Fachinformation VYEPTI® Lundbeck (Schweiz) AG ZusammensetzungWirkstoffe
Eptinezumab ist ein rekombinanter humanisierter monoklonaler Antikörper, der aus Pichia pastoris Hefezellen hergestellt wird.
Hilfsstoffe
L-Histidin, L-Histidinhydrochlorid-Monohydrat, Polysorbat 80, 40.5 mg Sorbitol (E420) und Wasser für Injektionszwecke.
Indikationen/AnwendungsmöglichkeitenProphylaktische Behandlung der Migräne bei Erwachsenen, sofern diese indiziert ist.
Dosierung/AnwendungDie Indikation für die Therapie muss durch einen Arzt oder eine Ärztin mit Erfahrung auf dem Gebiet der Migränebehandlung gestellt und durch diese in der weiteren Behandlung begleitet werden.
Wie andere Infusionsbehandlungen sollte auch die Behandlung mit Vyepti durch medizinische Fachpersonen überwacht werden.
Die empfohlene Dosis beträgt 100 mg und wird alle 12 Wochen durch intravenöse Infusion verabreicht. Einige Patienten können möglicherweise von einer Dosierung von 300 mg, alle 12 Wochen durch intravenöse Infusion verabreicht, profitieren (siehe «Eigenschaften/Wirkungen»).
Bei mangelndem Therapieansprechen, beziehungsweise nach spätestens 12 Monaten, sollte eine Reevaluation zur Fortführung der Therapie vorgenommen werden. Die Daten zur Sicherheit und Wirksamkeit über 12 Monate hinaus sind limitiert.
Spezielle Dosierungsanweisungen
Patienten mit Nieren-/Leberfunktionsstörungen
Bei Patienten mit leichter bis mässiger Einschränkung der Nieren- bzw. Leberfunktion ist keine Dosisanpassung erforderlich (siehe «Kinetik spezieller Patientengruppen»).
Patienten mit schwerer Nieren-/Leberfunktionsstörung wurden nicht untersucht.
Ältere Patienten
Es liegen nur begrenzte Daten zur Anwendung bei Patienten im Alter von 65 Jahren und älter vor. Da die Pharmakokinetik von Vyepti durch das Alter nicht beeinflusst wurde, ist keine Dosisanpassung bei älteren Patienten erforderlich.
Pädiatrie
Die Sicherheit und Wirksamkeit von Vyepti bei Kindern und Jugendlichen unter 18 Jahren wurde noch nicht nachgewiesen. Es sind derzeit keine Daten verfügbar. Vyepti darf daher bei dieser Altersgruppe nicht angewendet werden.
Verspätete Dosisgabe:
Wenn eine Dosis vergessen wurde, ist die nächste Dosis so bald wie möglich zu verabreichen und anschliessend mit dem vierteljährlichen Verabreichungsschema fortzufahren.
Art der Anwendung
Eptinezumab ist zur intravenösen Infusion bestimmt und nur nach Verdünnung anzuwenden.
Hinweise zur Verdünnung des Arzneimittels vor der Verabreichung finden sich unter «Sonstige Hinweise».
Rückverfolgbarkeit
Um die Rückverfolgbarkeit von biotechnologisch hergestellten Arzneimitteln sicherzustellen, wird empfohlen, Handelsname und Chargennummer bei jeder Behandlung zu dokumentieren.
KontraindikationenÜberempfindlichkeit gegenüber dem Wirkstoff Eptinezumab oder einem der Hilfsstoffe gemäss Zusammensetzung.
Warnhinweise und VorsichtsmassnahmenÜberempfindlichkeit
Von schweren Überempfindlichkeitsreaktionen, einschliesslich anaphylaktischer Reaktionen, wurde berichtet, welche sich innerhalb von Minuten nach der Infusion entwickeln können. Die meisten Überempfindlichkeitsreaktionen traten während der Infusion auf und waren nicht schwerwiegend (siehe «Unerwünschte Wirkungen»). Wenn eine schwerwiegende Überempfindlichkeitsreaktion auftritt, muss die Verabreichung von Vyepti abgebrochen und eine geeignete Therapie eingeleitet werden.
Es liegen keine Daten zur Reexposition gegenüber Eptinezumab nach (leichten) Hypersensitivitätsreaktionen vor, welche bei erneuter Behandlung schwerwiegender ausfallen könnten.
Kardiovaskuläres Risiko
Patienten mit einer Herz-Kreislauf-Erkrankung in der Vorgeschichte wurden aus klinischen Studien ausgeschlossen (siehe «Eigenschaften/Wirkungen, klinische Wirksamkeit»). Für diese Patienten liegen keine Daten zur Sicherheit vor.
Pädiatrie
Die Sicherheit und Wirksamkeit von Vyepti bei Kindern und Jugendlichen ist nicht gezeigt worden. Vyepti darf daher bei dieser Altersgruppe nicht angewendet werden.
Sorbitol
Dieses Arzneimittel enthält 40.5 mg Sorbitol pro Durchstechflasche entsprechend 40.5 mg/ml.
Die additive Wirkung gleichzeitig angewendeter Sorbitol (oder Fructose) -haltiger Arzneimittel und die Einnahme von Sorbitol (oder Fructose) über die Nahrung ist zu berücksichtigen. Patienten mit hereditärer Fructoseintoleranz (HFI) dürfen dieses Arzneimittel nicht erhalten, es sei denn, es ist zwingend erforderlich.
Vor Anwendung dieses Arzneimittels ist bei jedem Patienten eine detaillierte Anamnese im Hinblick auf Symptome einer HFI zu erheben.
InteraktionenPharmakokinetische Interaktionen
Eptinezumab wird nicht durch Cytochrom-P450-Enzyme metabolisiert. Interaktionen von Eptinezumab mit Begleitmedikamenten, die Substrate, Induktoren oder Inhibitoren von Cytochrom-P450-Enzymen sind, werden deshalb als unwahrscheinlich angesehen.
Bei gesunden Probanden führte die gleichzeitige Verabreichung einer Einzeldosis von 300 mg Eptinezumab als intravenöse Infusion (über eine Dauer von 1 Stunde ± 15 Minuten) und einer subkutanen Einzeldosis von 6 mg Sumatriptan nicht zu einer veränderten Pharmakokinetik von Eptinezumab oder Sumatriptan.
Interaktionen mit anderen Arzneimitteln wurden nicht untersucht.
Schwangerschaft, StillzeitSchwangerschaft
Es gibt nur eine sehr begrenzte Menge an Daten über die Anwendung von Eptinezumab bei schwangeren Frauen. Tierexperimentelle Studien mit Eptinezumab zeigten keine direkten oder indirekten schädlichen Wirkungen in Bezug auf Reproduktionstoxizität (siehe «Präklinische Daten»). Von humanem IgG ist bekannt, dass es die Plazentaschranke überwindet; Eptinezumab kann deshalb von der Mutter auf den sich entwickelnden Fötus übertragen werden.
Vyepti soll bei schwangeren Frauen nicht verwendet werden, es sei denn, dies ist eindeutig erforderlich.
Stillzeit
Es existieren keine Daten zum Vorhandensein von Eptinezumab in der Muttermilch, zu den Auswirkungen auf den gestillten Säugling oder zu den Auswirkungen auf die Milchbildung. Von humanem IgG ist bekannt, dass es in die Muttermilch ausgeschieden wird; Eptinezumab kann deshalb von der Mutter auf den gestillten Säugling übertragen werden. Daher sollte eine Entscheidung darüber getroffen werden, ob abgestillt oder Vyepti abgesetzt wird, wobei der mögliche Nutzen von Vyepti für die Mutter und der mögliche Nutzen des Stillens gegeneinander abzuwägen sind.
Fertilität
Die Auswirkungen von Eptinezumab auf die Fertilität beim Menschen wurden nicht untersucht. Tierexperimentelle Studien mit Eptinezumab zeigten keine Auswirkungen in Bezug auf Fertilität (siehe «Präklinische Daten»).
Wirkung auf die Fahrtüchtigkeit und auf das Bedienen von MaschinenEs wurden keine entsprechenden Studien durchgeführt. Aufgrund der verfügbaren Daten wird jedoch erwartet, dass Vyepti keinen Einfluss oder einen vernachlässigbaren Einfluss auf die Fahrtüchtigkeit oder die Fähigkeit, Maschinen zu bedienen, hat.
Unerwünschte WirkungenIn klinischen Studien wurden über 2000 Patienten (mehr als 1600 Patientenjahre) mit Eptinezumab behandelt. Davon erhielten ungefähr 1500 Patienten 100 mg oder 300 mg. Über alle Dosierungen hinweg wurden 1872 Patienten mindestens 24 Wochen lang (zwei Dosen), 991 Patienten 48 Wochen lang (vier Dosen) und 101 Patienten bis zu zwei Jahre lang (acht Dosen) behandelt.
Die häufigsten Nebenwirkungen in den Placebo-kontrollierten Studien (PROMISE 1 und PROMISE 2) zur präventiven Behandlung der Migräne waren Nasopharyngitis und Überempfindlichkeit (siehe unten). Die meisten Überempfindlichkeitsreaktionen traten während der Infusion auf (siehe «Warnhinweise und Vorsichtsmassnahmen»).
Nachfolgend werden die Nebenwirkungen entsprechend der MedDRA-Systemorganklassifikation aufgeführt. Die Häufigkeit wurde anhand folgender Konvention bewertet: sehr häufig (≥1/10), häufig (≥1/100, <1/10), gelegentlich (≥1/1000, <1/100), selten (≥1/10'000, <1/1000), sehr selten (<1/10'000).
Infektionen und parasitäre Erkrankungen
Häufig: Nasopharyngitis.
Erkrankungen des Immunsystems
Häufig: Überempfindlichkeitsreaktionen wie Angioödem, Urtikaria, Gesichtsrötung, Ausschlag und Juckreiz.
Gelegentlich: Anaphylaktische Reaktion.
Allgemeine Erkrankungen und Beschwerden am Verabreichungsort
Häufig: Infusionsbedingte Reaktion.
Gelegentlich: Extravasation an der Infusionsstelle.
Erkrankungen des Gastrointestinaltrakts
Gelegentlich: Obstipation.
Beschreibung spezifischer unerwünschter Wirkungen und Zusatzinformationen
Überempfindlichkeitsreaktionen und infusionsbedingte Reaktionen
Von schweren Überempfindlichkeitsreaktionen, einschliesslich anaphylaktischer Reaktionen, wurde berichtet, welche sich innerhalb von Minuten nach der Infusion entwickeln können (siehe «Warnhinweise und Vorsichtsmassnahmen»). Die berichteten anaphylaktischen Reaktionen umfassten Symptome von Hypotonie und Atembeschwerden und führten zum Absetzen von Vyepti. Andere Überempfindlichkeitsreaktionen, einschließlich Angioödem, Urtikaria, Erröten, Hautausschlag und Juckreiz wurden bei ungefähr 4% der Patienten mit 300 mg und 3% der Patienten mit 100 mg in PROMISE 1 und PROMISE 2 berichtet.
Andere Symptome, die im Zusammenhang mit der Eptinezumab-Infusion berichtet wurden, sind respiratorische Symptome (verstopfte Nase, Rhinorrhö, Reizung des Rachens, Husten, Niesen, Dyspnoe) und Müdigkeit. Die meisten dieser Ereignisse waren nicht schwerwiegend und vorübergehender Natur.
Immunogenität
Wie bei allen therapeutischen Proteinen besteht ein Potenzial für Immunogenität. Der Nachweis einer Antikörperbildung hängt stark von der Sensitivität und Spezifität des Assays ab. Ausserdem kann die festgestellte Häufigkeit einer Positivität für Antikörper (einschliesslich neutralisierender Antikörper) in einem Assay durch verschiedene Faktoren beeinflusst werden, z.B. durch die Methodik des Assays, die Handhabung der Probe, den Zeitpunkt der Probenentnahme, die Begleitmedikation und die Grunderkrankung. Aus diesen Gründen kann ein Vergleich der Inzidenz von Antikörpern gegen Eptinezumab in den nachstehend beschriebenen Studien mit der Inzidenz von Antikörpern in anderen Studien bzw. gegen andere Produkte irreführend sein.
In den Placebo-kontrollierten pivotalen Studien PROMISE 1 (bis zu 56 Wochen) und PROMISE 2 (bis zu 32 Wochen) betrug die Inzidenz von Eptinezumab-Antikörpern bei Patienten, die alle 12 Wochen eine Dosis von 100 mg bzw. 300 mg erhielten, über beide Studien hinweg 18 % (105/579) bzw. 20 % (115/574). In beiden Studien erreichte die Inzidenz von Eptinezumab-Antikörpern ihr Maximum in Woche 24. Die Inzidenz von Antikörpern mit neutralisierendem Potenzial betrug für die 100-mg- bzw. die 300-mg-Behandlungsgruppen über beide Studien hinweg 8.3 % (48/579) bzw. 6.1 % (35/574).
In einer offenen Studie mit einer 84 Wochen Behandlungsdauer mit 300 mg Eptinezumab alle 12 Wochen, entwickelten sich bei 18% (23/128) der Patienten Anti-Eptinezumab-Antikörper mit einer Gesamtinzidenz von neutralisierenden Antikörpern von 7% (9/128).
Obwohl die Ergebnisse der Studien keine eindeutigen Hinweise auf einen Einfluss der Entwicklung von Anti-Eptinezumab-Antikörpern, einschliesslich neutralisierender Antikörper, auf die Sicherheits- und Wirksamkeitsprofile von Vyepti zeigten, sind die verfügbaren Daten zu begrenzt, um endgültige Schlussfolgerungen zu ziehen.
Die Meldung des Verdachts auf Nebenwirkungen nach der Zulassung ist von grosser Wichtigkeit. Sie ermöglicht eine kontinuierliche Überwachung des Nutzen-Risiko-Verhältnisses des Arzneimittels. Angehörige von Gesundheitsberufen sind aufgefordert, jeden Verdacht einer neuen oder schwerwiegenden Nebenwirkung über das Online-Portal ElViS (Electronic Vigilance System) anzuzeigen. Informationen dazu finden Sie unter www.swissmedic.ch.
ÜberdosierungEs gibt keine Erfahrungen mit Überdosierung von Vyepti. Beim Menschen wurden Dosierungen von bis zu 1000 mg intravenös verabreicht, ohne dass Verträglichkeitsprobleme oder klinisch relevante Nebenwirkungen auftraten.
Im Falle einer Überdosierung sollte der Patient symptomatisch behandelt und gegebenenfalls unterstützende Massnahmen eingeleitet werden.
Eigenschaften/WirkungenATC-Code
N02CD05
Wirkungsmechanismus
Eptinezumab ist ein humanisierter monoklonaler Immunglobulin-G1 (IgG1)-Antikörper, der mit einer Affinität im niedrigen picomolaren Bereich (KD = 4 bzw. 3 pM) an die α- und β-Form des humanen CGRP (calcitonin gene-related peptide)-Liganden bindet und so dessen biologische Aktivität hemmt.
Erhöhte Blutkonzentrationen von CGRP wurden mit Migräneanfällen in Verbindung gebracht. Zusätzlich können CGRP Infusionen, bei Patienten mit Migräne in ihrer Vorgeschichte, migräneartige Anfälle auslösen.
Der genaue Wirkungsmechanismus von Eptinezumab bei der Prävention von Migräneattacken ist nicht bekannt. Es wird angenommen, dass die Migräneprävention u.a. durch eine Modulierung der Nozizeption im Trigeminussystems vermittelt wird.
Pharmakodynamik
Eptinezumab ist hochgradig selektiv und bindet an keines der verwandten Neuropeptide Amylin, Calcitonin, Adrenomedullin und Intermedin.
Klinische Wirksamkeit
Vyepti wurde in zwei Placebo-kontrollierten pivotalen Studien für die präventive Behandlung von Migräne untersucht: PROMISE 1 wurde bei Patienten mit episodischer Migräne (n=888), PROMISE 2 bei Patienten mit chronischer Migräne (n=1072) durchgeführt. Episodische Migräne war in PROMISE 1 definiert als ≤14 Kopfschmerztage, davon 4 Migränetage, in jedem 28-Tages-Zeitraum in den 3 Monaten vor dem Screening. Chronische Migräne war in PROMISE 2 definiert als ≥15 bis ≤26 Kopfschmerztage, von denen ≥8 als Migränetage beurteilt worden waren. Vyepti wurde in beiden Studien alle 12 Wochen durch intravenöse Infusion verabreicht.
PROMISE 1: Episodische Migräne
Bei PROMISE 1 handelte es sich um eine globale, doppelblinde, Placebo-kontrollierte Parallelgruppenstudie zur Beurteilung der Wirksamkeit und Sicherheit von Vyepti zur präventiven Behandlung von episodischer Migräne bei Erwachsenen. Insgesamt wurden 665 Patienten randomisiert und erhielten während 48 Wochen alle 12 Wochen Placebo (N=222), 100 mg Eptinezumab (N=221) oder 300 mg Eptinezumab (N=222) (4 Infusionen). Episodische Migräne war definiert als ≥4 und ≤14 Kopfschmerztage, von denen mindestens 4 Migränetage in jedem 28-Tage-Zeitraum in den 3 Monaten vor dem Screening sein mussten und während der Baseline-Periode bestätigt wurden. Den Patienten war es während der Studie erlaubt, begleitend akut wirkende Migräne- oder Kopfschmerzmedikamente einzunehmen, einschliesslich migränespezifischer Medikamente (z.B. Triptane, Ergotamin-Derivate). Die regelmässige Verwendung (mehr als 7 Tage pro Monat) anderer Behandlungen zur Prävention der Migräne war nicht gestattet.
Der primäre Wirksamkeitsendpunkt war die Änderung der monatlichen Migränetage (MMD) ab Studienbeginn über die Wochen 1–12. Zu den wichtigsten sekundären Endpunkten gehörten Migräne-Ansprechraten ≥50 % und ≥75 %, definiert als der Anteil der Patienten, die eine mindestens diesem Prozentwert entsprechende Verringerung der Migränetage über die Wochen 1–12 zeigten und eine Migräne-Ansprechrate ≥75 % über die Wochen 1–4. und der Prozentsatz der Patienten mit einer Migräne am Tag nach der ersten Verabreichung (Tag 1).
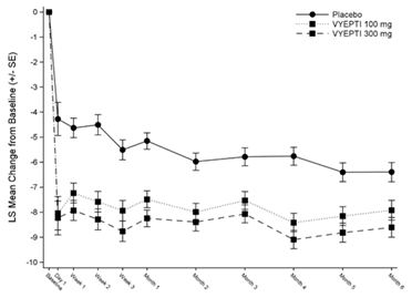
Die 4-wöchentlichen Ergebnisse über die Wochen 1–48 nach 4 vierteljährlichen Infusionen Vyepti sind als Veränderung der mittleren MMD ab Studienbeginn dargestellt (Abbildung 1). Beide Vyepti-Behandlungsgruppen (100 mg und 300 mg) zeigten ab Studienbeginn bis Woche 1–12 im Vergleich zu Placebo eine statistisch signifikante und klinisch relevante Verbesserung der mittleren MMD. Bei allen Zeitpunkten bis zu Woche 48 wurde im Vergleich zu Placebo eine grössere mittlere Abnahme der MMD unter beiden Dosen von Vyepti beobachtet.
Abbildung 1: Mittlere Veränderungen ab Baseline der mittleren monatlichen Migränetage im Zeitverlauf in PROMISE 1

LS = least square; Vyepti = eptinezumab
Bei jedem Zeitpunkt wurde ANCOVA verwendet, die die Behandlung und den Einsatz prophylaktischer Medikamente als Faktoren und die Migränetage zu Studienbeginn als kontinuierliche Kovariante umfasste, um die mediane Änderung gegenüber dem Ausgangswert abzuschätzen.
Die Behandlung mit Vyepti zeigte statistisch signifikante und klinisch relevante Verbesserungen des primären und der wichtigsten sekundären Wirksamkeitsendpunkte, die in Tabelle 1 zusammengefasst werden.
Tabelle 1: Ergebnisse des primären und der wichtigsten sekundären Wirksamkeitsendpunkte in PROMISE 1 (episodische Migräne)
|
|
VYEPTI 100 mg N=221
|
VYEPTI 300 mg N=222
|
Placebo N=222
| |
Monatliche Migränetage (MMD) – Woche 1–12
| |
Baseline
|
8.7
|
8.6
|
8.4
| |
Mittlere Veränderung
|
-3.9
|
-4.3
|
-3.2
| |
Differenz zu Placebo
|
-0.7
|
-1.1
|
| |
KI95%
|
(-1.3, -0.1)
|
(-1.7, -0.5)
|
| |
p-Wert vs. Placebo
|
0.0182
|
0.0001
|
| |
≥75 % MMD-Responder – Woche 1–12
| |
Responder
|
22.2 %
|
29.7 %
|
16.2 %
| |
Differenz zu Placebo
|
6.0 %
|
13.5 %
|
| |
p-Wert vs. Placebo
|
0.1126
|
0.0007
|
| |
≥50 % MMD-Responder – Woche 1–12
| |
Responder
|
49.8 %
|
56.3 %
|
37.4 %
| |
Differenz zu Placebo
|
12.4 %
|
18.9 %
|
| |
p-Wert vs. Placebo
|
0.0085
|
0.0001
|
|
PROMISE 2: Chronische Migräne
Bei PROMISE 2 handelte es sich um eine globale, doppelblinde, Placebo-kontrollierte Parallelgruppenstudie zur Beurteilung der Wirksamkeit und Sicherheit von Vyepti zur präventiven Behandlung von chronischer Migräne bei Erwachsenen. Insgesamt wurden 1072 Patienten randomisiert und erhielten während 24 Wochen alle 12 Wochen Placebo (N=366), 100 mg Eptinezumab (N=356) oder 300 mg Eptinezumab (N=350) (2 Infusionen). Chronische Migräne war definiert als ≥15 bis ≤26 Kopfschmerztage, von denen ≥8 in den 3 Monaten vor dem Screening als Migränetage bewertet und während des 28-tägigen Screeningzeitraums bestätigt wurden. Während der Studie war es den Patienten erlaubt, auf Basis eines festgelegten, stabilen Regimes akute oder präventive Medikamente gegen Migräne oder Kopfschmerzen (mit Ausnahme von Onabotulinumtoxin A) einzunehmen.
Insgesamt 431 Patienten (40%) mit der Doppeldiagnose einer chronischen Migräne und Kopfschmerz bei Medikamentenübergebrauch (im Zusammenhang mit dem Übergebrauch von Triptanen, Ergotamin oder kombinierten Analgetika >10 Tage/Monat oder Paracetamol, Acetylsalicylsäure oder nicht-steroidalen Antirheumatika ≥15 Tage/Monat) wurden in die Studienpopulation eingeschlossen. Patienten, die Opioide oder Butalbital enthaltende Arzneimittel >4 Tage/Monat einnehmen, wurden ausgeschlossen.
Der primäre Wirksamkeitsendpunkt war die Änderung der MMD ab Baseline über die Wochen 1–12. Zu den wichtigsten sekundären Endpunkten gehörten Migräne-Ansprechraten ≥50 % und ≥75 %, definiert als Anteil der Patienten, die eine mindestens diesem Prozentwert entsprechende Verringerung der Migränetage über die Wochen 1–12 erreichten, Migräne-Ansprechrate ≥75 % über die Wochen 1–4, der Prozentsatz der Patienten mit einer Migräne am Tag nach der ersten Verabreichung, die Veränderung der Gesamtpunktzahl im Kopfschmerz-Impact-Test (HIT-6) in Woche 12 gegenüber dem Ausgangswert (nur 300-mg-Dosis) und die Veränderung der monatlichen Migräne-Akutmedikationstage gegenüber dem Ausgangswert, Mittelwert über die Wochen 1–12 (nur 300-mg-Dosis). Beim HIT-6 handelt es sich um einen selbst ausgefüllten Fragebogen zur Beurteilung des Einflusses von Kopfschmerzen auf den funktionellen Status von Patienten mit Migräne. Die Interpretation des Einflusses der Migräne auf die Alltagsfunktion anhand der Gesamtpunktzahl ist wie folgt: 60–78 = schwerwiegend, 56–59 = beträchtlich, 50–55 = ein wenig, 36–49 = wenig bis kein Einfluss.
Die monatlichen Ergebnisse über die Wochen 1–24 nach zwei vierteljährlichen Infusionen Vyepti sind als Veränderung der mittleren MMD ab Studienbeginn dargestellt (Abbildung 2). Beide Vyepti-Behandlungsgruppen (100 mg und 300 mg) zeigten ab Studienbeginn Woche 1–12 im Vergleich zu Placebo eine statistisch signifikante und klinisch relevante Verbesserung der mittleren MMD. Bei allen Zeitpunkten bis zu Woche 24 wurde im Vergleich zu Placebo eine grössere mittlere Abnahme der MMD unter beiden Dosen von Vyepti beobachtet.
Abbildung 2: Mittlere Veränderungen ab Baseline der mittleren monatlichen Migränetage im Zeitverlauf in PROMISE 2

LS = least square; Vyepti = eptinezumab
Bei jedem Zeitpunkt wurde ANCOVA verwendet, die die Behandlung und den Einsatz prophylaktischer Medikamente als Faktoren und die Migränetage zu Studienbeginn als kontinuierliche Kovariante umfasste, um die mediane Änderung gegenüber dem Ausgangswert abzuschätzen.
Die Behandlung mit Eptinezumab zeigte statistisch signifikante und klinisch relevante Verbesserungen der wichtigsten Wirksamkeitsendpunkte, die in Tabelle 2 zusammengefasst werden.
Tabelle 2: Ergebnisse des primären und der wichtigsten sekundären Wirksamkeitsendpunkte in PROMISE 2 (chronische Migräne)
|
|
VYEPTI 100 mg N=356
|
VYEPTI 300 mg N=350
|
Placebo N=366
| |
Monatliche Migränetage (MMD) – Woche 1–12
| |
Baseline
|
16.1
|
16.1
|
16.2
| |
Mittlere Veränderung
|
-7.7
|
-8.2
|
-5.6
| |
Differenz zu Placebo
|
-2.0
|
-2.6
|
| |
KI95%
|
(-2.9, -1.2)
|
(-3.5, -1.7)
|
| |
p-Wert vs. Placebo
|
< 0.0001
|
< 0.0001
|
| |
≥75 % MMD-Responder – Woche 1–12
| |
Responder
|
26.7 %
|
33.1 %
|
15.0 %
| |
Differenz zu Placebo
|
11.7 %
|
18.1 %
|
| |
p-Wert vs. Placebo
|
0.0001
|
< 0.0001
|
| |
≥50 % MMD-Responder – Woche 1–12
| |
Responder
|
57.6 %
|
61.4 %
|
39.3 %
| |
Differenz zu Placebo
|
18.2 %
|
22.1 %
|
| |
p-Wert vs. Placebo
|
< 0.0001
|
< 0.0001
|
| |
HIT-6 Score – Woche 12b
| |
Baseline
|
65.0
|
65.1
|
64.8
| |
Mittlere Veränderung
|
-6.2
|
-7.3
|
-4.5
| |
Differenz zu Placebo
|
-1.7
|
-2.9
|
| |
KI95%
|
(-2.8, -0.7)
|
(-3.9, -1.8)
|
| |
p-Wert vs. Placebo
|
0.0010
|
< 0.0001
|
| |
Tage pro Monat mit Verwendung von Akutmedikation – Woche 1–12a,b
| |
Baseline
|
6.6
|
6.7
|
6.2
| |
Mittlere Veränderung
|
-3.3
|
-3.5
|
-1.9
| |
Differenz zu Placebo
|
-1.2
|
-1.4
|
| |
KI95%
|
(-1.7, -0.7)
|
(-1.9, -0.9)
|
| |
p-Wert vs. Placebo
|
< 0.0001
|
< 0.0001
|
|
a Eine Baseline war der Mittelwert während der 28-tägigen Screeningphase vor Beginn der Behandlung
b Der Endpunkt für die 100-mg-Dosis war kein im Voraus festgelegter wichtiger sekundärer Endpunkt.
Patienten mit Kopfschmerz bei Medikamentenübergebrauch (MOH), die keine Opioide oder Butalbital > 4 Tage/Monat einnahmen, wurden in PROMISE 2 aufgenommen: zum Studienbeginn hatten 40.2 % der Patienten eine MOH. Bei Patienten mit chronischer Migräne mit und ohne MOH wurden zum Studienbeginn vergleichbare Abnahmen der MMD (Mittelwert für Woche 1–12) beobachtet. Die mittlere Veränderung der MMD (Woche 1–12) zu Studienbeginn betrug für Patienten mit MOH bei 300 mg -8.6, bei 100 mg -8.4 und bei Placebo -5.4 sowie für Patienten ohne MOH bei 300 mg -8.1, bei 100 mg -7.4 und bei Placebo -6.1. Die mittlere Differenz der Veränderung der MMD (Woche 1–12) gegenüber dem Studienbeginn im Vergleich zu Placebo betrug für Patienten mit MOH bei 100 mg -3.0 (-4.56; -1.52) und bei 300 mg -3.2 (95%-CI: -4.66; -1.78) sowie für Patienten ohne MOH bei 100 mg -1.5 (-2.70; -0.31) und bei 300 mg -2.4 (-3.59; -1.12).
PREVAIL: Langzeitstudie
Vyepti 300 mg wurde Patienten mit chronischer Migräne in einer offenen Studie für bis zu zwei Jahre alle 12 Wochen durch i. v.-Infusion verabreicht, mit dem primären Ziel, die Langzeitsicherheit nach wiederholten Dosen von Vyepti weiter abzuklären.
Zu den sekundären Zielen zählten die Charakterisierung der PK und der Immunogenitätsprofile von Vyepti («Unerwünschte Wirkungen») sowie die Beurteilung der therapeutischen Wirkung von Vyepti auf verschiedene von Patienten berichtete migränebezogene Ergebnisse und auf die gesundheitsbezogene Lebensqualität, einschliesslich des Kopfschmerz-Impact-Tests (HIT-6). Die Patienten waren im Mittel 41.5 Jahre alt (Bereich: 18 bis 65 Jahre), 85 % waren Frauen und 95 % waren weisser Hautfarbe. Sechsunddreissig Prozent der Patienten nahmen begleitend präventive Medikamente gegen Migräne ein. Die mittlere Anzahl Migränetage pro 28-Tages-Zeitraum in den 3 Monaten vor dem Screening lag bei 14.1 Tagen. In diese Studie wurden 128 Patienten eingeschlossen und behandelt. Insgesamt schlossen 100 Patienten (78.1 %) die Studie ab (bis Woche 104). Insgesamt zeigten die Ergebnisse dieser offenen klinischen Studie, dass die 12-wöchentliche i. v.-Infusion von Vyepti 300 mg zur präventiven Behandlung von Migräne mit einer anhaltenden und klinisch relevanten therapeutischen Wirkung einherging, die sich im Verlauf einer zweijährigen Behandlung bei Erwachsenen mit chronischer Migräne in einer Abnahme der Migräne-bezogenen Auswirkungen auf das Leben, Verbesserungen der Messwerte der gesundheitsbezogenen Lebensqualität und einer allgemeinen Verbesserung gemäss der Patient Global Impression of Change (PGIC) Skala in Bezug auf die Migräne äusserte. Das Sicherheitsprofil stimmte mit den in randomisierten, Placebo-kontrollierten Studien mit Vyepti beobachteten Sicherheitsprofilen überein.
PharmakokinetikAbsorption
Vyepti wird durch intravenöse Infusion verabreicht. Dadurch wird die extravaskuläre Absorption umgangen und Vyepti ist zu 100 % bioverfügbar. Der Medianwert der Dauer bis zur Höchstkonzentration ist am Ende der Infusion (nach 30 Minuten) erreicht. Bei einem Dosierungsschema mit einer Gabe alle 12 Stunden wird der Steady State bereits nach der ersten Dosis erreicht. Die mittleren Akkumulationsquotienten auf der Basis von Cmax und AUC0-Tau liegen bei 1.08 bzw. 1.15. Die Exposition nimmt bei Dosen von 100 bis 300 mg proportional zu.
Distribution
Bei populationspharmakokinetischen Analysen wurde das zentrale Verteilungsvolumen (Vc) für Eptinezumab auf ca. 3,7 Liter geschätzt.
Metabolismus
Es ist zu erwarten, dass Eptinezumab durch proteolytische Enzyme in kleine Peptide und Aminosäuren gespalten wird.
Elimination
Bei populationspharmakokinetischen Analysen wurde die scheinbare Clearance von Eptinezumab auf 0,15 l/Tag und die terminale Eliminationshalbwertszeit auf ca. 27 Tage geschätzt.
Kinetik spezieller Patientengruppen
Einfluss von Alter, Geschlecht, Rasse oder Körpergewicht
In einer populationspharmakokinetischen Analyse, in die 2123 Teilnehmer einbezogen waren, wurden die Auswirkungen von Alter, Geschlecht, ethnischer Herkunft und Körpergewicht auf die Pharmakokinetik von Eptinezumab untersucht. Bei einem Teilnehmer mit 190 kg Körpergewicht war die Exposition im Steady State bis zu 52 % geringer als bei einem Teilnehmer mit 70 kg, während sie bei einem Teilnehmer mit 39 kg um 50 % höher war. Die Untersuchung der Expositions-Wirkungsbeziehung ergab jedoch, dass das Körpergewicht keine Auswirkung auf das klinische Ergebnis hatte. Es ist also keine Dosisanpassung auf Basis des Körpergewichts erforderlich.
Auch auf Basis von Alter, Geschlecht oder ethnischer Herkunft sind keine Dosisanpassungen erforderlich.
Leber- oder Nierenfunktionsstörungen
Es wurden keine speziellen Studien zu Leber- oder Nierenfunktionsstörungen durchgeführt, um die Auswirkungen von Leber- und Nierenfunktionsstörungen auf die Pharmakokinetik von Eptinezumab zu untersuchen. Die populationspharmakokinetische Analyse der integrierten Daten aus den klinischen Studien mit Vyepti ergab bei Patienten mit leichter oder mässiger Nieren- oder Leberfunktionsstörungen keine Unterschiede, die eine Dosisanpassung erfordern würden. Patienten mit schwerer Nieren-/Leberfunktionsstörung wurden nicht untersucht.
Präklinische DatenBasierend auf den konventionellen Studien zur Sicherheitspharmakologie, Toxizität bei wiederholter Gabe, juvenilen Toxizität, Reproduktions- und Entwicklungstoxizität lassen die präklinischen Daten keine besonderen Gefahren für den Menschen erkennen.
Sicherheitspharmakologie und allgemeine Toxikologie
Sicherheitspharmakologische und allgemeine Toxizitätsbewertungen nach intravenöser (i. v.) Verabreichung von Eptinezumab einmal alle 2 Wochen über 6 Monate bei Javaneraffen ergaben, dass der NOAEL-Wert (no-observed-adverse-effect-level) der höchsten geprüften Dosis (150 mg/kg/Dosis) entsprach. Die geschätzte kumulative Plasmaexposition der Tiere (AUC) über 3 Monate bei dieser Dosis war ca. das 123-Fache der klinischen AUC für die höchste Dosis (300 mg) bei Verabreichung alle 12 Wochen durch i. v.-Infusion. Die maximale Plasmaexposition der Tiere (Cmax) war ca. das 103-Fache des klinischen Cmax bei 300 mg.
Genotoxizität
Da es unwahrscheinlich ist, dass Eptinezumab direkt mit DNA oder anderem chromosomalen Material interagiert, wurden Untersuchungen auf eine potenzielle Gentoxizität nicht durchgeführt.
Kanzeroigenität
Es wurden keine Kanzerogenitätsstudien mit Eptinezumab durchgeführt. In einer umfassenden Auswertung der Literatur zur Hemmung von CGRP wurde kein Karzinogenitätsrisiko festgestellt und in Langzeitstudien an Affen wurden keine mit Eptinezumab zusammenhängenden proliferativen Befunde beobachtet.
Reproduktionstoxizität
Wöchentlich intravenös in Dosen von 0, 75 oder 150 mg/kg verabreichtes Eptinezumab zeigte keine nachteiligen Auswirkungen auf die männliche oder weibliche Fruchtbarkeit (Ratten), die embryofötale Entwicklung (Ratten und Kaninchen), das postnatale Überleben, das Wachstum oder die Entwicklung während und nach der Laktation, einschliesslich der Verhaltens- oder Fortpflanzungsleistung (Ratten).
Bei allen Studien entsprach der NOAEL-Wert der höchsten getesteten Dosis (150 mg/kg), die, bezogen auf das Körpergewicht, 30-mal höher liegt als die höchste empfohlene Dosis beim Menschen.
Studien in juvenilen Tieren
Wöchentliche intravenöse Behandlung von juvenilen Ratten mit Eptinezumab (50 oder 150 mg/kg) von Tag 28 bis Tag 91 postpartum zeigte keine nachteiligen Auswirkungen auf die Entwicklung.
Sonstige HinweiseInkompatibilitäten
Da keine Kompatibilitätsstudien durchgeführt wurden, dürfen keine anderen Medikamente über das Infusionsset verabreicht oder mit Vyepti gemischt werden (ausser der unter «Hinweise für die Handhabung» genannten 0,9% Natriumchloridlösung in Polyvinylchlorid-Beuteln oder Polyethylen-Beuteln).
Haltbarkeit
Das Arzneimittel darf nur bis zu dem auf dem Behälter mit «EXP» bezeichneten Datum verwendet werden.
Haltbarkeit nach Anbruch
Die verdünnte Infusionszubereitung ist nicht konserviert und ist nur für den einmaligen Gebrauch bestimmt.
Die chemische und physikalische Stabilität der verdünnten Lösung wurde für einen Zeitraum von 8 Stunden bei Lagerung bei Raumtemperatur (15-25°C) oder im Kühlschrank (2 – 8°C) gezeigt.
Aus mikrobiologischer Sicht ist die verdünnte Lösung sofort zu verwenden, es sei denn, die Verdünnung ist unter kontrollierten und validierten aseptischen Bedingungen erfolgt.
Wird die Lösung nicht sofort verwendet, so liegen die Dauer der Lagerung und die Bedingungen in der Verantwortung des Anwenders.
Die gebrauchsfertige Vyepti-Lösung zur Infusion (Vyepti und 0.9 % Natriumchlorid zur Injektion) muss nach Verdünnung innerhalb von 8 Stunden infundiert werden.
Besondere Lagerungshinweise
Ausser Reichweite von Kindern aufbewahren.
Im Kühlschrank (2–8 °C) in der Originalverpackung und vor Licht geschützt aufbewahren. Nicht einfrieren oder schütteln.
Hinweise für die Handhabung
Vyepti muss vor der Verabreichung mit 0.9% Natriumchloridlösung in Polyvinylchlorid-Beuteln oder Polyethylen-Beuteln verdünnt werden. Die verdünnte Lösung sollte von einer Gesundheitsfachperson in aseptischer Technik hergestellt werden, um die Sterilität der zubereiteten Infusionslösung zu gewährleisten.
Vyepti (Konzentrat in den Durchstechflaschen) muss vor der Verdünnung visuell überprüft werden; nicht verwenden, wenn das Konzentrat sichtbare Partikel enthält oder trüb oder verfärbt ist (ausser wenn sie klar bis leicht schillernd, farblos bis bräunlich-gelb ist).
Sowohl für die 100-mg- als auch für die 300-mg-Dosis sollte ein 100-ml-Beutel (Polyvinylchlorid-Beutel oder Polyethylen-Beutel) mit 0,9%iger Natriumchloridlösung für Injektionszwecke verwendet werden, um die Vyepti-Infusionslösung wie unten beschrieben zuzubereiten.
Die Vyepti-Infusionslösung vorsichtig umdrehen, um sie vollständig zu mischen. Nicht schütteln.
Bei Lagerung der Vyepti-Infusionslösung bei 2-8 °C, diese vor der Infusion auf Raumtemperatur aufwärmen lassen.
Vyepti 100 mg-Dosis:
Für die Zubereitung der Vyepti-Infusionslösung mit einer sterilen Nadel und Spritze 1.0 ml Vyepti aus der Durchstechflasche entnehmen. Den Inhalt von 1.0 ml (100 mg) in einen 100-ml-Beutel (Polyvinylchlorid-Beutel oder Polyethylen-Beutel) mit 0,9%iger Natriumchloridlösung für Injektionszwecke injizieren.
Vyepti 300 mg-Dosis:
Für die Zubereitung der Vyepti-Infusionslösung mit einer sterilen Nadel und Spritze aus 3 Durchstechflaschen je 1.0 ml entnehmen. Den resultierenden Inhalt von 3.0 ml (300 mg) in einen 100-ml-Beutel (Polyvinylchlorid-Beutel oder Polyethylen-Beutel) mit 0,9%iger Natriumchloridlösung für Injektionszwecke injizieren.
Vyepti 100 mg Dosis oder Vyepti 300 mg Dosis wie vorgeschrieben nach Verdünnung des Durchstechflascheninhalts in einem 100-ml-Beutel (Polyvinylchlorid-Beutel oder Polyethylen-Beutel) mit 0,9%iger Natriumchloridlösung für Injektionszwecke über etwa 30 Minuten infundieren. Ein intravenöses Infusionsset mit einem 0.2- oder 0.22-μm-Inline- oder -Zusatzfilter verwenden. Die Infusionsleitung nach Abschluss der Infusion mit 20 ml 0,9%iger Natriumchloridlösung für Injektionszwecke spülen.
Vyepti nicht als Bolusinjektion verabreichen.
Zulassungsnummer67995 (Swissmedic)
PackungenKonzentrat zur Herstellung einer Infusionslösung (100 mg/ml): 1-ml-Durchstechflasche. (B)
ZulassungsinhaberinLundbeck (Schweiz) AG, Opfikon.
Stand der InformationOktober 2022
23012023FI
|