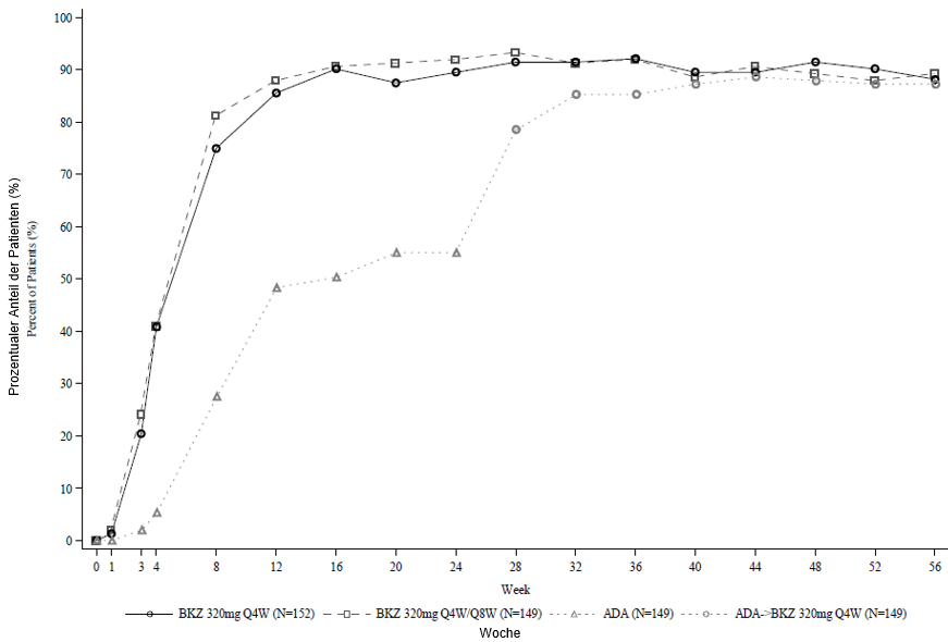
In der BE SURE-Studie erreichte zu Woche 24 ein höherer Prozentsatz der mit Bimekizumab behandelten Patienten ein PASI-90-Ansprechen und IGA0/1-Ansprechen im Vergleich zu Adalimumab (85,6 % bzw. 86,5 % gegenüber 51,6 % bzw. 57,9 %,p < 0,001). Unter den 65 Adalimumab-Non-Respondern in Woche 24 (< PASI 90) erreichten 78,5 % nach 16 Behandlungswochen mit Bimekizumab ein PASI-90-Ansprechen. Bei Patienten, die von Adalimumab auf Bimekizumab umgestellt wurden, ergaben sich keine neuen Befunde bezüglich der Sicherheit. In Woche 56 erreichten 70,2 % der mit Bimekizumab behandelten Patienten ein PASI-100-Ansprechen.
Abbildung 2: PASI-90-Ansprechraten im Zeitverlauf der Studie BE SURE

BKZ 320 mg Q4W = Bimekizumab alle 4 Wochen; BKZ 320 mg Q8W = Bimekizumab alle 8 Wochen; ADA = Adalimumab.
Hinweis: Enthalten sind nur Patienten, die in Woche 24 oder später Bimekizumab erhielten. Patienten aus der Gruppe BKZ Q4W/Q8W wechselten in Woche 16 von einer Q4W- zu einer Q8W-Dosierung. Patienten aus der Gruppe ADA/BKZ 320 mg Q4W wechselten in Woche 24 von ADA zu BKZ Q4W. NRI wird verwendet.
Die Wirksamkeit von Bimekizumab wurde unabhängig von Alter, Geschlecht, ethnischer Zugehörigkeit, Krankheitsdauer, Körpergewicht, PASI-Schweregrad bei Baseline und vorheriger Behandlung mit einem Biologikum nachgewiesen. Bimekizumab war wirksam bei Patienten mit vorheriger Biologikum-Exposition, einschliesslich Anti-TNF/Anti-IL-17, und bei Patienten ohne vorherige systemische Therapie. Basierend auf populationspharmakokinetischen/-pharmakodynamischen (PK/PD-)Analysen und gestützt durch klinische Daten, profitierten Patienten mit höherem Körpergewicht (≥120 kg), die in Woche 16 keine vollständige Symptomfreiheit der Haut erreicht hatten, von einer fortgesetzten Behandlung mit Bimekizumab 320 mg alle vier Wochen (Q4W) nach den ersten 16 Behandlungswochen.
In der BE SURE-Studie erhielten die Patienten Bimekizumab 320 mg Q4W bis Woche 16, gefolgt von einer Dosierung Q4W oder alle acht Wochen (Q8W) bis Woche 56, unabhängig vom Responder-Status in Woche 16. Bei Patienten in der Gruppe ≥120 kg (N=37) verbesserte sich im Arm mit Q4W-Erhaltungstherapie das PASI-100-Ansprechen zwischen Woche 16 (23,5 %) und Woche 56 (70,6 %) stärker als im Arm mit Q8W-Erhaltungstherapie (Woche 16: 45,0 % vs. Woche 56: 60,0 %).
Aufrechterhaltung des Ansprechens
Tabelle 3: Fortdauer des Ansprechens in Woche 52 bei Respondern in Woche 16*
|
PASI 100
|
PASI 90
|
IGA 0/1
|
Absoluter PASI ≤2
| |
BKZ 320 mg Q4W/Q4W (N = 355) n (%)
|
BKZ 320 mg Q4W/Q8W (N = 182) n (%)
|
BKZ 320 mg Q4W/Q4W (N = 516) n (%)
|
BKZ 320 mg Q4W/Q8W (N = 237) n (%)
|
BKZ 320 mg Q4W/Q4W (N = 511) n (%)
|
BKZ 320 mg Q4W/Q8W (N = 234) n (%)
|
BKZ 320 mg Q4W/Q4W (N = 511) n (%)
|
BKZ 320 mg Q4W/Q8W (N = 238) n (%)
| |
295 (83,1)
|
161 (88,5)
|
464 (89,9)
|
214 (90,3)
|
447 (87,5)
|
214 (91,5)
|
460 (90,0)
|
215 (90,3)
|
* Integrierte Analyse von BE VIVID, BE READY und BE SURE. NRI wird verwendet.
BKZ 320 mg Q4W: Bimekizumab 320 mg alle 4 Wochen, gefolgt von Bimekizumab 320 mg alle 4 Wochen ab Woche 16. BKZ 320 mg Q8W: Bimekizumab 320 mg alle 4 Wochen, gefolgt von Bimekizumab 320 mg alle 8 Wochen ab Woche 16.
Aufrechterhaltung des PASI-90-Ansprechens (nach Absetzen von Bimekizumab)
Abbildung 3: PASI-90-Responder-Raten im Zeitverlauf – randomisierte Auswasch-Phase in BE READY

NRI wird verwendet.
In BE READY betrug für PASI-90-Responder aus Woche 16, die dann auf Placebo randomisiert wurden und nicht länger Bimekizumab erhielten, die mediane Zeit bis zum Rezidiv, definiert als Verlust des PASI-75-Ansprechens, ungefähr 28 Wochen (32 Wochen nach der letzten Bimekizumab-Dosis). Von diesen Patienten erreichten 88,1 % innerhalb von 12 Wochen nach Wiederaufnahme der Behandlung mit Bimekizumab 320 mg alle 4 Wochen wieder ein PASI-90-Ansprechen.
Einzelne Körperregionen
Bei Patienten, die mit Bimekizumab behandelt wurden, zeigte sich in Woche 16 in den Studien BE VIVID und BE READY gegenüber Placebo eine signifikante Verbesserung der Psoriasis an Kopfhaut, Nägeln, Handflächen und Fusssohlen (siehe Tabelle 4).
Tabelle 4: Ansprechen in einzelnen Körperregionen in BE VIVID und BE READY in Woche 16
|
|
BE VIVID
|
BE READY
| |
|
Placebo
|
BKZ 320 mg Q4W
|
Ustekinumab
|
Placebo
|
BKZ 320 mg Q4W
| |
Kopfhaut IGA (n)a Kopfhaut IGA 0/1, n (%)
|
(72) 11 (15,3)
|
(285) 240 (84,2)b
|
(146) 103 (70,5)
|
(74) 5 (6,8)
|
(310) 286 (92,3)b
| |
pp-IGA (n)a pp-IGA 0/1, n (%)
|
(29) 7 (24,1)
|
(105) 85 (81,0)
|
(47) 39 (83,0)
|
(31) 10 (32,3)
|
(97) 91 (93,8)
| |
mNAPSI 100 (n)a mNAPSI 100, n (%)
|
(51) 4 (7,8)
|
(194) 57 (29,4)
|
(109) 15 (13,8)
|
(50) 3 (6,0)
|
(210) 73 (34,8)
|
NRI wird verwendet.
a) Nur Patienten mit einem Investigator Global Assessment (IGA)-Score der Kopfhaut von 2 oder höher, einem palmoplantaren IGA von 2 oder höher und einem mNAPSI (modifizierten Nail Psoriasis and Severity Index)-Score > 0 bei Baseline. Kopfhaut-Ansprechen IGA 0/1 und pp-Ansprechen IGA 0/1 waren definiert als erscheinungsfrei (0) oder fast erscheinungsfrei (1) mit einer Besserung um ≥2 Kategorien gegenüber Baseline.
b) p < 0,001 gegenüber Placebo, für Multiplizität korrigiert.
Das IGA-Ansprechen an der Kopfhaut und der palmoplantaren Region blieb bis Woche 52/56 erhalten. Die Nagel-Psoriasis besserte sich über Woche 16 hinaus. In BE VIVID erreichte in Woche 52 ein höherer Anteil der mit Bimekizumab behandelten Patienten eine völlige Symptomfreiheit der Nägel (mNAPSI 100) im Vergleich zu mit Ustekinumab behandelten Patienten (60,3 % gegenüber 40,4 %). In BE READY erreichten in Woche 56 unter Bimekizumab 320 mg alle 8 Wochen bzw. Bimekizumab 320 mg alle 4 Wochen 67,7 % bzw. 69,8 % der PASI-90-Responder aus Woche 16 eine völlige Symptomfreiheit der Nägel.
Gesundheitsbezogene Lebensqualität / von Patienten berichtete Ergebnisse
In allen 3 Studien erreichte in Woche 16, im Vergleich zu Placebo oder einem aktiven Vergleichsmedikament, ein grösserer Anteil der mit Bimekizumab behandelten Patienten eine nicht mehr durch die Psoriasis eingeschränkte Lebensqualität (gemessen anhand des Dermatology Life Quality Index, DLQI).
In BE READY lag der Prozentsatz der Patienten mit einem DLQI von 0/1 (keine Auswirkungen der Psoriasis auf die gesundheitsbezogene Lebensqualität) in Woche 16 bei 75,6 % in der Bimekizumab-Gruppe bzw. bei 5,8 % in der Placebo-Gruppe.
In BE VIVID betrug die DLQI 0/1 Ansprechrate in Woche 16 in der Bimekizumab-, Ustekinumab- und Placebogruppe 67,3 %, 42,3 % bzw. 12,0 %. Die DLQI 0/1-Ansprechraten stiegen über Woche 16 hinaus an und blieben bis Woche 52 erhalten (74,8 % bei mit Bimekizumab 320 mg Q4W behandelten Patienten).
In BE SURE betrug die DLQI 0/1-Ansprechrate in Woche 16 in der Bimekizumab- und Adalimumab-Gruppe 63,0 % bzw. 46,5 %. Die DLQI 0/1-Ansprechrate in Woche 56 betrug 78,9 % bei mit Bimekizumab 320 mg Q8W bzw. 74,1 % bei mit Bimekizumab 320 mg Q4W behandelten Patienten.
PharmakokinetikAbsorption
Auf Basis der populationspharmakokinetischen Analyse erreichte Bimekizumab nach einer subkutanen Einzeldosis von 320 mg bei Plaque-Psoriasis-Patienten eine mediane (2,5. und 97,5. Perzentil) maximale Plasmakonzentration von 25 (12–50) μg/ml zwischen 3 und 4 Tagen nach der Dosisgabe.
Die populationspharmakokinetische Analyse zeigte, dass Bimekizumab bei gesunden Freiwilligen mit einer durchschnittlichen absoluten Bioverfügbarkeit von 70,1 % resorbiert wurde.
Distribution
Auf Basis populationspharmakokinetischer Analysen betrug das mediane Verteilungsvolumen (V/F) (Variationskoeffizient %) bei Patienten mit Plaque-Psoriasis im Steady-State 11,2 l (30,5 %).
Metabolismus
Bimekizumab ist ein monoklonaler Antikörper und es wird erwartet, dass dieser, analog zu endogenen Immunglobulinen, über katabole Wege in kleine Peptide und Aminosäuren abgebaut wird.
Elimination
Auf Basis populationspharmakokinetischer Analysen betrug in klinischen Studien an Patienten mit Plaque-Psoriasis die mediane scheinbare Clearance (CL/F) (Variationskoeffizient %) von Bimekizumab 0,337 l/Tag (32,7 %) und die mittlere terminale Halbwertszeit 23 Tage.
Basierend auf simulierten Daten liegen die mediane (2,5. und 97,5. Perzentil) Spitzen- und Talkonzentration im Steady-State nach subkutaner Verabreichung von 320 mg alle 4 Wochen bei 43 (20–91) µg/ml bzw. 20 (7–50) µg/ml und der Steady-State wird bei vierwöchentlicher Dosisgabe nach etwa 16 Wochen erreicht. Im Vergleich zur Exposition nach einer Einzeldosis zeigte die populationspharmakokinetische Analyse, dass die Patienten nach wiederholter vierwöchentlicher Verabreichung einen 1,74-fachen Anstieg der maximalen Plasmakonzentrationen und der Fläche unter der Kurve (AUC) aufwiesen.
Nach der Umstellung von einer Dosierung 320 mg alle 4 Wochen auf 320 mg alle 8 Wochen in Woche 16 wurde der Steady-State etwa 16 Wochen nach der Umstellung erreicht. Die medianen (2,5. und 97,5. Perzentil) Spitzen- und Tal-Plasmakonzentrationen liegen bei 30 (14–60) μg/ml bzw. 5 (1–16) μg/ml.
Linearität/Nicht Linearität
Bimekizumab zeigte bei Patienten mit Plaque-Psoriasis nach mehrfacher subkutaner Verabreichung eine dosisproportionale Pharmakokinetik über einen Dosisbereich von 64 mg bis 480 mg, wobei die scheinbare Clearance dosisunabhängig war.
Pharmakokinetische/pharmakodynamische Zusammenhänge
Ein populationspharmakokinetisches/-pharmakodynamisches Modell wurde unter Verwendung aller verfügbaren Daten bei Patienten mit mittelschwerer bis schwerer Plaque-Psoriasis entwickelt. Die Analyse zeigte, dass höhere Bimekizumab-Konzentrationen mit einem besseren PASI (Psoriasis Area and Severity Index)- und IGA (Investigators Global Assessment)-Ansprechen assoziiert sind und dass eine Dosis von 320 mg in Woche 0, 4, 8, 12, 16 und danach alle 8 Wochen bei der Mehrheit der Patienten mit mittelschwerer bis schwerer Plaque-Psoriasis einen maximalen Nutzen bietet (siehe Kinetik spezieller Patientengruppen, Körpergewicht).
Kinetik spezieller Patientengruppen
Leber- und Nierenfunktionsstörungen
Es wurden keine spezifischen Studien zur Ermittlung der Auswirkungen einer eingeschränkten Nieren- oder Leberfunktion auf die Pharmakokinetik von Bimekizumab durchgeführt. Es wird erwartet, dass die renale Elimination von intaktem Bimekizumab, einem monoklonalen IgG-Antikörper, gering und von untergeordneter Bedeutung ist. IgG-Antikörper werden hauptsächlich über den intrazellulären Katabolismus eliminiert und es ist daher auch nicht zu erwarten, dass eine Leberfunktionsstörung die Clearance von Bimekizumab beeinflusst. Auf Basis populationspharmakokinetischer Analysen hatten Leberfunktionsmarker (ALT/Bilirubin) keine Auswirkung auf die Clearance von Bimekizumab bei Patienten mit Plaque-Psoriasis.
Ältere Patienten
Auf Basis der populationspharmakokinetischen Analyse mit einer begrenzten Anzahl von älteren Patienten (n = 110 für Alter ≥65 Jahre und n = 14 für Alter ≥75 Jahre) war die scheinbare Clearance (CL/F) bei älteren Patienten und Patienten unter 65 Jahren vergleichbar. Eine Dosisanpassung ist nicht erforderlich.
Körpergewicht
Im populationspharmakokinetischen Modell zeigte sich eine abnehmende Exposition mit steigendem Körpergewicht. Nach diesem Modell ist die durchschnittliche Plasmakonzentration bei erwachsenen Patienten mit einem Gewicht ≥120 kg nach subkutaner Injektion von 320 mg um mindestens 30 % niedriger als bei erwachsenen Patienten mit einem Körpergewicht von 90 kg. Eine Dosisanpassung kann bei manchen Patienten angezeigt sein (siehe Dosierung/Anwendung).
Ethnische Zugehörigkeit / Geschlecht
In einer klinischen Studie zur Pharmakokinetik wurden hinsichtlich der Bimekizumab-Exposition keine klinisch bedeutsamen Unterschiede zwischen japanischen und kaukasischen Studienteilnehmern beobachtet. Eine Dosisanpassung ist nicht erforderlich. Eine populationspharmakokinetische Analyse deutet darauf hin, dass Frauen im Vergleich zu Männern eine um 10 % schnellere scheinbare Clearance (CL/F) haben, die klinisch nicht bedeutsam ist. Eine Dosisanpassung ist nicht erforderlich.
Präklinische DatenBasierend auf Gewebe-Kreuzreaktivitätstests, Studien zur Toxizität bei wiederholter Gabe (einschliesslich sicherheitspharmakologischer Endpunkte und Bewertung fertilitätsbezogener Endpunkte) sowie der Beurteilung der prä- und postnatalen Entwicklung lassen die präklinischen Daten keine besonderen Gefahren für den Menschen erkennen.
Genotoxizität / Kanzerogenität
Zur Mutagenität und Kanzerogenität von Bimekizumab wurden keine Studien durchgeführt. Eine Schädigung der DNA oder Chromosomen ist bei monoklonalen Antikörpern jedoch nicht zu erwarten. In einer 26-wöchigen Studie zur chronischen Toxikologie an Cynomolgus-Affen wurden bei einer Dosis, die dem 109-fachen der humantherapeutischen Exposition bei 320 mg alle 4 Wochen entspricht, keine präneoplastischen oder neoplastischen Läsionen beobachtet.
Reproduktionstoxizität
In einer erweiterten Studie zur peri- und postnatalen Entwicklung an Cynomolgus-Affen zeigten sich unter Bimekizumab keine Auswirkungen auf Schwangerschaft, Geburt, Säuglingsüberleben, fetale und postnatale Entwicklung bei Verabreichung während der Organogenese und bis zur Geburt in einer Dosis, die basierend auf der AUC dem 27-Fachen der menschlichen Exposition bei 320 mg alle 4 Wochen entsprach. Bei der Geburt waren die Serumkonzentrationen von Bimekizumab bei den neugeborenen Affen vergleichbar mit jenen der Mütter.
Sonstige HinweiseInkompatibilitäten
Da keine Kompatibilitätsstudien durchgeführt wurden, darf das Arzneimittel nicht mit anderen Arzneimitteln gemischt werden.
Haltbarkeit
Das Arzneimittel darf nur bis zu dem auf der Packung mit «EXP» bezeichneten Datum verwendet werden.
Besondere Lagerungshinweise
Im Kühlschrank (2-8°C) lagern.
Nicht einfrieren.
Fertigpen im Umkarton aufbewahren, um den Inhalt vor Licht zu schützen.
Fertigspritze im Umkarton aufbewahren, um den Inhalt vor Licht zu schützen.
Der Bimzelx-Fertigpen und die Bimzelx-Fertigspritze können bei Raumtemperatur (bis zu 25 °C) für einen einmaligen Zeitraum von maximal 25 Tagen lichtgeschützt aufbewahrt werden. Wurde das Arzneimittel aus dem Kühlschrank genommen und bei Raumtemperatur aufbewahrt, verwerfen Sie es nach 25 Tagen oder nach Ablauf des auf dem Umkarton aufgedruckten Verfalldatums, je nachdem, was zuerst eintritt. In das Feld auf dem Umkarton kann das Datum der Entnahme aus dem Kühlschrank eingetragen werden.
Ausser Reichweite von Kindern aufbewahren.
Zulassungsnummer68548, 68612 (Swissmedic)
PackungenBimzelx 160 mg, Injektionslösung im Fertigpen
1 Fertigpen (B).
2 Fertigpens (B).
Bimzelx 160 mg, Injektionslösung in einer Fertigspritze
1 Fertigspritze (B).
2 Fertigspritzen (B).
ZulassungsinhaberinUCB-Pharma AG, Bulle
Stand der InformationJuni 2022
|