ch.oddb.org
 
Medikamente | Services | Zulassungsi.
Fachinformation zu Neupro®:UCB-Pharma SA
Vollst. FachinformationDDDÄnderungen anzeigenDrucken 
Zusammens.Galen.FormInd./Anw.mögl.Dos./Anw.Kontraind.Warn.hinw.Interakt.Schwangerschaft
Fahrtücht.Unerw.WirkungenÜberdos.Eigensch.Pharm.kinetikPräklin.Sonstige H.Swissmedic-Nr.
PackungenReg.InhaberStand d. Info. 

Zusammensetzung

Wirkstoffe
Rotigotin
Hilfsstoffe
·Trägerschicht: Aluminisierte, silikonisierte Polyesterfolie, überzogen auf der Aussenseite mit einer Pigmentschicht.
·Selbstklebende Matrixschicht: Silikonkleber, Povidon K 90, Natriummetabisulfit (E223), Ascorbylpalmitat (E304) und Alpha-Tocopherol (E307).
·Schutzfolie: Transparente mit Fluorpolymer überzogene Polyesterfolie.

Indikationen/Anwendungsmöglichkeiten

Restless-Legs-Syndrom
Neupro wird eingesetzt zur symptomatischen Behandlung des mittelschweren bis schweren idiopathischen Restless-Legs-Syndroms (RLS) bei Erwachsenen.
Parkinson-Erkrankung
Neupro wird eingesetzt als Monotherapie (d.h. ohne Levodopa) zur symptomatischen Behandlung bei idiopathischer Parkinson-Erkrankung im Frühstadium oder in Kombination mit Levodopa, d.h. während des Krankheitsverlaufs, einschliesslich der Spätstadien, wenn die Wirksamkeit von Levodopa nachlässt oder unbeständig ist und es zu Schwankungen der therapeutischen Wirkung kommt (am Ende eines Dosisintervalls oder während «On-off»-Fluktuationen).
Die Einleitung und Überwachung der Behandlung sollte insbesondere im fortgeschrittenen Stadium durch einen Arzt erfolgen, der über Erfahrungen in der Diagnose und Behandlung der idiopathischen Parkinson-Erkrankung verfügt, gemäss aktuellen Richtlinien.

Dosierung/Anwendung

Dosierung
Die Dosierungsempfehlungen sind als Nominaldosis angegeben.
Restless-Legs-Syndrom
Die tägliche Einzeldosis sollte anfänglich 1 mg/24 h betragen. Je nach individuellem Ansprechen des Patienten kann die Dosis schrittweise wöchentlich um 1 mg/24 h auf maximal 3 mg/24 h erhöht werden. Die Notwendigkeit für eine Fortsetzung der Behandlung sollte alle 6 Monate überprüft werden.
Parkinson Erkrankung
Dosierung im frühen Stadium der idiopathischen Erkrankung
Die Behandlung soll mit einer täglichen Einzeldosis von 2 mg/24 h begonnen werden und dann in wöchentlichen Schritten um 2 mg/24 h bis zu einer wirksamen Dosis von maximal 8 mg/24 h erhöht werden.
Bei manchen Patienten kann eine Dosis von 4 mg/24 h ausreichend sein. Bei den meisten Patienten wird innerhalb von 3 bzw. 4 Wochen mit Dosierungen von 6 mg/24 h bzw. 8 mg/24 h die wirksame Dosis erreicht.
Die Höchstdosis beträgt 8 mg/24 h.
Dosierung im fortgeschrittenen Stadium der Parkinsonerkrankung mit Fluktuationen
Die Behandlung soll mit einer täglichen Einzeldosis von 4 mg/24 h begonnen werden und dann in wöchentlichen Schritten um 2 mg/24 h bis zu einer klinisch wirksamen und verträglichen Dosis erhöht werden. Die Höchstdosis beträgt 16 mg/24 h.
Bei manchen Patienten kann eine Dosis von 4 mg/24 h bzw. 6 mg/24 h ausreichend sein.
Bei den meisten Patienten wird mit einer Dosis von 8 mg/24 h die wirksame Dosis erreicht.
Für Dosierungen über 8 mg/24 h können mehrere Pflaster gleichzeitig angewendet werden. Beispielsweise können für eine 10 mg/24 h-Dosis ein 6 mg/24 h-Pflaster und ein 4 mg/24 h-Pflaster kombiniert werden.
Neupro wird einmal täglich angewendet. Das Pflaster sollte jeden Tag etwa zur gleichen Zeit appliziert werden. Es verbleibt über 24 Stunden auf der Haut und wird anschliessend gegen ein neues Pflaster an einer anderen Applikationsstelle ausgetauscht.
Vergisst der Patient, das Pflaster zur gewohnten Tageszeit aufzubringen oder löst sich das Pflaster ab, sollte für den Rest des Tages ein neues Pflaster appliziert werden.
Da das Pflaster transdermal angewendet wird, ist keine Beeinflussung durch Nahrungsmittel oder gastrointestinale Erkrankungen zu erwarten; daher kann das Pflaster unabhängig vom Zeitpunkt der Mahlzeiten aufgeklebt werden.
Wechsel von anderen Dopaminagonisten zu Neupro
Patienten können von Pramipexol oder Ropinirol über Nacht nach 12 Stunden bzw. von Cabergolin nach 24 Stunden auf Neupro umgestellt werden.
Beendigung der Behandlung
Restless-Legs-Syndrom
Neupro sollte ausschleichend abgesetzt werden. Die Tagesdosis sollte dabei in Schritten von 1 mg/24 h, vorzugsweise jeden zweiten Tag, bis zum vollständigen Absetzen von Neupro reduziert werden (siehe auch «Warnhinweise und Vorsichtmassnahmen, malignes neuroleptisches Syndrom und Dopaminagonisten-Entzugssyndrom»). Mit dieser Vorgehensweise wurde kein Rebound (Verschlimmerung der Symptome über die ursprüngliche Intensität hinaus) nach Absetzen der Behandlung beobachtet.
Parkinson-Erkrankung
Falls die Anwendung von Neupro abgebrochen werden muss, ist die Behandlung ausschleichend zu beenden. Die Tagesdosis soll in Schritten zu 2 mg/24 h bis zum vollständigen Absetzen von Neupro vermindert werden, wobei vorzugsweise jeden zweiten Tag eine Dosisminderung vorgenommen werden soll (siehe auch «Warnhinweise und Vorsichtmassnahmen, malignes neuroleptisches Syndrom und Dopaminagonisten-Entzugssyndrom»).
Spezielle Dosierungsanweisungen
Da die Therapie mit Neupro mit einer niedrigen Dosis eingeleitet wird und diese gemäss der klinischen Verträglichkeit bis zur Erzielung einer optimalen therapeutischen Wirkung schrittweise titriert wird, ist keine Dosisanpassung aufgrund des Geschlechts, Gewichts bzw. Alters erforderlich (siehe «Pharmakokinetik, Kinetik spezieller Patientengruppen»).
Patienten mit Leberfunktionsstörungen
Bei Patienten mit leichter bis mittelschwerer Einschränkung der Leberfunktion ist keine Dosisanpassung erforderlich. Neupro wurde bei Patienten mit schwerer Leberfunktionseinschränkung nicht untersucht und ist bei Patienten mit schwerer Leberinsuffizienz kontraindiziert (siehe «Kontraindikationen»).
Im Falle einer Verschlechterung der Leberfunktionsstörung kann eine Dosisreduktion erforderlich werden.
Patienten mit Nierenfunktionsstörungen
Bei Patienten mit leichter bis schwerer Einschränkung der Nierenfunktion – einschliesslich dialysepflichtiger Patienten – ist keine Dosisanpassung erforderlich.
Auch bei einer akuten Verschlechterung der Nierenfunktion kann es zu einer unerwarteten Akkumulation von Rotigotin kommen (siehe «Pharmakokinetik, Kinetik spezieller Patientengruppen»).
Kinder und Jugendliche
Es liegen keine Daten zur Wirksamkeit und Sicherheit bei Kindern und Jugendlichen vor.
Art der Anwendung
Neupro ist zur transdermalen Anwendung.
Das Pflaster soll auf saubere, trockene, unverletzte, gesunde Haut im Bereich des Bauches, auf dem Oberschenkel, der Hüfte, Flanke, Schulter und/oder dem Oberarm aufgeklebt werden. Um eine potenzielle Reizung möglichst zu vermeiden, ist jedes weitere Pflaster auf einer anderen Hautstelle anzuwenden (z.B. von der rechten zur linken Seite und von der oberen Körperhälfte zur unteren). Eine erneute Anwendung an einer zuvor bereits verwendeten Hautstelle innerhalb von 14 Tagen soll vermieden werden. Der Wechsel des Applikationsortes kann zu schwankenden Plasmaspiegeln führen. Es gibt jedoch keine Hinweise darauf, dass dies einen relevanten Einfluss auf das klinische Ergebnis hat (siehe «Pharmakokinetik»). Das Pflaster soll an einer Stelle aufgeklebt werden, an der es nicht durch zu enge Kleidung zu einer Reibung kommt, da es sich sonst ablösen könnte. Falls das Pflaster auf einer behaarten Stelle aufgebracht werden muss, ist dieser Bereich mindestens 3 Tage vor Anwendung des Pflasters zu rasieren.
Neupro darf nicht auf geröteter, gereizter oder verletzter Haut angewendet werden.
Um eine Verminderung der Haftfähigkeit zu vermeiden, dürfen auf Hautbereiche, auf die Neupro aufgeklebt ist bzw. werden soll, keine Cremes, Lotionen, Puder oder andere topische Produkte angewendet werden.
Jedes Pflaster ist einzeln in einem Beutel verpackt und sollte unmittelbar nach dem Öffnen des Beutels aufgeklebt werden. Hierzu wird eine Hälfte der Schutzfolie entfernt, die Klebefläche aufgeklebt und fest auf der Haut angedrückt. Anschliessend wird das Pflaster zurück geklappt und die zweite Hälfte der Schutzfolie entfernt. Die Klebefläche des Pflasters sollte dabei nicht berührt werden. Das Pflaster wird mit der Handfläche etwa 30 Sekunden fest aufgedrückt, so dass es gut haftet.
Das Pflaster soll langsam und behutsam abgelöst werden, um unnötige Hautreizungen zu vermeiden.
Das Pflaster soll keinem direkten Sonnenlicht ausgesetzt werden.
Eine für den Patienten bestimmte ausführliche Anleitung für den Gebrauch findet sich in der Packungsbeilage.

Kontraindikationen

Bei bekannter Überempfindlichkeit gegenüber dem Wirkstoff oder einem der Hilfsstoffe gemäss Zusammensetzung.
Magnetresonanztomografie (MRT) oder Kardioversion. Die Trägerschicht von Neupro enthält Aluminium. Um Hautverbrennungen zu vermeiden, ist Neupro zu entfernen, falls sich der Patient einer Magnetresonanztomografie (MRT) oder Kardioversion unterziehen muss.
Schwere Leberinsuffizienz.

Warnhinweise und Vorsichtsmassnahmen

Wenn ein Parkinson-Patient unter der Behandlung mit Rotigotin unzureichend kontrolliert ist, kann die Umstellung auf einen anderen Dopaminagonisten einen zusätzlichen Nutzen bringen (siehe «Eigenschaften/Wirkungen, Wirkungsmechanismus und Pharmakodynamik»).
Plötzliches Einschlafen und Somnolenz
Wie auch andere Dopaminagonisten wurde Neupro mit Somnolenz und Episoden plötzlichen Einschlafens (Schlafattacke) in Zusammenhang gebracht, insbesondere bei Patienten mit Parkinson-Krankheit. Es wurde über plötzliche Schlafattacken während der Verrichtung von Alltagsaktivitäten berichtet, in manchen Fällen ohne erkennbare Warnsignale. Der verschreibende Arzt soll die Patienten hinsichtlich Benommenheit oder Schläfrigkeit regelmässig neu beurteilen, da die Patienten das Vorliegen von Benommenheit oder Schläfrigkeit möglicherweise erst dann erkennen, wenn sie direkt danach gefragt werden. Eine Dosisminderung bzw. ein Absetzen der Therapie sollte sorgfältig geprüft werden.
Die Patienten müssen darauf hingewiesen werden, dass während der Behandlung mit Neupro beim Steuern von Fahrzeugen oder dem Bedienen von Maschinen Vorsicht geboten ist. Patienten, bei denen es bereits zu Somnolenz und/oder einer plötzlichen Schlafattacke gekommen ist, dürfen kein Fahrzeug steuern oder Maschinen bedienen (siehe auch «Wirkung auf die Fahrtüchtigkeit und auf das Bedienen von Maschinen»).
Orthostatische Hypotonie
Dopaminagonisten beeinträchtigen bekanntlich die systemische Blutdruckregulation, was zu posturaler/orthostatischer Hypotonie führt. Solche Ereignisse wurden auch unter Behandlung mit Neupro beobachtet, jedoch war die Inzidenz vergleichbar mit der bei Patienten unter Placebo-Behandlung.
Angesichts des mit einer dopaminergen Therapie assoziierten allgemeinen Risikos von orthostatischer Hypotonie ist eine Blutdrucküberwachung, vor allem zu Behandlungsbeginn, empfehlenswert.
Synkopen
In klinischen Studien mit Rotigotin sind Synkopen beobachtet worden, allerdings wurde eine vergleichbare Häufigkeit bei Patienten beobachtet, die mit Placebo behandelt wurden. Da in diesen Studien Patienten mit einer klinisch relevanten kardiovaskulären Erkrankung ausgeschlossen waren, sollten Patienten mit einer schweren kardiovaskulären Erkrankung nach Symptomen für Synkopen und Präsynkopen befragt werden.
Malignes neuroleptisches Syndrom
Bei plötzlichem Absetzen einer dopaminergen Therapie wurden Symptome beobachtet, die auf ein malignes neuroleptisches Syndrom hindeuteten. Daher wird ein Ausschleichen der Behandlung empfohlen (siehe «Dosierung/Anwendung, Beendigung der Behandlung»).
Dopaminagonisten-Entzugssyndrom
Symptome, die auf ein Dopaminagonisten-Entzugssyndrom hinweisen (z.B. Schmerzen, Müdigkeit, Depressionen, Schwitzen und Angstzustände), wurden bei einem plötzlichen Absetzen der dopaminergen Therapie berichtet. Daher wird empfohlen, die Behandlung schrittweise zu reduzieren und ein abruptes Absetzen zu vermeiden (siehe «Dosierung/Anwendung, Beendigung der Behandlung»).
Anomales Denken und Verhalten
Es liegen Berichte über anomales Denken und Verhalten vor. Diese können in unterschiedlichen Manifestationen einschliesslich paranoidem Denken, Wahnvorstellungen, Halluzinationen, Verwirrtheit, Psychose-ähnlichem Verhalten, Desorientiertheit, aggressivem Verhalten, Agitiertheit und Delirium auftreten
Störungen der Impulskontrolle und andere verwandte Störungen
Patienten sollten regelmässig auf die Entwicklung von Impulskontrollstörungen und verwandten Störungen einschliesslich des Dopamin-Dysregulationssyndroms hin überwacht werden. Patienten und deren Betreuer sollten darauf hingewiesen werden, dass bei Patienten unter der Therapie mit Dopaminagonisten, einschliesslich Rotigotin, Verhaltenssymptome von Impulskontrollstörungen einschliesslich Spielzwang, Kaufsucht, zwanghaftes Geldausgeben, Essattacken, zwanghaftes Essen, verstärkte Libido, Hypersexualität, sinnlose Wiederholungshandlungen (punding). Bei einigen Patienten wurde unter der Behandlung mit Rotigotin das Dopamin-Dysregulationssyndrom beobachtet. Wenn sich solche Symptome entwickeln, sollte eine Dosisreduktion/schrittweises Absetzen der Behandlung erfolgen.
Fibrotische Komplikationen
Bei einigen Patienten, die mit dopaminergen Wirkstoffen auf Basis von Mutterkornalkaloiden behandelt wurden, wurden Fälle von retroperitonealer Fibrose, Lungeninfiltraten, Pleuraerguss, Pleuraschwarte, Perikarditis und Herzklappenerkrankung berichtet. Obwohl sich diese Komplikationen bei Absetzen des Präparates zurückbilden können, kommt es nicht in allen Fällen zu einer vollständigen Wiederherstellung.
Man geht zwar davon aus, dass diese unerwünschten Reaktionen durch die Ergolinstruktur dieser Substanzen bedingt sind; es ist jedoch nicht bekannt, ob auch andere, nicht-ergoline Dopaminagonisten diese hervorrufen können.
Neuroleptika
Patienten, die mit Dopaminagonisten behandelt werden, sollten keine Neuroleptika als antiemetische Substanzen erhalten (siehe «Interaktionen»).
Ophthalmologische Kontrollen
Eine augenärztliche Überwachung wird in regelmässigen Abständen oder bei Auftreten von Sehstörungen empfohlen.
Augmentation
Bei Patienten mit Restless-Legs-Syndrom kann möglicherweise Augmentation auftreten. Als Augmentation wird ein verfrühtes Auftreten der Symptome am Abend (oder sogar am Nachmittag) mit Verstärkung und Ausbreitung der Symptomatik auf andere Teile des Körpers bezeichnet.
In klinischen Langzeitstudien mit Rotigotin traten die meisten Fälle von Augmentation im ersten und zweiten Behandlungsjahr auf. Höhere Dosierungen als die bei RLS zugelassenen, sollten vermieden werden, da dies zu einer erhöhten Augmentationsrate führen kann.
Basierend auf zwei offenen Follow-up-Studien über einen Zeitraum von einem Jahr wurden Symptome, die die klinisch relevante und nicht relevante Augmentation widerspiegelten, in einer Häufigkeit von 9,4% beobachtet. Hingegen wurde in zwei 6-monatigen doppelblinden, Placebo-kontrollierten Studien eine klinisch relevante Augmentation bei 1,5% der mit Rotigotin behandelten Patienten gegenüber 0,5% der mit Placebo behandelten Patienten beobachtet. In zwei offenen Follow-up-Studien über einen Zeitraum von einem Jahr lag die Rate klinisch relevanter Augmentation bei 2,9%. Keiner dieser Patienten brach die Behandlung aufgrund einer Augmentation ab. Daten einer offenen Behandlungsstudie über 5 Jahre zeigen eine Augmentation bei 11,9% der mit der für RLS zugelassenen Dosierung (1–3 mg/24 h) behandelten Patienten; bei 5,1% wurde die Augmentation als klinisch signifikant beurteilt. Die meisten Fälle von Augmentation traten im ersten und zweiten Behandlungsjahr auf. Die in dieser Studie ebenfalls erlaubte Dosierung mit 4 mg/24 h war mit einer erhöhten Augmentationsrate verbunden. Eine 4 mg/24 h-Dosierung ist nicht für die Behandlung von RLS zugelassen (siehe «Dosierung/Anwendung»).
Wärmeapplikation
Im Bereich des Pflasters darf keine Wärme von aussen (Heizkissen und andere Wärmequellen wie Sauna, heisse Bäder) zugeführt werden, da sich dadurch der resorbierte Anteil des arzneilich wirksamen Bestandteils erhöhen könnte. Das Pflaster soll nicht direktem Sonnenlicht ausgesetzt werden.
Reaktionen an der Applikationsstelle
An der Applikationsstelle können Hautreaktionen auftreten, die in der Regel leicht oder mittelschwer ausgeprägt sind. Daher wird empfohlen, die Applikationsstelle täglich zu wechseln (z.B. von der rechten zur linken Seite und von der oberen zur unteren Körperhälfte). Dieselbe Stelle soll innerhalb von 14 Tagen nicht erneut verwendet werden. Falls Reaktionen an der Applikationsstelle auftreten, die über mehrere Tage bzw. dauerhaft anhalten, bzw. falls der Schweregrad solcher Reaktionen zunimmt oder sich die Hautreaktion auf ausserhalb der Applikationsstelle ausweitet, sollte eine Nutzen/Risiko-Bewertung für den betroffenen Patienten erfolgen.
Falls das transdermale System zu einem Hautausschlag oder einer Hautreizung geführt hat, soll der betroffene Bereich bis zur Abheilung der Haut keinem direkten Sonnenlicht ausgesetzt werden, da eine Exposition eine Veränderung der Hautfarbe nach sich ziehen könnte.
Neupro muss abgesetzt werden, wenn in Zusammenhang mit dessen Anwendung eine generalisierte Hautreaktion beobachtet wird (z.B. allergisches Exanthem einschliesslich erythematöser, makulärer und papulärer Formen oder Pruritus).
Dopaminerge unerwünschte Wirkungen
Bei Parkinson-Patienten ist die Häufigkeit einiger dopaminerger unerwünschten Wirkungen (z.B. Halluzinationen, Dyskinesien und periphere Ödeme) in Kombination mit Levodopa im Allgemeinen höher. Dies ist bei der Verschreibung von Rotigotin zu berücksichtigen (siehe «Interaktionen»).
Dopamin-Dysregulationssyndrom (DDS)
Bei einigen Patienten wurde unter der Behandlung mit Neupro ein Dopamin-Dysregulationssyndrom (DDS) beobachtet. Hierbei handelt es sich um eine Suchterkrankung, die zu einer übermässigen Anwendung dieses oder anderer dopaminerger Arzneimittel in steigender Dosierung führt. Vor Behandlungsbeginn müssen Patienten und Betreuer vor dem potenziellen Risiko der Entwicklung eines DDS gewarnt werden (siehe auch «Unerwünschte Wirkungen»).
Peripheres Ödem
In klinischen Studien an Parkinson-Patienten lag nach 6 Monaten die spezifische Häufigkeit peripherer Ödeme bei etwa 4% und verblieb so über den gesamten Beobachtungszeitraum von bis zu 36 Monaten. In klinischen Studien mit RLS-Patienten wurden periphere Ödeme beobachtet.
Sulfitsensitivität
Neupro enthält Natriummetabisulfit, ein Sulfit, das bei besonders empfindlichen Personen allergieartige Reaktionen einschliesslich anaphylaktischer Symptome und lebensbedrohlicher oder weniger schwerer asthmatischer Episoden hervorrufen kann.
Bei Umstellung der Therapie auf eine andere Darreichungsform und/oder ein anderes Arzneimittel mit gleichem Wirkstoff ist Vorsicht geboten. Der Patient sollte adäquat kontrolliert werden.

Interaktionen

Da es sich bei Rotigotin um einen Dopaminagonisten handelt, ist davon auszugehen, dass Dopaminantagonisten wie Neuroleptika (z.B. Phenothiazine, Butyrophenone, Thioxanthene) oder Metoclopramid die Wirksamkeit von Neupro mindern könnten. Eine gleichzeitige Anwendung soll daher vermieden werden (siehe «Warnhinweise und Vorsichtsmassnahmen»).
Wie andere Dopaminagonisten kann Neupro die dopaminergen unerwünschten Wirkungen von Levodopa verstärken und Dyskinesie auslösen bzw. bestehende Dyskinesien verschlimmern.
Die gleichzeitige Anwendung von Levodopa und Carbidopa mit Rotigotin hatte keine Wirkung auf die Pharmakokinetik von Rotigotin, und Rotigotin hatte keine Wirkung auf die Pharmakokinetik von Levodopa und Carbidopa.
Aufgrund möglicher additiver Wirkungen ist Vorsicht geboten, wenn die Patienten Rotigotin in Kombination mit sedierenden Arzneimitteln oder mit anderen, das Zentralnervensystem (ZNS)-dämpfenden Substanzen (z.B. Benzodiazepine, Antipsychotika, Antidepressiva) bzw. mit Alkohol anwenden.
Die gleichzeitige Anwendung von Omeprazol (CYP2C19-Hemmer) in Dosen von 40 mg/Tag hatte bei gesunden Freiwilligen keinen Einfluss auf die Pharmakokinetik oder die Verstoffwechslung von Rotigotin.
Die gleichzeitige Anwendung von Domperidon mit Rotigotin hatte keinen Einfluss auf die Pharmakokinetik von Rotigotin.
In vitro Studien zeigen, dass verschiedene CYP-Isoformen den Metabolismus von Rotigotin katalysieren können. Auf der Grundlage dieser Versuche lässt sich annehmen, dass bei therapeutischen Rotigotin-Dosen kein Risiko für eine Inhibition von CYP1A2, CYP2C9 und CYP3A4 und ein geringes Risiko für eine Inhibition von CYP2C19 und CYP2D6 gegeben ist.
In menschlichen Hepatozyten ergaben sich in vitro keine Hinweise für eine Induktion von CYP1A2, CYP2B6, CYP2C9, CYP2C19 und CYP3A4.
Die gleichzeitige Verabreichung von Rotigotin (bis 4 mg/24 h) und Cimetidin (400 mg 2× täglich), einem Inhibitor von CYP1A2, CYP2C19, CYP2D6 und CYP3A4, veränderte bei gesunden Probanden die Steady State Pharmakokinetik von Rotigotin nicht.
Die gleichzeitige Anwendung von Enzym induzierenden Wirkstoffen (z.B. Rifampicin, Phenobarbital, Carbamazepin, Phenytoin, Johanniskraut/Hypericum perforatum) wurde nicht untersucht.
Die gleichzeitige Anwendung von Rotigotin (3 mg/24 h) führte zu keiner Beeinträchtigung der Pharmakodynamik und Pharmakokinetik oraler Kontrazeptiva (0,03 mg Ethinylestradiol, 0,15 mg Levonorgestrel).
Wechselwirkungen mit anderen Methoden der hormonellen Kontrazeption wurden nicht untersucht.

Schwangerschaft, Stillzeit

Schwangerschaft
Für Neupro liegen keine klinischen Daten über exponierte Schwangere vor. Tierexperimentelle Studien lassen nicht auf eine teratogene Wirkung schliessen (siehe auch «Präklinische Daten»).
Neupro darf nicht während der Schwangerschaft angewendet werden, es sei denn, dies ist eindeutig erforderlich.
Stillzeit
Da Rotigotin beim Menschen die Prolaktinsekretion herabsetzt, ist eine Unterdrückung der Milchbildung zu erwarten.
Untersuchungen an der Ratte haben ergeben, dass Rotigotin und/oder dessen Metabolit(en) in die Muttermilch übergehen. Da keine entsprechenden Daten für den Menschen vorliegen, soll Neupro während der Stillzeit nicht angewendet werden. Ist eine Anwendung jedoch unvermeidbar, so soll das Stillen beendet werden.

Wirkung auf die Fahrtüchtigkeit und auf das Bedienen von Maschinen

Rotigotin kann grossen Einfluss auf die Verkehrstüchtigkeit und auf die Fähigkeit zum Bedienen von Maschinen haben.
Mit Rotigotin behandelte und von Somnolenz und/oder plötzlichen Schlafattacken betroffene Patienten müssen angewiesen werden, bis zum Abklingen von solchen wiederkehrenden Episoden und von Somnolenz auf das Steuern eines Fahrzeugs bzw. auf Aktivitäten zu verzichten, bei denen eine beeinträchtigte Aufmerksamkeit mit der Gefahr verbunden ist, sich selbst oder andere Personen schwer oder gar tödlich zu verletzen (z.B. Bedienen von Maschinen) (siehe auch unter «Warnhinweise und Vorsichtsmassnahmen»). Die Patienten sind über diese Problematik zu informieren und sollten von solchen Aktivitäten Abstand nehmen, bis ausreichende Erfahrungen über ihre Beeinträchtigung vorliegen.

Unerwünschte Wirkungen

Übersicht
Zu Beginn der Therapie können dopaminerge unerwünschte Wirkungen wie Übelkeit und Erbrechen auftreten. Diese sind gewöhnlich leicht bis mittelschwer und vorübergehend, selbst wenn die Behandlung fortgesetzt wird.
Restless-Legs-Syndrom
Basierend auf der Analyse gepoolter placebokontrollierter klinischer Studien mit insgesamt 748 Neupro- und 214 Placebo-behandelten Patienten berichteten 65,5% der Patienten unter Neupro und 33,2% der Patienten unter Placebo über mindestens eine unerwünschte Wirkung.
Unerwünschte Wirkungen, die von mehr als 10% der mit Neupro behandelten Patienten berichtet wurden, sind Übelkeit (19,3%), Reaktionen an der Applikationsstelle (34,2%), Schwächezustände (11,2%) und Kopfschmerzen (16,7%).
In Studien, bei denen die Applikationsstellen gemäss den Anweisungen in der Fachinformation und Patienteninformation gewechselt wurden, kam es bei 34,2% der 748 Patienten, die Neupro anwendeten, zu Reaktionen an der Applikationsstelle. Die Mehrzahl der Reaktionen war leicht bis mittelschwer, auf die Applikationsstelle beschränkt und führte bei 7,2% der Patienten zum Abbruch der Neupro Behandlung.
Abbruchrate
Die Abbruchrate wurde in 3 klinischen Studien, die sich über einen Zeitraum von bis zu 3 Jahren erstreckten, untersucht. Im ersten Jahr lag der Anteil der Behandlungsabbrüche bei 25–38%, im zweiten Jahr bei 10% und im dritten Jahr bei 11%. Die Wirksamkeit sollte regelmässig beurteilt werden, zusammen mit einer Bewertung der Sicherheit, einschliesslich Augmentation.
Parkinson-Erkrankung
Basierend auf der Analyse gepoolter placebokontrollierter klinischer Studien mit insgesamt 1'307 Neupro- und 607 Placebo-behandelten Patienten berichteten 72,5% der Patienten unter Neupro und 57,8% der Patienten unter Placebo über mindestens eine unerwünschte Wirkung.
Unerwünschte Wirkungen, die von mehr als 10% der mit Neupro transdermalem Pflaster behandelten Patienten berichtet wurden, sind Übelkeit (29,7%), Erbrechen (10,6%), Reaktionen an der Applikationsstelle (31,0%), Somnolenz (19,4%), Schwindel (14,5%) und Kopfschmerzen (10,4%).
In Studien, bei denen die Applikationsstellen gemäss den Anweisungen in der Fachinformation und Patienteninformation gewechselt wurden, kam es bei 35,7% der 830 Patienten, die Neupro transdermales Pflaster anwendeten, zu Reaktionen an der Applikationsstelle. Die Mehrzahl der Reaktionen der Applikationsstelle war leicht bis mittelschwer, auf die Applikationsstelle beschränkt und führte bei 4,3% aller Patienten unter Neupro zum Abbruch der Behandlung.
Auflistung der unerwünschten Wirkungen
Restless-Legs-Syndrom
Die folgende Auflistung umfasst unerwünschte Wirkungen aus den oben aufgeführten, gepoolten placebokontrollierten Studien bei Patienten mit Restless-Legs-Syndrom. Innerhalb jeder Häufigkeitsgruppe werden die unerwünschten Wirkungen nach abnehmendem Schweregrad angegeben.
Patientenanzahl, bei denen unerwünschte Wirkungen zu erwarten sind: Anzahl der Patienten, bei denen diese Reaktion zu erwarten ist unter Verwendung der folgenden Kategorien: sehr häufig: ≥1/10; häufig: <1/10, ≥1/100; gelegentlich: <1/100, ≥1/1000; selten: <1/1000, ≥1/10'000; sehr selten: <1/10'000, nicht bekannt (Häufigkeit auf Grundlage der verfügbaren Daten nicht abschätzbar).
Zusätzliche unerwünschte Wirkungen wurden bei Parkinson-Patienten beobachtet. Siehe Auflistung der unerwünschten Wirkungen unter Parkinson-Erkrankung.
System/Organklasse gemäss MedDRA
Erkrankungen des Immunsystems
Häufig: Überempfindlichkeit, die auch Angioödem, Zungen- und Lippenödem einschliessen kann.
Psychiatrische Erkrankungen
Häufig: Schlafattacken, plötzliche Schlafanfälle, Störungen des sexuellen Verlangensa (einschl. Hypersexualität, gesteigerter Libido), Schlaflosigkeit, Schlafstörung, ungewöhnliche Träume, Störungen der Impulskontrollea,b (einschl. Spielzwang, Stereotypie/Zwangshandlungen, Essattacken/Essstörungen).
Gelegentlich: Obsessive Zwangsstörung.
Selten: Aggressives Verhalten/Aggression, Desorientiertheitb
Erkrankungen des Nervensystems
Sehr häufig: Kopfschmerzen.
Häufig: Somnolenz.
Gefässerkrankungen
Häufig: Hypertonie.
Gelegentlich: Orthostatische Hypotonie.
Erkrankungen des Gastrointestinaltrakts
Sehr häufig: Übelkeit.
Häufig: Erbrechen, Dyspepsie.
Erkrankungen der Haut und des Unterhautzellgewebes
Häufig: Juckreiz.
Skelettmuskulatur-, Bindegewebs- und Knochenerkrankungen
Nicht bekannt: erhöhte Kreatin(phospho)kinase (CPK-Werte)b.
Allgemeine Erkrankungen und Beschwerden am Verabreichungsort
Sehr häufig: Reaktionen an der Applikations- und Instillationsstellea (einschl. Erythem, Juckreiz, Reizung, Ausschlag, Dermatitis, Vesikel, Schmerzen, Ekzem, Entzündung, Schwellung, Verfärbung, Papeln, Exfoliation, Urtikaria, Überempfindlichkeit), Schwächezuständea (einschl. Müdigkeit, Asthenie, Unwohlsein).
Häufig: Reizbarkeit, peripheres Ödem.
Unerwünschte Wirkungen nach Markteinführung
Zwanghaftes Kaufverhalten, Dopaminerges Dysregulationssyndrom, Rhabdomyolyse
a High-Level-Terminus.
b Daten aus gepoolten, doppelblinden, placebo-kontrollierten Studien
Parkinson-Erkrankung
Die folgende Auflistung umfasst unerwünschte Wirkungen aus den oben aufgeführten, gepoolten Studien bei Patienten mit Parkinson-Erkrankung. Innerhalb jeder Häufigkeitsgruppe werden die unerwünschte Wirkungen nach abnehmendem Schweregrad angegeben.
System/Organklasse gemäss MedDRA
Erkrankungen des Immunsystems
Gelegentlich: Überempfindlichkeit, die auch Angioödem, Zungen- und Lippenödem einschliessen kann.
Psychiatrische Erkrankungen
Häufig: Wahrnehmungsstörungena (einschl. Halluzinationen, optischer Halluzinationen, akustischer Halluzinationen, Illusion), Schlaflosigkeit, Schlafstörungen, Albträume, ungewöhnliche Träume, Impulsstörungena,b (einschl. Spielzwang, Stereotypie/Zwangshandlungen).
Gelegentlich: Schlafattacken/plötzliche Schlafanfälle, Paranoia, Sexuelle Wahrnehmungsstörungena (einschl. Hypersexualität, gesteigerte Libido), Verwirrtheitszustände, Desorientiertheitb, Agitiertheitb.
Selten: Psychotische Störungen, Zwangsstörungen, aggressives Verhalten/Aggression, Wahnvorstellungenb, Deliriumb.
Erkrankungen des Nervensystems
Sehr häufig: Somnolenz, Schwindelgefühl, Kopfschmerz.
Häufig: Bewusstseinsstörungen nicht näher bezeichneta (einschl. Synkope, vasovagale Synkope, Bewusstlosigkeit), Dyskinesiea, orthostatischer Schwindel, Lethargie.
Selten: Konvulsionen.
Augenerkrankungen
Gelegentlich: Verschwommenes Sehen, Sehverschlechterung, Photopsie.
Erkrankungen des Ohrs und des Labyrinths
Häufig: Schwindel.
Herzerkrankungen
Häufig: Palpitationen.
Gelegentlich: Vorhofflimmern.
Selten: Supraventrikuläre Tachykardie.
Gefässerkrankungen
Häufig: Orthostatische Hypotonie, Hypertonie.
Gelegentlich: Hypotonie.
Erkrankungen der Atemwege, des Brustraums und Mediastinums
Häufig: Singultus.
Erkrankungen des Gastrointestinaltrakts
Sehr häufig: Übelkeit, Erbrechena.
Häufig: Obstipation, Mundtrockenheit, Dyspepsie.
Gelegentlich: Bauchschmerzen.
Leber- und Gallenerkrankungen
Nicht bekannt: Erhöhte Leberenzyme (einschl. AST, ALT, CGT)
Erkrankungen der Haut und des Unterhautzellgewebes
Häufig: Erythema, Hyperhidrosisa, Juckreiz.
Gelegentlich: Generalisierter Juckreiz, Hautreizung, Kontaktdermatitis.
Selten: Generalisierter Ausschlag.
Skelettmuskulatur-, Bindegewebs- und Knochenerkrankungen
Nicht bekannt: erhöhte Kreatin(phospho)kinase (CPK-Werte)b
Erkrankungen der Geschlechtsorgane und der Brustdrüse
Gelegentlich: Erektile Dysfunktion.
Allgemeine Erkrankungen und Beschwerden am Verabreichungsort
Sehr häufig: Reaktionen an der Applikations- und Instillationsstellea (einschl. Erythem, Juckreiz, Reizung, Ausschlag, Dermatitis, Vesikel, Schmerzen, Ekzem, Entzündung, Schwellung, Verfärbung, Papeln, Exfoliation, Urtikaria, Überempfindlichkeit).
Häufig: Peripheres Ödem, Schwächezuständea (einschl. Müdigkeit, Asthenie, Unwohlsein).
Selten: Reizbarkeit.
Untersuchungen
Häufig: Gewichtsabnahme.
Gelegentlich: Gewichtszunahme, erhöhte Herzfrequenz,
Verletzung, Vergiftung und durch Eingriffe bedingte Komplikationen
Häufig: Sturzneigung.
a High-Level-Terminus.
b Daten aus gepoolten, doppelblinden, placebo-kontrollierten Studien
Unerwünschte Wirkungen nach Markteinführung
Essattacken und Essstörungen, zwanghaftes Kaufverhalten, Dopaminerges Dysregulationssyndrom, Diarrhoe, Rhabdomyolyse, Schwäche der Kopfhaltemuskulatur (Dropped Head Syndrome)
Beschreibung bestimmter unerwünschten Wirkungen
Plötzliches Einschlafen und Somnolenz
Neupro wurde mit Somnolenz, einschliesslich übermässiger Tagesschläfrigkeit sowie plötzlichen Schlafattacken in Verbindung gebracht. In vereinzelten Fällen kam es beim Führen eines Fahrzeugs zu «plötzlichem Einschlafen» und als Folge zu Autounfällen (siehe auch «Warnhinweise und Vorsichtsmassnahmen» und «Wirkung auf die Fahrtüchtigkeit und auf das Bedienen von Maschinen»).
Dopamin-Dysregulationssyndrom
Das Dopamin-Dysregulationssyndrom (DDS) ist eine Suchterkrankung, die bei einigen mit Neupro behandelten Patienten beobachtet wurde. Betroffene Patienten zeigen einen zwanghaften Missbrauch dopaminerger Arzneimittel mit Verwendung steigender und höherer Dosen als zur adäquaten Kontrolle der den Bewegungsablauf betreffenden Symptome erforderlich. Dies kann in einigen Fällen zu schweren Dyskinesien und psychiatrischen Symptomen führen (siehe auch «Warnhinweise und Vorsichtsmassnahmen»).
Störungen der Impulskontrolle
Bei Patienten, die mit Dopaminagonisten, einschliesslich Neupro, behandelt wurden, können Spielzwang, verstärkter Libido, Hypersexualität, Kaufsucht und zwanghaftes Geldausgeben, Essattacken und zwanghaftes Essen auftreten (siehe «Warnhinweise und Vorsichtsmassnahmen»).
Die Meldung des Verdachts auf Nebenwirkungen nach der Zulassung ist von grosser Wichtigkeit. Sie ermöglicht eine kontinuierliche Überwachung des Nutzen-Risiko-Verhältnisses des Arzneimittels. Angehörige von Gesundheitsberufen sind aufgefordert, jeden Verdacht einer neuen oder schwerwiegenden Nebenwirkung über das Online-Portal ElViS (Electronic Vigilance System) anzuzeigen. Informationen dazu finden Sie unter www.swissmedic.ch.

Überdosierung

In klinischen Studien wurden keine Fälle von Überdosierung berichtet. Im Falle einer Überdosierung wären am ehesten unerwünschte Ereignisse zu erwarten, die mit dem pharmakodynamischen Profil eines Dopaminagonisten in Zusammenhang stehen wie beispielsweise Übelkeit, Erbrechen, Hypotonie, unwillkürliche Bewegungen, Halluzinationen, Verwirrtheit, Konvulsionen und sonstige Zeichen einer zentralen dopaminergen Stimulation.
Behandlung oder Management einer Überdosierung
Es gibt kein bekanntes Antidot bei einer Überdosierung mit Dopaminagonisten. Besteht der Verdacht auf eine Überdosierung, so sollte ein Entfernen des Pflasters/der Pflaster in Betracht gezogen werden, da nach Entfernung des Pflasters/der Pflaster die Wirkstoffzufuhr gestoppt ist und die Plasmakonzentration von Rotigotin rasch sinkt.
Der Patient soll engmaschig überwacht werden, einschliesslich Messung von Herzfrequenz, Herzrhythmus und Blutdruck.
Die Behandlung einer Überdosierung kann allgemeine unterstützende Massnahmen erfordern, um die Vitalfunktionen aufrecht zu erhalten.
Von einer Dialyse wird kein Nutzen erwartet, da Rotigotin nicht durch Dialyse entfernt wird.
Wenn ein Absetzen von Rotigotin notwendig wird, sollte dies stufenweise erfolgen, um einem malignen neuroleptischen Syndrom und einem Dopaminagonisten-Entzugssyndrom vorzubeugen (siehe «Dosierung/Anwendung, Beendigung der Behandlung», «Warnhinweise und Vorsichtsmassnahmen, malignes neuroleptisches Syndrom und Dopaminagonisten-Entzugssyndrom»).

Eigenschaften/Wirkungen

ATC-Code
N04BC09
Wirkungsmechanismus
Rotigotin ist ein nicht-ergoliner D3/D2/D1-Dopaminagonist zur symptomatischen Behandlung des idiopathischen Morbus Parkinson und des idiopathischen Restless-Legs-Syndroms.
Entsprechend der funktionellen Aktivität an den verschiedenen Rezeptor-Subtypen und deren Verteilung im Gehirn wird Rotigotin als ein D2- und D3-Rezeptoragonist beschrieben, mit Wirksamkeit auch an den D1-, D4- und D5-Rezeptoren. An nicht-dopaminergen Rezeptoren zeigt Rotigotin einen Antagonismus an den alpha2B- und einen Agonismus an den 5HT1A-Rezeptoren, hingegen keine Aktivität an den 5HT2B-Rezeptoren.
Es wird angenommen, dass die günstige Wirkung von Rotigotin auf die Parkinson-Erkrankung über eine Aktivierung der D3-, D2- und D1-Rezeptoren in den Caudatus Putamen-Kerngebieten des Gehirns vermittelt wird.
Der genaue Wirkmechanismus von Rotigotin bei der Behandlung des RLS ist unbekannt. Es wird angenommen, dass Rotigotin seine Wirkung hauptsächlich über Dopamin-Rezeptoren ausübt.
Pharmakodynamik
Nicht zutreffend
Klinische Wirksamkeit
Klinische Studien zum Restless-Legs-Syndrom
Die Wirksamkeit von Neupro wurde in 5 placebokontrollierten Studien mit mehr als 1'400 Patienten mit idiopathischem Restless-Legs-Syndrom (RLS) evaluiert. Bei Patienten, die in kontrollierten Studien über einen Zeitraum von bis zu 29 Wochen behandelt wurden, hat sich das Arzneimittel als wirksam erwiesen. Die Wirkung hielt über einen Zeitraum von 6 Monaten an.
Die primären Wirksamkeitsparameter gegenüber Baseline wurden über die Veränderungen auf der International RLS Rating Scale (IRLS) und im CGI Teil 1 (Schweregrad der Erkrankung) gemessen. Für beide primären Endpunkte wurden statistisch signifikante Unterschiede gegenüber Placebo für die Dosen 1 mg/24 h, 2 mg/24 h und 3 mg/24 h nachgewiesen. Nach 6 Monaten Erhaltungstherapie bei Patienten mit mittelschwerem bis schwerem RLS verbesserte sich der Baseline-IRLS-Score von 30,7 auf 20,7 unter Placebo und von 30,2 auf 13,8 unter Neupro. Der adjustierte mittlere Unterschied betrug –6,5 Punkte (KI95% –8,7; –4,4, p <0,0001).
Die CGI-I Responderraten (deutlich verbessert, sehr deutlich verbessert) waren 43,0% für Placebo und 67,5% für Neupro (Unterschiede 24,5% KI95%; 14,2%; –34,8%, p <0,0001).
In einer placebokontrollierten, 7-wöchigen Studie wurden polysomnographische Parameter untersucht. Neupro führte zu einer signifikanten Verminderung des periodischen Beinbewegungsindex (PLMI, periodic limp movement index) von 50,9 auf 7,7, gegenüber 37,4 auf 32,7 unter Placebo (p <0,0001).
Klinische Studien zur Parkinson-Erkrankung
Die Wirksamkeit von Neupro in der symptomatischen Behandlung einer idiopathischen Parkinson-Erkrankung wurde in vier randomisierten, doppelblinden, placebokontrollierten Studien im Parallelgruppendesign evaluiert. In weiteren Studien wurde die Wirksamkeit von Rotigotin bei spezifischen Aspekten der Parkinson-Krankheit beurteilt.
In zwei Pivotalstudien wurde die Wirksamkeit von Neupro als Monotherapie in der symptomatischen Behandlung der idiopathischen Parkinson-Erkrankung im frühen Stadium untersucht. Die in diese Studien eingeschlossenen Patienten erhielten keine Begleitmedikation mit Dopaminagonisten und falls eine vorangehende Behandlung mit Levodopa stattgefunden hatte, lag diese mindestens 6 Monate vor Studieneinschluss zurück.
Primäre Outcome-Kriterien waren die skalische Bewertung der beiden Komponenten Aktivitäten des täglichen Lebens (Activities of Daily Living ADL, Teil II) und der Motorik (Teil III) der «Unified Parkinson's Disease Rating Scale (UPDRS)».
Die Wirksamkeit wurde bestimmt durch das Ansprechen der Patienten auf die Therapie anhand der Verbesserung der Responder-Rate und der absoluten Punktzahl in den Summenwerten der kombinierten ADL-Scores und der motorischen Untersuchung (UPDRS-Teil II und III).
In einer der doppelblinden Studien erhielten 177 Patienten Rotigotin und 96 Patienten Placebo. Beginnend mit 2 mg/24 h wurden die Patienten in wöchentlichen Schritten von 2 mg/24 h bis zu einer Höchstdosis von 6 mg/24 h auf die individuelle optimale Dosis Rotigotin oder Placebo eingestellt. Anschliessend erhielten die Patienten in jeder Behandlungsgruppe die für sie optimale Dosis über 6 Monate.
Am Ende der Erhaltungstherapie entsprach bei 91% der Patienten im Rotigotin-Arm die optimale Dosis der in dieser Studie zulässigen Höchstdosis von 6 mg/24 h. Eine Verbesserung um 20% wurde bei 48% der Patienten unter Rotigotin und bei 19% der Patienten unter Placebo beobachtet (Differenz 29% KI95% 18% – 39%, p <0,0001). Unter Rotigotin betrug die durchschnittliche Verbesserung beim UPDRS-Score (Teile II+III) –3,98 Punkte (Baseline 29,9 Punkte), während im Placebo-Behandlungsarm eine Verschlechterung von 1,31 Punkten beobachtet wurde (Baseline 30,0 Punkte). Die Differenz war mit 5,28 Punkten statistisch signifikant (p <0,0001).
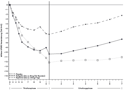
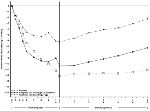
In einer zweiten doppelblinden Studie erhielten 213 Patienten Rotigotin, 227 Patienten Ropinirol und 117 Patienten Placebo. Die Patienten wurden, beginnend mit 2 mg/24 h, über vier Wochen in wöchentlichen Schritten von 2 mg/24 h bis zu einer Höchstdosis von 8 mg/24 h auf die individuelle optimale Dosis Rotigotin eingestellt. In der Ropinirol-Gruppe wurden die Patienten über 13 Wochen auf die optimale Dosis von bis zu 24 mg/Tag eingestellt. Anschliessend erhielten die Patienten jeder Behandlungsgruppe über 6 Monate diese Erhaltungstherapie.
Am Ende der Erhaltungstherapie (Untersuchung Nr. 17 in der folgenden Graphik) entsprach bei 92% der Patienten im Rotigotin-Arm die optimale Dosis der zulässigen Höchstdosis von 8 mg/24 h. Eine Verbesserung um 20% wurde bei 52% der Patienten unter Rotigotin, 68% der Patienten unter Ropinirol und 30% der Patienten unter Placebo beobachtet (Differenz Rotigotin versus Placebo 21,7%, KI95% 11,1% – 32,4%; Differenz Ropinirol versus Placebo 38,4%, KI95% 28,1% – 48,6%; Differenz Ropinirol versus Rotigotin 16,6%, KI95% 7,6% – 25,7%). Die durchschnittliche Verbesserung beim UPDRS-Score (Teile II+III) betrug 6,83 Punkte (Baseline 33,2 Punkte) im Rotigotin-Arm, 10,78 Punkte im Ropinirol-Arm (Baseline 32,2 Punkte) und 2,33 Punkte im Placebo-Arm (Baseline 31,3 Punkte). Alle Unterschiede zwischen den aktiven Behandlungen und Placebo waren statistisch signifikant. In dieser Studie konnte die Nicht-Unterlegenheit von Rotigotin gegenüber Ropinirol nicht nachgewiesen werden.

In einer nachfolgenden multinationalen, offenen Multicenter-Studie wurde die Verträglichkeit der nächtlichen Umstellung von Ropinirol, Pramipexol oder Cabergolin auf ein transdermales Rotigotin-Pflaster und dessen Wirksamkeit auf die Symptome der idiopathischen Parkinson-Erkrankung untersucht. 116 Patienten wurden von der bisherigen oralen Therapie auf bis zu 8 mg/24 h Rotigotin umgestellt, von diesen waren 47 mit bis zu 9 mg Ropinirol pro Tag behandelt worden, 47 waren mit bis zu 2 mg Pramipexol pro Tag und 22 mit bis zu 3 mg Cabergolin pro Tag behandelt worden. Die Umstellung auf Rotigotin war praktikabel, nur bei 2 Patienten, die mit Ropinirol, bei 5 Patienten, die mit Pramipexol und bei 4 Patienten, die mit Cabergolin behandelt wurden, war eine geringe Dosierungsangleichung (durchschnittlich 2 mg/24 h) notwendig. Verbesserungen des UPDRS-Scores Teil I – IV wurde beobachtet. Das Sicherheitsprofil war gegenüber früheren Studien unverändert.
Zwei zusätzliche Pivotalstudien mit Patienten, welche als Begleitmedikation Levodopa erhielten, wurden durchgeführt. Die primäre Outcome-Beurteilung war die Reduktion der «off»-Zeit (Stunden). Die Wirksamkeit wurde bestimmt durch das Ansprechen der Patienten auf die Therapie (Responder) und die absolute Verbesserung der erlebten «off»-Zeit.
In einer Doppelblindstudie erhielten 113 Patienten zusätzlich zu einer Levodopamedikation Rotigotin bis zu einer maximalen Dosis von 8 mg/24 h, 109 Patienten erhielten Rotigotin bis maximal 12 mg/24 h und 119 Patienten erhielten Placebo.
Die Patienten wurden mit einer Startdosis von 4 mg/24 h auf ihre optimale Dosis eingestellt durch eine wöchentliche Dosiserhöhung von 2 mg/24 h.
In jeder Behandlungsgruppe wurden die Patienten auf ihrer individuellen, optimalen Erhaltungsdosis für 6 Monate behandelt. Am Ende der Behandlungsphase wurde eine Verbesserung der absoluten «off»-Zeit von mindestens 30% bei 57% der Patienten unter 8 mg und bei 55% der Patienten unter 12 mg/24 h ermittelt und bei 34% der Patienten, die Placebo erhielten (Unterschied 22% und 21%, bzw. CI95% 10% – 35% und 8% – 33% bzw. p <0,001 für beide Rotigotin-Gruppen). Die mittlere Reduktion der «off»-Zeit mit Rotigotin betrug 2,7 Stunden unter 8 mg/24 h und 2,1 Stunden unter 12 mg/24 h bzw. in der Placebo-behandelten Gruppe 0,9 Stunden. Der Unterschied war statistisch signifikant (p <0,001 bzw. p= 0,003).
In einer zweiten Doppelblindstudie erhielten 201 Patienten Rotigotin, 200 Patienten Pramipexol und 100 Patienten Placebo. Die Patienten in der Rotigotingruppe wurden auf ihre optimale Dosis eingestellt, beginnend mit 4 mg/24 h mit wöchentlichen Erhöhungen von 2 mg/24 h bis zu einer Maximaldosis von 16 mg/24 h. In der Pramipexolgruppe erhielten die Patienten in der ersten Woche 0,375 mg, in der zweiten Woche 0,75 mg, dann wurde in wöchentlichen Intervallen die Dosis um 0,75 mg erhöht bis zum Erreichen der individuellen, optimalen Erhaltungsdosis, maximal 4,5 mg täglich. In jeder Gruppe wurden die Patienten während 4 Monaten behandelt.
Am Ende der Behandlungsphase wurde eine Verbesserung von mindestens 30% der absoluten «off»-Zeit (Responsekriterium) bei 60% der Rotigotin-behandelten Patienten, bei 67% der Pramipexol-behandelten und bei 35% der Placebo-behandelten Patienten festgestellt (Unterschied Rotigotin vs. Placebo 25%: CI95% 13%: 36%, Unterschied Pramipexol vs. Placebo 32% CI95% 21%: 43%, Unterschied Pramipexol vs. Rotigotin 7%: CI95% –2%: 17%). Die Non-Inferiorität gegenüber Pramipexol wurde so nicht gezeigt.
Die mittlere Reduktion der «off»-Zeit betrug 2,5 Stunden im Rotigotin-Arm, 2,8 Stunden im Pramipexol-Arm und 0,9 Stunden im Placebo-Arm. Alle Unterschiede zwischen aktiver Behandlung und Placebo waren statistisch signifikant.
Eine weitere multinationale Doppelblindstudie wurde an 287 Patienten mit beginnender oder fortgeschrittener Parkinson-Erkrankung und unzureichender Kontrolle der frühmorgendlichen Beweglichkeit durchgeführt. 81,5% der Patienten wurden zusätzlich mit Levodopa therapiert. 190 Patienten erhielten Rotigotin und 97 Placebo. Die Patienten wurden über 8 Wochen beginnend mit einer Dosis von 2 mg/24 h in Schritten von 2 mg/24 h pro Woche auf die optimale Dosis von Rotigotin oder Placebo bis zur Maximaldosis von 16 mg/24 h eingestellt und diese Erhaltungsdosen wurden über 4 Wochen beibehalten. Die co-primären Zielparameter waren die frühmorgendliche Beweglichkeit, gemessen mit der Unified Parkinsons's Disease Rating Scale (UPDRS III) und die Störungen des Nachtschlafs, gemessen anhand der modifizierten Parkinson's Disease Sleep Scale (PDSS-2). Am Ende der Erhaltungsphase hatte sich bei mit Rotigotin behandelten Patienten (Baseline 29,6) der durchschnittliche UPDRS III-Wert um 7,0 Punkte und bei der Placebo-Gruppe (Baseline 32,0) um 3,9 Punkte verbessert. Die Steigerung des PDSS-2-Gesamtwertes in der Rotigotin-Gruppe betrug 5,9 Punkte (Baseline 19,3) und 1,9 Punkte in der Placebo-Gruppe (Baseline 20,5). Die Behandlungsunterschiede für die co-primären Variablen waren statistisch signifikant (p= 0,0002 und p <0,0001).

Pharmakokinetik

Absorption
Nach der Applikation wird Rotigotin fortlaufend aus dem transdermalen Pflaster freigesetzt und über die Haut aufgenommen. Steady-state-Konzentrationen werden ein bis zwei Tage nach Aufkleben des Pflasters erreicht, indem das Pflaster einmal täglich angewendet und über 24 Stunden getragen wird. Rotigotin weist in einem Dosisbereich von 1 mg/Tag (5 cm²) bis 16 mg/Tag (2× 40 cm²) ein dosisproportionales pharmakokinetisches Profil auf.
Rund 45% des im Pflaster enthaltenen arzneilich wirksamen Bestandteils werden über 24 Stunden an die Haut abgegeben. Die absolute Bioverfügbarkeit nach transdermaler Anwendung liegt bei etwa 37%.
Der Wechsel der Applikationsstelle kann von Tag zu Tag zu differierenden Plasmaspiegeln führen. Die Unterschiede in der Bioverfügbarkeit von Rotigotin schwankten zwischen 2% (Oberarm versus Flanke) und 46% (Schulter versus Oberschenkel). Es gibt jedoch keine Hinweise darauf, dass dies einen relevanten Einfluss auf das klinische Ergebnis hat.
Distribution
Die In-vitro-Plasmaproteinbindung von Rotigotin beträgt ungefähr 92%.
Das scheinbare Verteilungsvolumen beim Menschen liegt bei rund 84 l/kg.
Metabolismus
Rotigotin wird in hohem Umfang metabolisiert.
Rotigotin wird durch N-Dealkylierung sowie direkte und sekundäre Konjugation verstoffwechselt. In-vitro-Ergebnisse weisen darauf hin, dass verschiedene CYP-Isoforme in der Lage sind, die N-Dealkylierung von Rotigotin zu katalysieren. Die Hauptmetaboliten sind Sulfate und Glukuronidkonjugate der Muttersubstanz sowie biologisch inaktive N-Desalkylmetaboliten. Die Daten zu den Metaboliten sind unvollständig.
Elimination
Etwa 71% der Rotigotindosis werden als inaktive Konjugate mit dem Urin ausgeschieden; ein geringerer Anteil von ca. 23% mit den Fäzes.
Die Clearance von Rotigotin nach transdermaler Anwendung beträgt etwa 10 l/min und die Gesamt-Eliminationshalbwertszeit liegt bei 5 bis 7 Stunden. Das pharmakokinetische Profil zeigt eine zweiphasige Elimination mit einer initialen Halbwertszeit von ca. 2 bis 3 Stunden.
Da das Pflaster transdermal angewendet wird, sind keine Auswirkungen durch Nahrungsmittel und gastrointestinale Erkrankungen zu erwarten.
Kinetik spezieller Patientengruppen
Da die Therapie mit Neupro mit einer niedrigen Dosierung eingeleitet und entsprechend der klinischen Verträglichkeit schrittweise zur Erzielung der optimalen therapeutischen Wirkung erhöht wird, ist eine Anpassung der Dosis nach Geschlecht, Gewicht oder Alter nicht erforderlich (siehe «Dosierung/Anwendung»).
Leberfunktionsstörungen
Bei Patienten mit mittelschwerer Einschränkung der Leberfunktion wurde keine relevante Erhöhung der Rotigotin-Plasmaspiegel beobachtet. Neupro wurde bei Patienten mit schwerer Leberfunktionseinschränkung nicht untersucht und ist bei diesen Patienten kontraindiziert (siehe «Kontraindikationen»).
Nierenfunktionsstörungen
Bei Patienten mit leichter bis schwerer Einschränkung der Nierenfunktion wurde keine relevante Erhöhung der Rotigotin-Plasmaspiegel beobachtet.
Die Plasmaspiegel der Konjugate von Rotigotin und seiner Desalkylmetaboliten steigen bei eingeschränkter Nierenfunktion an. Dennoch ist es unwahrscheinlich, dass diese Metabolite zu den klinischen Effekten beitragen (siehe «Dosierung/Anwendung, Spezielle Dosierungsanweisungen»).

Präklinische Daten

In Studien zu chronischer und Langzeit-Toxizität waren die wesentlichen Wirkungen assoziiert mit den mit Dopaminagonisten in Verbindung stehenden pharmakodynamischen Wirkungen und der daraus folgenden Herabsetzung der Prolaktinsekretion.
Wie auch für andere Dopaminagonisten berichtet, zeigte sich bei pigmentierten Ratten und Affen nach einer Einzeldosis Rotigotin eine Bindung an Melanin enthaltende Gewebe (d.h. Augen), die sich im Verlauf des 14-tägigen Beobachtungszeitraums jedoch allmählich zurückgebildet hatte.
In einer dreimonatigen Studie an Albinoratten wurde unter einer Dosis, die auf mg/m²-Basis dem 2,8-Fachen der für den Menschen empfohlenen Höchstdosis entspricht, mittels Transmissionsmikroskopie eine Retinadegeneration beobachtet, wobei die Effekte bei weiblichen Ratten stärker ausgeprägt waren. Zusätzliche Studien zur weitergehenden Evaluierung der spezifischen pathologischen Mechanismen wurden nicht durchgeführt. Bei der routinemässigen histopathologischen Augenuntersuchung wurde in keiner der Studien zur Toxikologie bei keiner untersuchten Tierart eine Retinadegeneration beobachtet. Die Relevanz dieser Befunde für den Menschen ist nicht bekannt.
Mutagenität
Rotigotin induzierte im Ames-Test keine Genmutationen, zeigte jedoch in vitro im Mauslymphom-Test Effekte mit metabolischer Aktivierung sowie schwächere Effekte ohne metabolische Aktivierung. Dieser mutagene Effekt könnte auf eine klastogene Wirkung von Rotigotin zurückzuführen sein, wurde jedoch in vivo im Maus-Mikronukleustest und im Ratten-UDS-Test (Unscheduled DNA Synthesis) nicht bestätigt. Da dieser Effekt mehr oder weniger parallel mit einem verringerten relativen Zellwachstum insgesamt einherging, könnte er mit einer Zytotoxizität des Wirkstoffs im Zusammenhang stehen. Daher ist die Bedeutung des einen positiven in-vitro-Mutagenitätstests nicht bekannt.
Karzinogenität
In einer Studie zur Kanzerogenität kam es bei männlichen Ratten zur Entwicklung von Leydigzelltumoren und -hyperplasie. Maligne Tumoren wurden vorwiegend im Uterus von weiblichen Tieren festgestellt, die mit mittleren und hohen Dosen behandelt wurden. Bei diesen Veränderungen handelt es sich um wohl bekannte Wirkungen von Dopaminagonisten bei Ratten nach lebenslanger Therapie, die für den Menschen als nicht relevant beurteilt werden.
Reproduktionstoxizität
Die potenziellen Wirkungen von Neupro wurden an Ratten, Kaninchen und Mäusen untersucht. Bei allen drei Spezies hat sich Neupro als nicht teratogen erwiesen. Bei Ratten und Mäusen führten maternal toxische Dosen allerdings zu embryotoxischen Wirkungen. Neupro hatte bei Ratten keine Auswirkungen auf die männliche Fertilität, verminderte jedoch aufgrund der im Fall von Nagetieren besonders signifikanten Wirkungen auf die Prolaktinspiegel eindeutig die weibliche Fertilität von Ratten und Mäusen.

Sonstige Hinweise

Inkompatibilitäten
Um die Klebeeigenschaften des transdermalen Pflasters nicht zu beeinträchtigen, dürfen in dem Hautbereich, auf den Neupro aufgeklebt werden soll, keine Cremes, Lotionen oder Puder angewendet werden.
Beeinflussung diagnostischer Methoden
Die Trägerschicht von Neupro enthält Aluminium. Wenn sich der Patient einer Kernspintomographie (MRT) oder Kardioversion unterziehen muss, muss Neupro zur Vorbeugung von Hautverbrennungen entfernt werden.
Haltbarkeit
Das Arzneimittel darf nur bis zu dem auf der Packung mit «EXP» bezeichneten Datum verwendet werden.
Besondere Lagerungshinweise
Nicht über 30 °C lagern.
In der Originalverpackung und im ungeöffneten Beutel aufbewahren.
Arzneimittel für Kinder unzugänglich aufbewahren.
Hinweise für die Handhabung
Beutel zum Aufreissen.
Neupro darf nicht in Stücke geschnitten werden.
Das Pflaster muss unmittelbar nach der Entnahme aus dem (Schutz-)Beutel aufgeklebt werden.
Nach der Anwendung enthält das Pflaster immer noch erhebliche Mengen des arzneilich wirksamen Bestandteils. Nach der Entfernung ist das gebrauchte Pflaster mit der Klebeseite nach innen zur Hälfte zu falten, so dass die Matrixschicht nicht exponiert ist, wieder in den ursprünglichen Beutel zu geben und dann für Kinder unzugänglich zu entsorgen. Alle gebrauchten oder ungebrauchten Pflaster sind entsprechend fachgerecht zu entsorgen oder in die Apotheke zurückzubringen.

Zulassungsnummer

57'417 (Swissmedic)

Packungen

Neupro 1 mg/24 h: 7 und 28 Pflaster (B)
Neupro 2 mg/24 h: 7 und 28 Pflaster (B)
Neupro 3 mg/24 h: 7 und 28 Pflaster (B)
Neupro 4 mg/24 h: 7 und 28 Pflaster (B)
Neupro 6 mg/24 h: 7 und 28 Pflaster (B)
Neupro 8 mg/24 h: 28 Pflaster (B)

Zulassungsinhaberin

UCB-Pharma AG, Bulle

Stand der Information

März 2021

2025 ©ywesee GmbH
Hilfe | Anmeldung | Kontakt | Home