ch.oddb.org
 
Medikamente | Services | Zulassungsi.
Fachinformation zu Lupkynis:Otsuka Pharmaceutical (Switzerland) GmbH
Vollst. FachinformationDDDÄnderungen anzeigenDrucken 
Zusammens.Galen.FormInd./Anw.mögl.Dos./Anw.Kontraind.Warn.hinw.Interakt.Schwangerschaft
Fahrtücht.Unerw.WirkungenÜberdos.Eigensch.Pharm.kinetikPräklin.Sonstige H.Swissmedic-Nr.
PackungenReg.InhaberStand d. Info. 

Zusammensetzung

Wirkstoffe
Voclosporinum
Hilfsstoffe
Kapselinhalt: Ethanolum, Tocofersolanum, Polysorbatum 40, Triglycerida media
Kapselhülle: Gelatina; Sorbitolum [E420] ut Glycerolum mixtum; Titanii dioxidum [E171]; E172 (Ferri oxidum rubrum, flavum); Aqua purificata q.s.
Eine Weichkapsel enthält 21,6 mg Ethanol und 28,7 mg Sorbitol.

Indikationen/Anwendungsmöglichkeiten

Lupkynis ist in Kombination mit einer immunsuppressiven Basistherapie zur Behandlung von erwachsenen Patienten mit aktiver Lupus-Nephritis der Klassen III, IV oder V (einschliesslich deren Mischformen III/V und IV/V) indiziert (siehe „Dosierung/Anwendung“ und „Klinische Wirksamkeit“).

Dosierung/Anwendung

Allgemeine Hinweise
Die Behandlung mit Lupkynis sollte von einer Ärztin bzw. einem Arzt eingeleitet und überwacht werden, der Erfahrung mit der immunsuppressiven Therapie zur Behandlung von Systemischen Lupus Erythematodes (SLE) bzw. Lupus-Nephritis hat und eine angemessene Nachkontrolle gewährleisten kann, einschliesslich regelmässiger klinischen Untersuchungen, Überwachung des Blutdrucks und Kontrolle der Sicherheitsparameter im Labor.
Basis-Therapie in den klinischen Studien waren Mycophenolat Mofetil (MMF) und Kortikosteroide (siehe «Eigenschaften/Wirkungen/Klinische Wirksamkeit»). Die Sicherheit und Wirksamkeit von Lupkynis in Kombination mit anderen Immunsuppressiva (einschliesslich Cyclophosphamid) wurde nicht untersucht.
Übliche Dosierung
Die empfohlene Dosis Lupkynis beträgt 23,7 mg (drei Weichkapseln à 7,9 mg) zweimal täglich.
Es wird empfohlen, Lupkynis nach Möglichkeit immer zur selben Zeit mit einem 12-Stunden-Abstand zwischen den Dosen einzunehmen, mindestens jedoch einen Abstand von 8 Stunden einzuhalten. Wenn eine Dosis ausgelassen wurde, sollte sie so schnell wie möglich innerhalb von 4 Stunden nach der ausgelassenen Dosis eingenommen werden. Beträgt der Abstand mehr als 4 Stunden, soll bis zum nächsten, üblichen Einnahmezeitpunkt gewartet werden, um die nächste reguläre Dosis einzunehmen. Es soll keine doppelte Dosis bei der nächsten Einnahme eingenommen werden.
Eine ärztliche Beurteilung der Wirksamkeit der Behandlung sollte nach mindestens 24 Wochen erfolgen, verbunden mit einer angemessenen Nutzen-Risiko-Analyse in Bezug auf die Weiterführung der Lupkynis-Therapie.
Dosisanpassung/Titration
Es wird empfohlen, vor Beginn der Behandlung mit Lupkynis den Ausgangswert der geschätzten glomerulären Filtrationsrate (eGFR) zu ermitteln und dann im ersten Behandlungsmonat zweiwöchentlich, anschliessend vierwöchentlich Kontrolluntersuchungen durchzuführen.
Eine Dosisanpassung ist erforderlich, wenn eine bestätigte Reduktion der eGFR (d. h. in zwei aufeinanderfolgenden Untersuchungen innerhalb von 48 Stunden) vorliegt und die eGFR unter 60 ml/min/1,73 m2 liegt. Wenn die eGFR bei ≥ 60 ml/min/1,73 m2 bleibt, ist keine Dosisänderung erforderlich (siehe Tabelle 1).
Tabelle 1: Empfohlene Dosisanpassungen basierend auf der eGFR

Bestätigte eGFR-Reduktion gegenüber Behandlungsbeginn1

Empfehlung

≥ 30% Reduktion

Beenden Sie die Anwendung von Lupkynis. Starten Sie Lupkynis nach Erholung der eGFR mit einer niedrigeren Dosis und steigern Sie diese basierend auf der Nierenfunktion, solange toleriert.

> 20% und < 30% Reduktion

Reduzieren Sie die Dosis von Lupkynis um 7,9 mg zweimal täglich. Testen Sie in zwei Wochen erneut, wenn sich die Abnahme der eGFR nicht erholt hat, reduzieren Sie die Dosis um weitere 7,9 mg zweimal täglich.

≤ 20% Reduktion

Aktuelle Dosis von Lupkynis beibehalten und überwachen.

1 Wenn die eGFR bei ≥ 60 ml/min/1,73 m2 bleibt, ist keine Massnahme erforderlich.
Es wird empfohlen, Patienten, bei denen eine Dosissenkung erforderlich wird, in zwei Wochen auf Erholung der eGFR zu untersuchen. Bei Patienten, bei denen die Dosis infolge einer eGFR-Reduktion gesenkt wurde, ist eine Steigerung um 7,9 mg zweimal täglich in Betracht zu ziehen, sobald eine eGFR-Messung einen Wert ≥ 80% des Ausgangswerts ergibt; hierbei ist jedoch die Anfangsdosis nicht zu überschreiten.
Bei gleichzeitiger Anwendung von Lupkynis mit mittelstarken Inhibitoren von CYP3A4 (z. B. Verapamil, Fluconazol, Diltiazem) ist die Tagesdosierung Lupkynis auf 15,8 mg morgens und 7,9 mg abends zu senken (siehe „Interaktionen“).
Spezielle Dosierungsanweisungen
Patienten mit Leberfunktionsstörungen
Bei Patienten mit gering- bis mittelgradiger Einschränkung der Leberfunktion (Child-Pugh-Klasse A bzw. B) beträgt die empfohlene Anfangsdosis 15,8 mg zweimal täglich. Die Wirkung von Voclosporin bei Patienten mit schwerer Leberfunktionsstörung (Child-Pugh-Klasse C) wurde bisher nicht untersucht, daher wird die Anwendung bei dieser Patientenpopulation nicht empfohlen (siehe „Warnhinweise und Vorsichtsmassnahmen“ und „Pharmakokinetik“).
Patienten mit Nierenfunktionsstörungen
Voclosporin unterliegt einer minimalen renalen Elimination und seine Pharmakokinetik wird durch eine Nierenfunktionsstörung nicht wesentlich beeinflusst. Jedoch wird eine sorgfältige Überwachung der Nierenfunktion empfohlen (siehe Tabelle 1 und „Warnhinweise und Vorsichtsmassnahmen“). Es wird empfohlen, Lupkynis bei Patienten mit einem eGFR-Ausgangswert von 30 bis <45 ml/min/1,73 m2 nur anzuwenden, wenn der Nutzen das Risiko überwiegt, und eine Anfangsdosis von 23,7 mg zweimal täglich zu verwenden.
Lupkynis wurde bei Patienten mit schwerer Nierenfunktionsstörung zu Behandlungsbeginn (eGFR <30 ml/min/1,73 m2) nicht untersucht und wird bei diesen Patienten nicht empfohlen, es sei denn, der Nutzen überwiegt das Risiko. Bei Anwendung beträgt die empfohlene Anfangsdosis 15,8 mg zweimal täglich (siehe „Pharmakokinetik“).
Ältere Patienten
Es liegen nur begrenzte Informationen über ältere Patienten mit Lupus-Nephritis vor. Populationspharmakokinetische Analysen zeigten, dass das Alter (Bereich 18 bis 66 Jahre) keinen bedeutenden Einfluss auf die Voclosporin-Exposition hat.
Kinder und Jugendliche
Die Sicherheit und Wirksamkeit bei Kindern und Jugendlichen unter 18 Jahren ist noch nicht gezeigt. Es liegen keine Daten vor.
Art der Anwendung
Zum Einnehmen.
Die Weichkapseln müssen im Ganzen geschluckt werden und können unabhängig von einer Mahlzeit eingenommen werden. Es wird empfohlen, Lupkynis nicht zusammen mit Grapefruit oder Grapefruitsaft einzunehmen (siehe „Interaktionen“).

Kontraindikationen

Überempfindlichkeit gegenüber dem Wirkstoff oder einem der in der Rubrik „Zusammensetzung“ genannten Hilfsstoffe.
Gleichzeitige Anwendung von Voclosporin mit starken Inhibitoren von CYP3A4 (z. B. Ketoconazol, Itraconazol, Clarithromycin) (siehe „Interaktionen“).

Warnhinweise und Vorsichtsmassnahmen

Lymphome und andere maligne Erkrankungen
Immunsuppressiva erhöhen das Risiko für das Auftreten von Lymphomen und anderen malignen Erkrankungen insbesondere der Haut. Es wird empfohlen, Patienten darauf hinzuweisen, ungeschützte Exposition gegenüber Sonnenlicht und UV-Strahlung zu vermeiden oder einzuschränken.
Schwerwiegende Infektionen
Immunsuppressiva, einschliesslich Voclosporin, können das Risiko für das Auftreten von bakteriellen, viralen, Pilz- und Protozoeninfektionen einschliesslich opportunistischer Infektionen (z.B. Tuberkulose, Cytomegalievirus Infektion, Herpes zoster Infektion) erhöhen; diese können auch schwerwiegend oder tödlich verlaufen. Während der Behandlung mit Voclosporin sind die Patienten engmaschig auf Infektionen zu überwachen. Bei Auftreten einer Infektion sollte der Nutzen einer Fortsetzung der Behandlung mit Voclosporin gegen das Risiko einer weiteren Verabreichung abgewogen werden.
Nierentoxizität
Das Risiko für akute und/oder chronische Nierentoxizität ist erhöht, wenn Lupkynis gleichzeitig mit Arzneimitteln verabreicht wird, die mit Nierentoxizität assoziiert sind. Wie bei anderen Calcineurin-Inhibitoren wurden bei mit Voclosporin behandelten Patienten, unerwünschte Reaktionen in Form einer akuten Verschlechterung der Nierenfunktion oder Abnahme der eGFR beobachtet. In den ersten vier Wochen der Behandlung mit Voclosporin wurden hämodynamisch bedingte Reduktionen der eGFR beobachtet. Dies kann in der Regel durch Dosisanpassungen beherrscht werden. Es wird eine regelmässige Überwachung der eGFR empfohlen (siehe “Dosierung/Anwendung”).
Aplasie der roten Blutkörperchen
Bei Patienten, die mit einem anderen Calcineurin-Inhibitor behandelt wurden, wurde über Fälle von Aplasie der roten Blutkörperchen (pure red cell aplasia, PRCA) berichtet. Alle diese Patienten hatten Risikofaktoren für PRCA, wie eine Parvovirus-B19-Infektion, eine Grunderkrankung oder begleitende Arzneimittel, die mit PRCA assoziiert sind. Der Mechanismus für die durch Calcineurin-Inhibitoren ausgelöste PRCA ist noch nicht geklärt. Wenn eine PRCA diagnostiziert wird, sollte das Absetzen von Lupkynis in Betracht gezogen werden.
Hyperkaliämie
Im Zusammenhang mit Calcineurin-Inhibitoren ist über Hyperkaliämie berichtet worden, die schwerwiegend und behandlungsbedürftig sein kann. Die gleichzeitige Anwendung von Arzneimitteln, die mit Hyperkaliämie assoziiert werden (z. B. kaliumsparende Diuretika, Angiotensin-Converting-Enzym (ACE) Hemmer, Angiotensin-Rezeptor-Blocker (ARB)), kann das Risiko einer Hyperkaliämie erhöhen. Es wird empfohlen, während der Behandlung regelmässig den Serumkaliumspiegel der Patienten zu kontrollieren.
Hypertonie
Voclosporin kann eine systemische Hypertonie verursachen oder verschlimmern. Nach Einleitung der Behandlung mit Voclosporin ist der Blutdruck im ersten Monat alle zwei Wochen und danach gemäss klinischer Indikation zu kontrollieren. Im Fall eines klinisch bedenklich erhöhten Blutdrucks sind die Empfehlungen in Tabelle 2 zu befolgen.
Tabelle 2: Empfehlungen für das Vorgehen zur Hypertonie-Behandlung

Blutdruck

Empfehlung

Systolischer Druck > 130 mmHg und ≤ 165 mmHg
und
Diastolischer Druck > 80 mmHg und ≤ 105 mmHg

Antihypertensive Therapie kann eingeleitet/angepasst werden

Blutdruck >165/105 mmHg, mit Hypertonie-Symptomatik

Voclosporin-Anwendung beenden und antihypertensive Therapie einleiten/anpassen

QTc-Verlängerung
Lupkynis führt zu einer dosisabhängig Verlängerung des QTc-Intervalls (im Mittel bis zu 34,6 ms) nach einer Einzeldosis, die höher ist als die empfohlene therapeutische Dosis (siehe „Eigenschaften/Wirkungen / Pharmakodynamik“). Die Anwendung von Lupkynis in Kombination mit anderen Arzneimitteln, die bekanntermassen das QTc-Intervall verlängern, kann zu einer klinisch signifikanten QTc-Verlängerung führen. Bestimmte Umstände können das Risiko des Auftretens von Torsade de pointes und/oder plötzlichem Tod in Verbindung mit der Anwendung von Arzneimitteln, die das QTc-Intervall verlängern, erhöhen, einschliesslich Bradykardie, Hypokaliämie oder Hypomagnesiämie, bei gleichzeitiger Anwendung anderer Arzneimittel, die das QTc-Intervall verlängern, sowie bei Vorliegen einer angeborenen Verlängerung des QT-Intervalls. Bei Patienten mit erhöhtem Risiko einer QT-Verlängerung, ist ein EKG in Betracht zu ziehen und die Elektrolyte sind zu überwachen.
Neurotoxizität
Bei Patienten, die immunsuppressive Therapien, einschliesslich Voclosporin, erhalten, besteht ein erhöhtes Risiko einer Neurotoxizität (siehe „Unerwünschte Wirkungen“). Überwachen Sie die Patienten auf Neurotoxizität und erwägen Sie eine Dosisreduktion oder ein Absetzen von Voclosporin beim Neuauftreten neurologischer Symptome wie z.B. bei einem posterioren reversiblen Enzephalopathie-Syndrom (PRES), Krampfanfällen oder Tremor.
Leberfunktionsstörungen
Bei Patienten mit hochgradiger Leberfunktionsstörung (Child-Pugh-Klasse C) wurde Voclosporin bisher nicht untersucht, daher soll das Arzneimittel bei dieser Patientenpopulation nicht angewendet werden.
Impfungen
Es liegen keine Daten zum Ansprechen auf Impfungen mit Lebendimpfstoffen bei Patienten unter Behandlung mit Voclosporin vor. Immunsuppressiva können das Ansprechen auf Impfstoffe beeinflussen, und die Wirksamkeit einer Impfung kann während der Behandlung mit Voclosporin beeinträchtigt sein. Anhand der aktuellen Datenlage kann nicht beurteilt werden, inwieweit Voclosporin die Immunantwort auf Neo- und/oder Booster-Antigene hemmt. Die Impfungen sollten auf dem aktuellen Stand sein und etwaige erforderliche Impfungen sollten nach Möglichkeit vor Beginn der Behandlung durchgeführt werden. Die Anwendung von attenuierten Lebendimpfstoffen unter Voclosporin ist zu vermeiden. Vor der Verabreichung von Impfstoffen während der Behandlung mit Voclosporin ist das Nutzen-Risiko-Verhältnis abzuwägen.
Lebensmittel und Arzneimittel, die CYP3A4-beeinflussen
Voclosporin wird in der Leber hauptsächlich über CYP3A4 metabolisiert. Die gleichzeitige Anwendung von Voclosporin mit mittelstarken bis starken Induktoren (wie z.B. Johanniskraut oder Grapefruit und Grapefruitsaft) wird nicht empfohlen (siehe „Interaktionen“).
Sojalecithin (mögliche Rückstände aus der Herstellung)
Dieses Arzneimittel kann Spuren von Sojalecithin enthalten. Es darf nicht von Patienten eingenommen werden, die anaphylaktische Reaktionen auf Soja oder Erdnuss gezeigt haben.
Hilfsstoffe von besonderem Interesse
Eine Lupkynis Weichkapsel enthält 21,6 mg Ethanol. Die tägliche Dosis von 47,4 mg Lupkynis (sechs Weichkapseln à 7,9 mg) enthält 129,6 mg Ethanol. Die geringe Alkoholmenge in diesem Arzneimittel hat keine wahrnehmbaren Auswirkungen.
Eine Lupkynis Weichkapsel enthält 28,7 mg Sorbitol. Die tägliche Dosis von 47,4 mg Lupkynis (sechs Weichkapseln à 7,9 mg) enthält 172,2 mg Sorbitol. Die additive Wirkung gleichzeitig angewendeter Sorbitol (oder Fructose) haltiger Arzneimittel und die Einnahme von Sorbitol (oder Frucose) über die Nahrung ist zu berücksichtigen. Der Sorbitolgehalt oral angewendeter Arzneimittel kann die Bioverfügbarkeit von anderen gleichzeitig oral angewendeten Arzneimitteln beeinflussen.

Interaktionen

Einfluss anderer Substanzen auf die Pharmakokinetik von Voclosporin
Voclosporin wird durch CYP3A4 metabolisiert. Die gleichzeitige Anwendung von Arzneimitteln oder pflanzlichen Heilmitteln, die als Inhibitoren oder Induktoren von CYP3A4 bekannt sind, kann die Metabolisierung von Voclosporin beeinflussen und somit die Voclosporinkonzentration im Blut erhöhen oder verringern.
Gleichzeitige Anwendung kontraindiziert
CYP3A4-Inhibitoren
In Gegenwart des starken CYP3A4-Inhibitors Ketoconazol war die Voclosporin-Exposition 18,6-mal höher als bei alleiniger Anwendung von Voclosporin. Die gleichzeitige Anwendung von Voclosporin mit starken CYP3A4-Inhibitoren (z. B. Ketoconazol, Itraconazol, Clarithromycin) ist kontraindiziert (siehe „Kontraindikationen“).
Gleichzeitige Anwendung nicht empfohlen
CYP3A4-Induktoren
In Gegenwart des starken CYP3A4-Induktors Rifampicin war die Voclosporin-Exposition um 87% niedriger als bei alleiniger Anwendung von Voclosporin. Für die gleichzeitige wiederholte Gabe des mittelstarken CYP3A4-Induktors Efavirenz wurde eine um 70% niedrigere Voclosporin-Exposition vorhergesagt. Die gleichzeitige Anwendung von starken und mittelstarken CYP3A4-Induktoren (z. B. Carbamazepin, Phenobarbital, Rifampicin, Johanniskraut, Efavirenz) mit Voclosporin wird nicht empfohlen (siehe „Warnhinweise und Vorsichtsmassnahmen“).
Andere Interaktionen
CYP3A4-Inhibitoren
In Gegenwart des mittelstarken CYP3A4-Inhibitors Verapamil war die Voclosporin-Exposition 2,71-mal höher als bei alleiniger Anwendung von Voclosporin. Eine Dosisreduktion auf 15,8 mg morgens und 7,9 mg abends wird empfohlen, wenn Voclosporin gleichzeitig mit mittelstarken Inhibitoren von CYP3A4 (z. B. Verapamil, Fluconazol, Diltiazem, Erythromycin,Grapefruit und Grapefruitsaft) angewendet wird (siehe „Dosierung/Anwendung“).
Schwache CYP3A4-Inhibitoren können zwar ebenfalls die Voclosporin-Exposition erhöhen, dieser Effekt wird aber nicht als klinisch bedeutsam eingestuft (Erhöhung um weniger als den Faktor 1,25). Bei gleichzeitiger Anwendung von Voclosporin mit schwachen CYP3A4-Inhibitoren ist keine Dosisanpassung erforderlich.
Einfluss von Voclosporin auf die Pharmakokinetik anderer Substanzen
Pgp Substrate
Voclosporin ist ein schwacher Inhibitor des P-Glykoproteins (P-gp), daher wird bei gleichzeitiger Anwendung von Voclosporin mit sensitiven P-gp-Substraten zu besonderer Vorsicht geraten. Die gleichzeitige Anwendung von Voclosporin und wiederholte Gabe von Digoxin erhöhte die Cmax und AUC von Digoxin um den Faktor 1,51 bzw. 1,25. Da Digoxin (ein P-gp Substrat) als Wirkstoff mit geringer therapeutischer Breite gilt, ist bei gleichzeitiger Anwendung von Voclosporin mit Digoxin besondere Vorsicht geboten; dies beinhaltet ein adäquates Digoxin-Monitoring wie klinisch indiziert und wie in der Fachinformation des Digoxinpräparats beschrieben.
OATP1B1/OATP1B3 Substrate
Voclosporin ist ein Inhibitor der OATP1B1- und OATP1B3-Transporter. In einer klinischen Studie erhöhte die Gabe einer Einzeldosis von 40 mg Simvastatin in Kombination mit einer zweimal täglich gegebenen Dosis von 23,7 mg Voclosporin die Cmax und die AUC des aktiven Metaboliten Simvastatinsäure (ein sensitives OATP1B1/OATP1B3-Substrat) auf das 3,1-Fache bzw. 1,8-Fache.
In der gleichen Studie war die Exposition der Muttersubstanz Simvastatin (die ebenfalls ein BCRP-Substrat ist) in Bezug auf die AUC unbeeinflusst, während die Cmax auf das 1,6-Fache anstieg, was möglicherweise auf eine Wechselwirkung zwischen BCRP und Voclosporin im Darm zurückgeführt werden könnte. Patienten sind auf unerwünschte Ereignisse wie Myopathie und Rhabdomyolyse zu überwachen, wenn OATP1B1/OATP1B3 -Substrate (z. B. Simvastatin, Atorvastatin, Pravastatin, Rosuvastatin) gleichzeitig mit Voclosporin angewendet werden.
BCRP-Substrate
Voclosporin hemmt invitro das Brustkrebs-Resistenz-Protein (BCRP). Eine klinisch relevante Hemmung von BCRP im Darm kann nicht ausgeschlossen werden und Voclosporin kann invivo möglicherweise die Konzentration dieser Substrate erhöhen. Die Anwendung von BCRP-Substraten ist zu überwachen, wenn bei ihrer gleichzeitigen Anwendung mit Voclosporin bereits geringe Konzentrationsänderungen zu schwerwiegender Toxizität führen können (z. B. Rosuvastatin).
MMF
Die gleichzeitige Anwendung von Voclosporin mit Mycophenolatmofetil (MMF) hatte keine klinisch bedeutsamen Auswirkungen auf die Konzentration von Mycophenolsäure (MPA) im Blut.
CYP3A4 Substrate
Die wiederholte orale Gabe von Voclosporin (0,4 mg/kg zweimal täglich) hatte keinen klinisch relevanten Effekt auf die Pharmakokinetik des sensitiven CYP3A4-Substrats Midazolam.
In-vitro-Studien zufolge bewirkt Voclosporin weder eine Inhibition von CYP1A2, 2B6, 2C8, 2C9, 2C19 oder 2D6 noch eine Induktion von CYP1A2, 2B6 oder 3A4.
Voclosporin ist in klinisch relevanten Konzentrationen kein Inhibitor der folgenden Transporter: OAT1, OAT3, OCT2, MATE1, MATE2.

Schwangerschaft, Stillzeit

Schwangerschaft
Bislang liegen keine oder nur sehr begrenzte Erfahrungen mit der Anwendung von Lupkynis bei Schwangeren vor (weniger als 300 Schwangerschaftsresultate). Tierexperimentelle Studien haben eine Reproduktionstoxizität bei Ratten und Kaninchen gezeigt (siehe „Präklinische Daten“).
Lupkynis soll während der Schwangerschaft nicht angewendet werden, es sei denn, der erwartete Nutzen überwiegt das potentielle Risiko.
Stillzeit
Nach einer Einzeldosis von 23,7 mg Voclosporin bei stillenden Probandinnen wurden durchschnittlich 0,0047 mg Voclosporin in die Muttermilch ausgeschieden. Das Verhältnis der Voclosporin-Konzentration in der Muttermilch zum mütterlichen Blut lag im Bereich von 0,42 bis 0,95. Die höchste gewichtsbereinigte Voclosporin-Dosis eines voll gestillten Säuglings wurde auf 1,4 % der mütterlichen Dosis geschätzt. Ein Risiko für das Neugeborene/Kind kann nicht ausgeschlossen werden.
Es muss eine Entscheidung darüber getroffen werden, ob das Stillen zu unterbrechen ist oder ob auf die Behandlung mit Lupkynis verzichtet werden soll / die Behandlung mit Lupkynis zu unterbrechen ist. Dabei soll sowohl der Nutzen des Stillens für das Kind als auch der Nutzen der Therapie für die Frau berücksichtigt werden. Stillen ist nicht empfohlen für mindestens 7 Tage nach der letzten Dosis.
Fertilität
Es liegen keine Daten zu den Auswirkungen von Voclosporin auf die menschliche Fertilität vor. Tierexperimentellen Studien bei Ratten zeigten Veränderungen im männlichen Reproduktionstrakt. (siehe „Präklinische Daten“).

Wirkung auf die Fahrtüchtigkeit und auf das Bedienen von Maschinen

Die Wirkung von Voclosporin auf die Fahrtüchtigkeit und das Bedienen von Maschinen wurde nicht untersucht.

Unerwünschte Wirkungen

Zusammenfassung des Sicherheitsprofils
Die Sicherheit von Voclosporin ist in zwei placebokontrollierten, pivotalen Studien bei Lupus-Nephritis Patienten mit einer Behandlungsdauer von bis zu 52 Wochen untersucht worden.
In den ersten 4 Wochen der Behandlung mit Voclosporin tritt häufig eine hämodynamische Reduktion der eGFR auf, die sich nachfolgend stabilisiert, auch wenn die Behandlung fortgeführt wird (siehe „Warnhinweise und Vorsichtsmassnahmen“). Die häufigsten unerwünschten Arzneimittelwirkungen (UAW) im Zusammenhang mit Voclosporin sind eine Reduktion der eGFR (26,2%) und Hypertonie (19,1%). Diese unerwünschten Arzneimittelwirkungen sprechen auf eine Dosisreduktion an. Die am häufigsten berichteten schwerwiegenden unerwünschten Arzneimittelreaktionen bei der Anwendung von Voclosporin waren Infektionen (10,1%), akute Nierenschädigung (3%) und Hypertonie (1,9%).
Liste der unerwünschten Wirkungen
Die unerwünschten Arzneimittelwirkungen, die bei Patienten beobachtet wurden, die Lupkynis in der empfohlenen Dosierung im Rahmen klinischer Studien erhielten (n = 267) und/oder in der Anwendung nach Marktzulassung, sind in Tabelle 3 zusammengefasst. Alle UAW sind nach Systemorganklassen und Häufigkeit geordnet: „sehr häufig“ (≥1/10), „häufig“ (≥ 1/100, < 1/10), „gelegentlich“ (≥ 1/1‘000, < 1/100), „selten“ (≥ 1/10‘000, < 1/1‘000), „sehr selten“ (< 1/10‘000) oder „nicht bekannt“ (kann aus den verfügbaren Daten nicht abgeschätzt werden).
Tabelle 3: In klinischen Studien und/oder nach Marktzulassung festgestellte unerwünschte Arzneimittelwirkungen

Systemorganklasse

Sehr häufig

Häufig

Nicht bekannt

Infektionen und parasitäre Erkrankungen

Infektion der oberen Atemwege1 (24%)

Pneumonie
Grippe
Herpes zoster
Gastroenteritis
Harnwegsinfektion

Erkrankungen des Blutes und des Lymphsystems

Anämie (12,4%)

Erkrankungen des Immunsystems

Überempfindlich-keit

Stoffwechsel- und Ernährungsstörungen

Hyperkaliämie
Appetit vermindert

Erkrankungen des Nervensystems

Kopfschmerz (15%)

Krampfanfälle
Tremor

Gefässerkrankungen

Hypertonie2 (20,6%)

Erkrankungen der Atemwege, des Brustraums und Mediastinums

Husten (10,8%)

Erkrankungen des Gastrointestinaltrakts

Diarrhö (18,7%)
Bauchschmerzen3 (12,4%)

Übelkeit
Zahnfleischhyperplasie4
Dyspepsie
Mundulzeration

Erkrankungen der Haut und des Unterhautzellgewebes

Alopezie
Hypertrichose5

Erkrankungen der Nieren und Harnwege

Glomeruläre Filtrationsrate vermindert 6,7
(18,4%)

Akute Nierenerkrankung6 Akute Nierenschädigung6

1 Schliesst die folgenden bevorzugten Begriffe (Preferred Terms, PT) ein: Virale Infektion der oberen Atemwege und bakterielle Infektion der oberen Atemwege
2 Schliesst die folgenden PT ein: Hypertonie, Blutdruck erhöht, diastolischer Blutdruck erhöht, diastolische Hypertonie
3 Schliesst die folgenden PT ein: Schmerzen Oberbauch, abdominale Beschwerden
4 Schliesst die folgenden PT ein: Gingivitis, Zahnfleischbluten, Zahnfleischhypertrophie, Zahnfleischschwellung ein
5 Schliesst PT Hypertrichose und Hirsutismus ein
6 Schliesst PT Niereninsuffizienz ein
7 Schliesst PT Blutkreatinin erhöht ein
________________________
Beschreibung spezifischer unerwünschter Wirkungen und Zusatzinformationen
Infektionen
Die Gesamtinzidenz von Infektionen betrug 62,2% in der Voclosporin-Gruppe und 54,9% in der Placebo-Gruppe. Infektionen, die bei mindestens 5% der Patienten unter Voclosporin und mindestens 1% häufiger als bei Patienten unter Placebo auftraten, waren Harnwegsinfektion, virale Infektion der oberen Atemwege, Herpes Zoster und Gastroenteritis. Schwerwiegende Infektionen traten bei 10,1% der Voclosporin-Patienten und 10,2% der Placebo-Patienten auf; die häufigsten Infektionen hierbei waren Pneumonie (Voclosporin 4,1%, Placebo 3,8%), Gastroenteritis (Voclosporin 1,5%, Placebo 0,4%) und Harnwegsinfektion (Voclosporin 1,1%, Placebo 0,4%). Schwerwiegende opportunistische Infektionen traten bei 1,1% der Voclosporin-Patienten und 0,8% der Placebo-Patienten auf. Tödliche Infektionen traten bei 0,7% der Patienten unter Voclosporin und 0,8% der Patienten unter Placebo auf (siehe »Warnhinweise und Vorsichtsmassnahmen»).
Nierentoxizität
Unerwünschte Wirkungen, die auf eine Nierentoxizität hindeuteten und unter Voclosporin mit einer um ≥ 1% grösseren Häufigkeit als unter Placebo auftraten, waren eine verringerte eGFR (26,2% vs. 9,4%), Niereninsuffizienz (5,6% vs. 2,6%), akute Nierenschädigung (3,4% vs. 0,8%) und Hyperkaliämie (1,9% vs. 0,8%). Schwerwiegende unerwünschte Wirkungen wurden bei 5,2% der Voclosporin-Patienten und 3,4% der Placebo-Patienten berichtet.
Die häufigsten unerwünschten Wirkungen, die zu einer Dosisanpassung (Dosisreduktion oder vorübergehendes Absetzen) führten, waren eine verringerte eGFR (Voclosporin 23,6%, Placebo 6,8%), Niereninsuffizienz (Voclosporin 3,0%, Placebo 0,8%) und akutes Nierenversagen (Voclosporin 0,7%, Placebo 0%). Die häufigsten unerwünschten Wirkungen, die zu einem dauerhaften Absetzen des Arzneimittels führten, waren eine verringerte eGFR (Voclosporin 3,7%, Placebo 1,9%) und Niereninsuffizienz (Voclosporin 1,9%, Placebo 1,5%).
Hypertonie
Hypertonie wurde bei 19,1% der Voclosporin-Patienten und 8,6% der Placebo-Patienten berichtet. Die Inzidenz von Hypertonie war in den ersten 4 Wochen der Behandlung mit Voclosporin am höchsten und nahm anschliessend ab. Die Hypertonie war bei 1,1% der Voclosporin-Patienten und 0,8% der Placebo-Patienten schwerwiegend. Eine schwerwiegende Hypertonie trat bei 1,9% der Voclosporin-Patienten und 0,4% der Placebo-Patienten auf.
Langzeitexposition (bis zu 36 Monate)
Das Muster der unerwünschten Wirkungen bei fortgesetzter Behandlung (12 bis 36 Monate) entsprach dem im ersten Behandlungsjahr beobachteten Muster; in den Folgejahren war die Inzidenz der überwiegenden Mehrheit der Ereignisse geringer. Die Gesamtinzidenz von Infektionen betrug 49,1% in der Voclosporin-Gruppe und 43,0% in der Placebo-Gruppe. Infektionen, die bei mindestens 5% der Voclosporin-Patienten und mindestens 1% häufiger als bei Placebo-Patienten auftraten, waren Harnwegsinfektion, Infektion der oberen Atemwege, virale Infektion der oberen Atemwege und Gastroenteritis. Schwerwiegende Infektionen traten bei 6,9% der Voclosporin-Patienten und bei 8,0% der Placebo-Patienten auf. Die häufigsten Infektionen waren Coronavirusinfektion (Voclosporin 1,7%, Placebo 5,0%) und virale Pneumonie (Voclosporin 0%, Placebo 2%). Auf Nierentoxizität hindeutende unerwünschte Wirkungen, die unter Voclosporin häufiger vorkamen als unter Placebo, waren eine verringerte eGFR (10,3% bzw. 5,0%) und Nierenfunktionsbeeinträchtigung (3,4% bzw. 2,0%). Hypertonie wurde bei 8,6% der Voclosporin-Patienten und 7,0% der Placebo-Patienten berichtet.
Die Meldung des Verdachts auf Nebenwirkungen nach der Zulassung ist von grosser Wichtigkeit. Sie ermöglicht eine kontinuierliche Überwachung des Nutzen-Risiko-Verhältnisses des Arzneimittels. Angehörige von Gesundheitsberufen sind aufgefordert, jeden Verdacht einer neuen oder schwerwiegenden Nebenwirkung über das Online-Portal ElViS (Electronic Vigilance System) anzuzeigen. Informationen dazu finden Sie unter www.swissmedic.ch.

Überdosierung

Anzeichen und Symptome
Zur Überdosierung liegen nur begrenzte Erfahrungen vor. Bisher wurde nur über sehr wenige Fälle von versehentlicher Voclosporin-Überdosierung berichtet. Zu den dabei aufgetretenen Symptomen gehörten Tremor und Tachykardie. In einer Arzneimittelinteraktionsstudie an gesunden Probanden, in der die gleichzeitige Anwendung von Ketoconazol und Voclosporin zu einem Anstieg der Voclosporin-Exposition um den Faktor 18,6 führte, wurden die Erhöhung des Serumkreatinins, Verringerung des Serummagnesiums und Erhöhung des Blutdrucks beobachtet.
Behandlung
Es ist kein spezifisches Antidot für die Voclosporin-Therapie verfügbar. Bei einer Überdosierung sind allgemeine unterstützende Massnahmen und eine symptomatische Behandlung einzuleiten, einschliesslich eines vorübergehenden Aussetzens der Behandlung mit Voclosporin und Bestimmung der Harnstoff-Stickstoff-Spiegel im Blut, des Serumkreatinins, der eGFR und der Alanin-Aminotransferase-Spiegel.

Eigenschaften/Wirkungen

ATC-Code
L04AD03
Immunsuppressiva, Calcineurin-Inhibitoren
Wirkungsmechanismus
Voclosporin ist ein Immunsuppressivum mittels der Calcineurin-Inhibition. Bei der Aktivierung von Lymphozyten kommt es zu einem Anstieg der intrazellulären Calciumkonzentration. Calcineurin ist eine Calcium-/Calmodulin-abhängige Phosphatase, deren Aktivität für die Induktion der Lymphokinproduktion und Proliferation von T-Zellen erforderlich ist. Die immunsuppressive Aktivität führt zur Inhibition der Lymphozytenproliferation, T-Zell-Zytokinproduktion und Expression von T-Zell-Aktivierungs-Oberflächenantigenen.
Studien an Tiermodellen sprechen auch für eine nicht-immunologischen Einfluss der Calcineurin-Inhibition auf die Nierenfunktion im Sinne einer Stabilisierung des Aktin-Zytoskeletts und der Stressfasern von Podozyten, die zu erhöhter Integrität der Podozyten in den Glomeruli führt.
Pharmakodynamik
Calcineurin-Inhibition
Nach zweimal täglicher oraler Anwendung von Voclosporin bei gesunden Probanden wurde eine konzentrationsabhängige Calcineurin-Inhibition, gemessen als Prozentsatz der maximalen Calcineurin-Inhibition, beobachtet. Es besteht kein oder kaum ein zeitlicher Abstand zwischen der Zeit bis zur maximalen Wirkstoffkonzentration und der Zeit bis zur maximalen Calcineurin-Inhibition. Die von Voclosporin bewirkte Calcineurin-Inhibition ist dosisabhängig bis zu einer maximalen Dosis von 1,0 mg/kg. Unter einer Voclosporin-Dosis von 23,7 mg zweimal täglich wurde eine Calcineurin-Inhibition von 16% bei Ctrough und 58% bei Cmax festgestellt.
Kardiale Elektrophysiologie
In einer randomisierten, placebo- und aktiv (mit Moxifloxacin 400 mg) kontrollierten Einzeldosisstudie mit Parallelgruppen-Studiendesign wurde eine dosisabhängige Verlängerung des QT-Intervalls mit Voclosporin im Dosisbereich von 0,5 mg/kg bis 4,5 mg/kg (bis zum 9-Fachen der Exposition bei der therapeutischen Dosis) festgestellt. Die dosisabhängige Wirkung auf die QT-Verlängerung ergab bei verschiedenen Dosen eine Zeit bis zur maximalen QTc-Verlängerung von 4 bis 6 Stunden nach der Dosisgabe. Die maximalen mittleren Placebokorrigierten Veränderungen der QTcF gegenüber dem Ausgangswert nach Gabe von Voclosporin in einer Dosis von 0,5 mg/kg, 1,5 mg/kg, 3,0 mg/kg und 4,5 mg/kg betrugen 6,4 msec, 17,5 msec, 25,7 msec bzw. 34,6 msec.
Die Wirkung der wiederholten Gabe von zweimal täglich Voclosporin 0,3 mg/kg, 0,5 mg/kg und 1,5 mg/kg auf das QTc-Intervall wurde in einer randomisierten, placebo- und aktiv (mit Moxifloxacin 400 mg) kontrollierten Crossover-Studie an 31 gesunden Probanden untersucht. In den mit 0,3 mg/kg und 0,5 mg/kg Voclosporin (d. h. dem Dosisbereich der LN-Therapie) behandelten Gruppen betrug der mittlere maximale Unterschied zu Placebo beim QTcF-Intervall 0,8 msec bzw. 2,4 msec, jeweils mit einer Obergrenze des einseitigen 95-%-KI von 4,7 msec bzw. 6,2 msec. Unter der supra-therapeutischen Dosis von 1,5 mg/kg zweimal täglich betrug der mittlere Unterschied zu Placebo beim QTcI-Intervall 2,8 msec, mit der Obergrenze des einseitigen 95-%-KI bei 6,9 msec. Auf der Grundlage von Daten von Lupus-Nephritis Patienten, die Voclosporin in einer Dosierung von 23,7 mg oder 39,5 mg zweimal täglich erhielten, ergab eine Regressionsanalyse der placebokorrigierten QTcF-Veränderung gegenüber Studienbeginn eine negative Steigung (-0,065344 msec/ng/ml) ohne statistischen Unterschied zu einer Steigung von 0 (p = 0,1042).
Klinische Wirksamkeit
Die Sicherheit und Wirksamkeit von Voclosporin wurden in zwei placebokontrollierten klinischen Studien (AURORA 1 und AURA-LV) bei Patienten mit Lupus-Nephritis der Klasse III oder IV (allein oder in Kombination mit Klasse V) oder der reinen Klasse V untersucht. Alle Patienten erhielten eine Basistherapie mit MMF (2 g/Tag) und niedrig dosierten Kortikosteroiden (bis zu insgesamt 1 g Methylprednisolon intravenös (i.v.) an Tag 1 und 2, gefolgt von einer Anfangsdosis oraler Kortikosteroide von 25 mg/Tag (oder 20 mg/Tag bei einem Körpergewicht <45 kg), die bis Woche 16 auf 2,5 mg/Tag herabtitriert wurde).
Während der gesamten Studien durften die Patienten keine Immunsuppressiva (ausser MMF und Hydroxychloroquin/Chloroquin) einnehmen oder die Dosierung von Angiotensin-II-Rezeptorblocker (ARB) oder Angiotensin-Converting-Enzyme (ACE)-Hemmer ändern.
Die Sicherheit und Wirksamkeit wurden in einer zweijährigen Verlängerungsstudie (AURORA 2) bei Patienten, die die Studie AURORA 1 abgeschlossen hatten, weiter untersucht.
Phase-3-Studie AURORA 1
Die AURORA 1 Studie war eine prospektive, randomisierte, doppelblinde Phase 3 Studie, in der Voclosporin zweimal täglich 23,7 mg (entsprechend einer Dosis von 0,37 mg/kg; n = 179) gegenüber Placebo (n = 178) über einen Behandlungszeitraum von 52 Wochen verglichen wurde.
Im Voclosporin-Arm erreichten mehr Patienten als im Placebo-Arm den primären Endpunkt des adjudizierten renalen Ansprechens (definiert als Urin-Protein/Kreatinin-Quotient (UPCR) ≤ 0,5 mg/mg bei normaler, stabiler Nierenfunktion und unter kontinuierlicher, niedrig dosierter Steroidtherapie) nach 52 Wochen (40,8% vs. 22,5%; OR = 2,65; 95-%-KI: 1,64, 4,27; p < 0,001).
Die demografischen Merkmale der Studienpatienten waren über die beiden Behandlungsarme ausgewogen verteilt. Das Durchschnittsalter betrug 33 Jahre (Bereich 18 bis 72 Jahre) und die Mehrheit der Teilnehmer war weiblich (87,7%), darunter 81,8% im gebärfähigen Alter.
Die meisten Teilnehmer waren kaukasischer (36,1%) oder asiatischer (30,5%) Herkunft, und ca. ein Drittel der Studienpopulation war hispanischer oder lateinamerikanischer Herkunft.
Das Durchschnittsgewicht betrug 66,5 kg (Bereich 36 bis 142 kg). Die mediane Zeit seit Diagnose eines systemischen Lupus erythematodes (SLE) betrug 5,0 Jahre und die mediane Zeit seit Diagnose der Lupus-Nephritis betrug 2,0 Jahre.
Alle vorab definierten, hierarchischen sekundären Endpunkte erreichten statistische Signifikanz zugunsten von Voclosporin (siehe Tabelle 4).
Tabelle 4: AURORA 1 – Zusammenfassung der hierarchischen Endpunkte

Voclosporin
(n = 179)
n (%)

Placebo
(n = 178)
n (%)

Odds Ratio vs. Placebo
(95-%-KI)

p-Wert

Adjudiziertes renales Ansprechen in Woche 52

73
(40,8)

40
(22,5)

2,65
(1,64, 4,27)

< 0,001

Adjudiziertes renales Ansprechen in Woche 24

58
(32,4)

35
(19,7)

2,23
(1,34, 3,72)

= 0,002

Partielles renales Ansprechen* in Woche 24

126
(70,4)

89
(50,0)

2,43
(1,56, 3,79)

< 0,001

Partielles renales Ansprechen* in Woche 52

125
(69,8)

92
(51,7)

2,26
(1,45, 3,51)

< 0,001

Zeit bis UPCR ≤0,5 mg/mg

Voclosporin schneller als Kontrolle

2,02
(1,51, 2,70)

< 0,001

Zeit bis 50% Reduktion der UPCR

Voclosporin schneller als Kontrolle

2,05
(1,62, 2,60)

< 0,001

* Partielles renales Ansprechen war definiert als 50% Reduktion der UPCR.
Anmerkungen: KI = Konfidenzintervall; UPCR = Urin-Protein/Kreatinin-Quotient
Die Ergebnisse von Kovariaten-Analysen nach Alter, Geschlecht, ethnischer Abstammung, Region, Biopsie-Klasse, MMF beim Screening und MMF-Höchstdosis beschreiben in allen Untergruppen eine Odds Ratio zugunsten von Voclosporin vs. Placebo (Abbildung 1).
Abbildung 1: Forest-Plot des adjudizierten renalen Ansprechens in Woche 52 nach Untergruppen

Im Voclosporin-Arm erreichten mehr Patienten verglichen zum Placebo-Arm einen UPCR ≤0,5 mg/mg (64,8% vs. 43,8%), und die Zeit bis zur Erreichung eines UPCR ≤ 0,5 mg/mg war unter Voclosporin signifikant kürzer (mediane Dauer: 169 Tage vs. 372 Tage unter Placebo; Hazard Ratio (HR) 2,02; 95-%-KI: 1,51, 2,70; p < 0,001).
Wie im Kaplan-Meier-Plot (Abbildung 2) zu erkennen, wurde der Unterschied zwischen den beiden Behandlungsarmen im ersten Monat sichtbar und hatte für die gesamte Dauer der Studie Bestand.
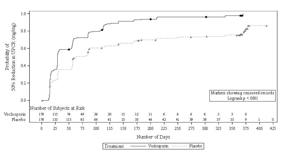
Abbildung 2: Kaplan-Meier-Kurve der Zeit (Tage) bis UPCR ≤ 0,5 mg/mg

96,6% der Patienten, die mit Voclosporin behandelt wurden, erreichten eine 50%ige Reduktion der UPCR gegenüber Behandlungsbeginn; bei den Patienten, die Placebo erhielten, waren es 75,8%. Die Zeit bis zur Erreichung dieser 50%igen UPCR-Reduktion war im Voclosporin-Arm signifikant kürzer als im Placebo-Arm (HR 2,05; 95-%-KI: 1,62, 2,60; p < 0,001). Die mediane Zeit bis zur 50%igen Reduktion der UPCR betrug 29 Tage unter Voclosporin vs. 63 Tage unter Placebo (Abbildung 3).
Abbildung 3: Kaplan-Meier-Kurve der Zeit (Tage) bis 50% Reduktion der UPCR gegenüber Behandlungsbeginn

Phase-3-Studie AURORA 2
Bei der AURORA-2-Studie handelte es sich um eine Verlängerungsstudie mit Patienten, die die AURORA-1-Studie abgeschlossen hatten. Die Patienten wurden mit der gleichen Behandlung, die sie am Ende der AURORA-1-Studie erhalten hatten, 2 weitere Jahre lang weiterbehandelt.
Voclosporin wurde gut vertragen und bei den Patienten, die weiterhin Voclosporin erhielten, wurden keine neuen oder unerwarteten Sicherheitssignale beobachtet. Die Inzidenz unerwünschter Ereignisse nahm mit der Zeit in beiden Behandlungsarmen ab, und die 3-Jahres-Sicherheitsdaten zu Voclosporin bei Patienten mit Lupus-Nephritis ergaben keine Hinweise auf eine chronische Nierentoxizität, Neurotoxizität oder ein gehäuftes Auftreten maligner Erkrankungen. Darüber hinaus blieb die mittlere eGFR über den 3jährigen Behandlungszeitraum hinweg stabil.
Der Anteil der Patienten, der einen UPCR ≤ 0,5 mg/mg erreichte, wurde über den Studienverlauf in beiden Behandlungsarmen aufrechterhalten. Der Anteil der Patienten, der einen UPCR ≤ 0,5 mg/mg erreichte, war in der Voclosporin-Gruppe zu allen Zeitpunkten grösser als in der Placebo-Gruppe.

Pharmakokinetik

Absorption
Nach oraler Einnahme (Voclosporin 23,7 mg zweimal täglich, nüchtern) beträgt die mediane Zeit bis zur Erreichung der maximalen Konzentration im Vollblut (Cmax) 1,5 Stunden (Bereich: 0,75 Stunden bis 2 Stunde). Bei einem zweimal täglichen Dosierungsschema wird das Steady-State von Voclosporin nach 6 Tagen erreicht; Voclosporin akkumuliert hierbei auf etwa das 2-Fache im Vergleich zu einer Einzeldosis. Im Steady-State betrugen die mittleren Cmax von Voclosporin im Vollblut 120 ng/ml (32% VK) und die Tiefstwerte (trough-level) vor der nächsten Dosis 15,0 ng/ml (49% VK). Voclosporin ist kein Substrat der Efflux-Transporter Pgp oder BCRP (breast cancer resistance protein).
Die Gabe zu einer fettreichen Mahlzeit führte zu einer Reduktion der Cmax und AUC von Voclosporin um 53% bzw. 25% und bei einer fettarmen Mahlzeit um 29% bzw. 15%. Diese Veränderungen wurden als klinisch nicht relevant eingeschätzt. Voclosporin kann daher unabhängig von einer Mahlzeit eingenommen werden.
Distribution
Voclosporin wird zu 97% an Plasmaproteine gebunden. Voclosporin verteilt sich extensiv in Erythrozyten; die Verteilung zwischen Vollblut und Plasma ist hierbei konzentrations- und temperaturabhängig. Eine populationspharmakokinetische Analyse bei Patienten ergab ein scheinbares Verteilungsvolumen (Vss/F) von 2‘154 l.
Metabolismus
Voclosporin wird – vor allem durch CYP3A4 – extensiv metabolisiert; hierbei entstehen oxidative Metaboliten. Voclosporin ist die wichtigste zirkulierende Komponente nach einer Einzeldosis [14C]-Voclosporin. Ein Hauptmetabolit wurde im menschlichen Vollblut beobachtet; er machte 16,7% der Gesamtexposition aus. Es ist nicht zu erwarten, dass der Hauptmetabolit zur pharmakologischen Aktivität von Voclosporin beiträgt, da er im Rahmen eines Lymphozyten-Proliferations-Assays als etwa 8-mal weniger potent beschrieben wurde.
Elimination
Die mittlere scheinbare Clearance im Steady-State (CLss/F) nach Voclosporin 23,7 mg zweimal täglich beträgt 63,6 l/h (37,5% VK). Die mittlere terminale Halbwertszeit (t½) im Steady-State beträgt ca. 30 Stunden (Bereich: 24,9 Stunden bis 36,5 Stunden).
Nach einmaliger oraler Gabe von 70 mg [14C]-Voclosporin wurden 94,8% der Radioaktivität innerhalb von 168 Stunden nach der Verabreichung wiedergefunden: 92,7% in den Faeces (davon 5% als unverändertes Voclosporin) und 2,1% im Urin (davon 0,25% als unverändertes Voclosporin).
Linearität/Nichtlinearität
Bei gesunden Probanden wurde im unteren untersuchten Dosisbereich (0,25 mg/kg bis 1,5 mg/kg zweimal täglich) ein nichtlineares Verhältnis zwischen Dosis und Exposition festgestellt; dies hatte einen relativ geringen Einfluss auf die Pharmakokinetik. Es wurde ein mehr als dosisproportionaler Anstieg beobachtet, jedoch war der Dosis-Proportionalitätsfaktor immer kleiner als 1,5. Diese Nichtlinearität wurde über den bei Lupus-Nephritis Patienten untersuchten Dosisbereich nicht festgestellt.
Kinetik spezieller Patientengruppen
Leberfunktionsstörungen
In einer Studie speziell zu Leberfunktionsstörungen wurde die systemische Voclosporin-Exposition bei Patienten mit gering- bis mittelgradiger Leberfunktionsstörung (Child-Pugh A bzw. B) mit der gesunder Kontrollpersonen mit normaler Leberfunktion verglichen. Bei Patienten mit gering- bis mittelgradiger Leberfunktionsstörung waren die Cmax und die AUC0–48 von Voclosporin um den Faktor 1,5 bzw. 2,0 erhöht (siehe „Dosierung/Anwendung“). Bei Patienten mit hochgradiger Leberfunktionsstörung (Child-Pugh C) wurde Voclosporin bisher nicht untersucht, daher wird die Anwendung bei dieser Patientenpopulation nicht empfohlen (siehe „Warnhinweise und Vorsichtsmassnahmen“).
Nierenfunktionsstörungen
In klinischen Studien wurde die Nierenfunktion anhand der eGFR überwacht, und die Dosis auf der Grundlage eines vordefinierten Dosisanpassungsprotokolls angepasst. Eingeschlossene Lupus-Nephritis Patienten hatten eine Basis eGFR > 45 ml/min/1,73 m2. Die Dosierungsanpassungen sind entsprechend den Empfehlungen in Tabelle 1 vorzunehmen.
Eine spezielle Studie zur Nierenfunktionseinschränkung ergab, dass nach einmaliger und wiederholter Gabe von Voclosporin die Cmax und AUC bei Probanden mit geringgradiger (Kreatinin-Clearance (CLCr) 60 ml/min bis 89 ml/min nach Cockcroft-Gault) und mittelgradiger Nierenfunktionseinschränkung (CLCr 30 ml/min bis 59 ml/min) vergleichbar mit Probanden mit normaler Nierenfunktion (CLCr ≥90 ml/min) waren. Nach einmaliger Verabreichung von Voclosporin an Probanden mit hochgradiger Nierenfunktionsstörung (CLCr <30 ml/min) stiegen Cmax und AUC auf das 1,5- bzw. 1,7-Fache. Die Auswirkung einer terminalen Niereninsuffizienz (ESRD) mit oder ohne Hämodialyse auf die Pharmakokinetik von Voclosporin ist nicht bekannt (siehe „Dosierung/Anwendung“).
Alter, Geschlecht, ethnische Herkunft und Körpergewicht
Eine populationspharmakokinetische Analyse zur Beurteilung der Auswirkungen von Alter (18 bis 66 Jahre), Geschlecht, ethnischer Herkunft und Körpergewicht (37 bis 133 kg) lässt keine klinisch bedeutsamen Einflüsse dieser Kovariaten auf die Voclosporin-Expositionen vermuten.

Präklinische Daten

Langzeittoxizität
Tierexperimentelle Studien mit wiederholter Gabe zeigten Katarakte und neurohistologische Befunde von Gliose und perivaskulären Infiltraten im Gehirn und Rückenmark bei Ratten, nicht jedoch bei Hunden oder Affen.
In einer 39wöchigen Studie zur oralen Toxizität an Cynomolgus-Affen wurden maligne Lymphome bei Expositionen beobachtet, die dem 4-Fachen der AUC bei der empfohlenen klinischen Dosis von 23,7 mg zweimal täglich entsprachen.
Mutagenität
In konventionellen Studien zur Genotoxizität zeigte Voclosporin keine mutagenen oder genotoxischen Wirkungen.
Karzinogenität
In einer 2jährigen Karzinogenitätsstudie bei Mäusen mit oral verabreichtem Voclosporin wurde eine erhöhte Inzidenz maligner Lymphome bei Expositionen beobachtet, die dem 5,4-Fachen der AUC bei der empfohlenen klinischen Dosis von 23,7 mg zweimal täglich entsprachen. Eine 2jährige Karzinogenitätsstudie bei Ratten mit oral verabreichtem Voclosporin ergab keine Hinweise auf Karzinogenität. Jedoch war die Exposition niedriger als die humane Exposition bei der beantragten klinischen Dosis.
In einer 39wöchigen Studie zur oralen Toxizität an Cynomolgus-Affen wurden maligne Lymphome bei Expositionen beobachtet, die dem 4- bis 7-Fachen der AUC bei der empfohlenen klinischen Dosis von 23,7 mg zweimal täglich entsprachen.
Reproduktionstoxizität
In einer Studie zur Fertilität bei Ratten mit dem 50:50-Gemisch aus Voclosporin und seinem cis-Isomer wurden bei einer Dosis von 25 mg/kg/Tag keine Effekte auf die Paarungs- und Fertilitätsparameter sowie auf die Anzahl und Motilität der Spermien bei Expositionen, die dem 9- bis 16-Fachen der AUC bei der empfohlenen klinischen Dosis von 23,7 mg zweimal täglich entsprachen, festgestellt.
Studien zur embryofetalen Entwicklung wurden mit dem 50:50-Gemisch aus Voclosporin und seinem cis-Isomer sowohl bei Ratten als auch bei Kaninchen und mit Voclosporin bei Kaninchen durchgeführt. Embryofetale Toxizität war bei Dosen zu beobachten, die mit maternaler Toxizität (bei Expositionen, die dem 15- und 1-Fachen der AUC bei der empfohlenen klinischen Dosis von 23,7 mg zweimal täglich entsprachen) assoziiert waren. Zu den maternalen Effekten zählten Veränderungen des Körpergewichts und/oder geschwollene Brustdrüsen, während die fetalen Effekte eine leichte Reduktion des Körpergewichts und damit verbundene Variationen der Skelettentwicklung umfassten. In den Studien wurden keine Missbildungen festgestellt.
In einer Studie zur prä- und postnatalen Entwicklung bei Ratten wurde bei einer Dosis von 25 mg/kg/Tag Voclosporin (d. h. bei Expositionen, die dem 12-Fachen der AUC bei der empfohlenen klinischen Dosis von 23,7 mg zweimal täglich entsprachen) eine durch maternale Toxizität bedingte Verzögerung der Geburt (Dystokie) beobachtet, die zu Reduktionen der mittleren Anzahl der geborenen Jungtiere und der überlebenden Jungtiere pro Wurf führte. Es wurden keine unerwünschten Wirkungen auf die Muttertiere oder deren Nachkommen beobachtet bei Expositionen die dem 3-Fachen der AUC bei der empfohlenen klinischen Dosis von 23,7 mg zweimal täglich entsprachen.
Nach oraler Gabe von [14C]-markiertem Voclosporin bei säugenden Ratten wurde die vom Arzneimittel stammende Radioaktivität rasch in die Milch verteilt.

Sonstige Hinweise

Haltbarkeit
Das Arzneimittel darf nur bis zu dem auf der Packung mit „EXP“ bezeichneten Datum verwendet werden.
Besondere Lagerungshinweise
Nicht über 25 °C lagern
In der Originalverpackung (Blister) aufbewahren, um den Inhalt vor Feuchtigkeit zu schützen.
Ausser Reichweite von Kindern aufbewahren.

Zulassungsnummer

68697 (Swissmedic)

Packungen

Lupkynis 7,9 mg Weichkapseln in Blisterpackungen. Eine Schachtel enthält 180 Weichkapseln. [B]

Zulassungsinhaberin

Otsuka Pharmaceutical (Switzerland) GmbH, Opfikon

Stand der Information

April 2025

2025 ©ywesee GmbH
Hilfe | Anmeldung | Kontakt | Home