Eigenschaften/WirkungenATC-Code
A02BC05
Wirkungsmechanismus
Esomeprazol ist eine schwache Base und wird in der stark sauren Umgebung der sekretorischen Canaliculi der Parietalzelle konzentriert und in die aktive Form umgewandelt. In der Parietalzelle bewirkt Esomeprazol eine Blockade des Enzyms H+/K+-ATPase, der Protonenpumpe, und sorgt somit für eine hochwirksame Hemmung der basalen wie auch der stimulierten Säuresekretion.
Wirkung auf die Magensäuresekretion
Nach oraler Verabreichung von 20 mg resp. 40 mg Esomeprazol setzt die Wirkung innerhalb einer Stunde ein. Bei wiederholter Einnahme von 20 mg Esomeprazol einmal täglich während 5 Tagen, ist der durchschnittliche Maximalwert der Säuresekretion nach einer Pentagastrin Stimulation bei einer Messung am 5. Tag, ca. 6–7 h nach Verabreichung, um 90% reduziert.
Nach fünftägiger, oraler Verabreichung von 20 mg resp. 40 mg Esomeprazol konnte ein intragastrischer pH über 4 während durchschnittlich 13 resp. 17 Stunden aufrecht erhalten werden; bei Patienten mit symptomatischer Refluxkrankheit (GERD) während mehr als 24 Stunden.
Der Anteil der Patienten mit einem intragastrischen pH über 4 während mindestens 8, 12 resp. 16 Stunden, betrug 76%, 54% und 24% bei Einnahme von 20 mg Esomeprazol, und 97%, 92% und 56% bei 40 mg Esomeprazol.
Wird die Fläche unter der Plasmakonzentrations-Zeitkurve (AUC) als stellvertretender Parameter für die Plasmakonzentration verwendet, kann eine Beziehung zwischen der Säurehemmung und der AUC gezeigt werden.
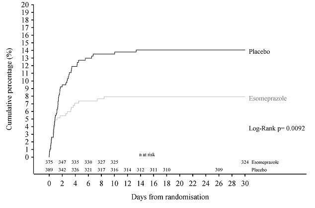
In einer randomisierten, doppelblinden und placebokontrollierten klinischen Studie wurden 764 Patienten mit einem endoskopisch bestätigten blutenden peptischen Ulcus, entweder zu Esomeprazol i.v. (n=375) oder zu Placebo (n=389) randomisiert. Nach der endoskopischen Blutstillung erhielten die Patienten entweder 80 mg Esomeprazol oder Placebo als i.v. Infusion über 30 Minuten gefolgt von einer konstanten Infusion von 8 mg/h während insgesamt 72 Stunden. Nach diesen ersten 72 Stunden erhielten alle Patienten während 27 Tagen 40 mg Esomeprazol oral zur Säurehemmung. In der Esomeprazol i.v. Gruppe trat innerhalb der ersten 3 Tage bei 5,9% der Patienten eine erneute Blutung auf, verglichen mit 10,3% bei der Placebogruppe (p=0,0256). Innerhalb der ersten 7 Tage trat bei 7,2% der Patienten in der Esomeprazol i.v. Gruppe eine erneute Blutung auf, verglichen mit 12,9% unter Placebo (p=0,0096), innerhalb der ersten 30 Tage waren es 7,7% unter Esomeprazol i.v. bzw. 13,6% unter Placebo (p=0,0092). In der dritten und vierten Woche der Studie traten keine Blutungen mehr auf.
Kaplan-Meier-Kurve des kumulativen Anteils (%) an Patienten mit erneuter Blutung innerhalb von 30 Tagen

Therapeutische Wirkungen der Säurehemmung
Mit täglich 40 mg Esomeprazol erfolgte bei ca. 78% der Patienten eine Abheilung der Refluxösophagitis innerhalb von 4 Wochen, bei ca. 93% der Patienten innerhalb von 8 Wochen. Eine einwöchige Behandlung mit 2x täglich 20 mg Esomeprazol kombiniert mit geeigneten Antibiotika bewirkte bei ca. 90% der Patienten eine Eradikation von Helicobacter pylori. Nach 1 Woche Eradikationstherapie ist für eine effektive Ulkusheilung und Symptombefreiung bei komplikationsfreien Duodenalulcera keine nachfolgende Monotherapie mit Säurehemmern notwendig.
Andere Wirkungen in Verbindung mit der Säurehemmung
Sowohl bei Kindern als auch bei Erwachsenen wurde während der Langzeit-Behandlung mit Esomeprazol eine erhöhte Anzahl von ECL-Zellen (Enterochromaffin-ähnliche Zellen) beobachtet. Dies kann möglicherweise mit dem erhöhten Serumgastrin Spiegel zusammenhängen. In über 1000 Patienten, die mit Esomeprazol (10, 20, 40 mg/Tag) während 6–12 Monaten behandelt wurden, nahm die Prävalenz von ECL-Hyperplasie (ECL: Enterochromaffin-ähnliche Zellen) Dosis- und Therapiedauer-abhängig zu. Kein Patient entwickelte ein ECL-Karzinoid, eine ECL-Dysplasie oder eine Neoplasie der Magenschleimhaut.
Verminderte Azidität im Magen kann allgemein die intragastrische Bakterienzahl erhöhen. Eine Behandlung mit säurehemmenden Substanzen kann zu einer leichten Erhöhung des Risikos gastrointestinaler Infektionen z.B. durch Salmonellen und Campylobacter führen, bei hospitalisierten Patienten möglicherweise auch durch Clostridium difficile.
Die Wirksamkeit von Esomeprazol zur Heilung von Ulcera ventriculi wurde in zwei doppelblinden aktiv-kontrollierten Multizenterstudien bei 846 Patienten im Alter zwischen 18 und 88 Jahren (medianes Alter 59,5 Jahre) untersucht. 262 Patienten erhielten Esomeprazol 40 mg einmal täglich, 276 Esomeprazol 20 mg einmal täglich und 271 Ranitidin 150 mg zweimal täglich. Alle Patienten nahmen während mindestens 4 Wochen vor der Randomisierung NSAR (inkl. COX-2 selektive NSAR) ein und setzten diese Therapie während der gesamten Studiendauer fort. Die Patienten waren Helicobacter pylori negativ und hatten ein endoskopisch bestätigtes Ulcus ventriculi mit einem Durchmesser bis zu 25 mm. Die Heilungsraten der Ulcera ventriculi nach 4 und 8 Wochen waren sowohl unter Esomeprazol 40 mg als auch unter Esomeprazol 20 mg grösser als unter Ranitidin. Mit Esomeprazol 40 mg waren die Heilungsraten nach 4 Wochen Behandlung 78% (p=0,036; p-Werte versus Ranitidin) bei der ersten Studie und 71% (p=0,009) bei der zweiten Studie; nach acht Wochen lagen die Heilungsraten bei 92% (p<0,001) bei der ersten Studie und bei 86% (p=0,047) bei der zweiten Studie.
Die Wirksamkeit von Esomeprazol zur Vorbeugung von Ulcus ventriculi und Ulcus duodeni wurde in zwei doppelblinden placebokontrollierten Multizenterstudien bei 1429 Patienten untersucht. 480 Patienten erhielten Esomeprazol 40 mg einmal täglich, 476 Esomeprazol 20 mg einmal täglich und 473 Placebo. Alle Patienten nahmen während der gesamten Studiendauer NSAR (inkl. COX-2 selektive NSAR) ein. Die Patienten waren Helicobacter pylori negativ und Risikopatienten (d.h. sie hatten ein belegtes Ulcus ventriculi oder ein Ulcus duodeni während den vergangenen 5 Jahren und/oder sie waren mindestens 60 Jahre alt). Während der 6-monatigen Behandlung war der kumulative Anteil an Patienten ohne Ulcus ventriculi oder Ulcus duodeni bei den mit Esomeprazol behandelten Patienten grösser als bei den Patienten unter Placebo. Der beobachtete kumulative Prozentsatz an Patienten ohne Ulcus ventriculi oder Ulcus duodeni war in der ersten Studie für Esomeprazol 40 mg 95,9% (p=0,0074; p-Werte versus Placebo; Log-rank Test), für Esomeprazol 20 mg 95,3% (p=0,0180; Log-rank Test) und für Placebo 89,2%. In der zweiten Studie lag dieser Prozentsatz für Esomeprazol 40 mg bei 95,9% (p<0,001; Log-rank Test), für Esomeprazol 20 mg bei 95,5% (p=0,0001; Log-rank Test) und für Placebo bei 82,8%. Es existieren keine klinischen Studien, die die prophylaktische Wirkung länger als 6 Monate untersucht haben.
Pharmakodynamik
Esomeprazol ist das S-Enantiomer des Racemates Omeprazol. Esomeprazol vermindert die Magensäuresekretion durch einen zielgerichteten, spezifischen Wirkungsmechanismus. Esomeprazol ist ein spezifischer Inhibitor der Protonenpumpe der Parietalzelle.
Klinische Wirksamkeit
Siehe auch unter «Wirkungsmechanismus».
|