Eigenschaften/WirkungenATC-Code
N04BC09
Wirkungsmechanismus
Rotigotin ist ein nicht-ergoliner D3/D2/D1-Dopaminagonist zur symptomatischen Behandlung des idiopathischen Morbus Parkinson und des idiopathischen Restless-Legs-Syndroms.
Entsprechend der funktionellen Aktivität an den verschiedenen Rezeptor-Subtypen und deren Verteilung im Gehirn wird Rotigotin als ein D2- und D3-Rezeptoragonist beschrieben, mit Wirksamkeit auch an den D1-, D4- und D5-Rezeptoren. An nicht-dopaminergen Rezeptoren zeigt Rotigotin einen Antagonismus an den alpha2B- und einen Agonismus an den 5HT1A-Rezeptoren, hingegen keine Aktivität an den 5HT2B-Rezeptoren.
Es wird angenommen, dass die günstige Wirkung von Rotigotin auf die Parkinson-Erkrankung über eine Aktivierung der D3-, D2- und D1-Rezeptoren in den Caudatus Putamen-Kerngebieten des Gehirns vermittelt wird.
Der genaue Wirkmechanismus von Rotigotin bei der Behandlung des RLS ist unbekannt. Es wird angenommen, dass Rotigotin seine Wirkung hauptsächlich über Dopamin-Rezeptoren ausübt.
Pharmakodynamik
Nicht zutreffend
Klinische Wirksamkeit
Klinische Studien zum Restless-Legs-Syndrom
Die Wirksamkeit von Neupro wurde in 5 placebokontrollierten Studien mit mehr als 1'400 Patienten mit idiopathischem Restless-Legs-Syndrom (RLS) evaluiert. Bei Patienten, die in kontrollierten Studien über einen Zeitraum von bis zu 29 Wochen behandelt wurden, hat sich das Arzneimittel als wirksam erwiesen. Die Wirkung hielt über einen Zeitraum von 6 Monaten an.
Die primären Wirksamkeitsparameter gegenüber Baseline wurden über die Veränderungen auf der International RLS Rating Scale (IRLS) und im CGI Teil 1 (Schweregrad der Erkrankung) gemessen. Für beide primären Endpunkte wurden statistisch signifikante Unterschiede gegenüber Placebo für die Dosen 1 mg/24 h, 2 mg/24 h und 3 mg/24 h nachgewiesen. Nach 6 Monaten Erhaltungstherapie bei Patienten mit mittelschwerem bis schwerem RLS verbesserte sich der Baseline-IRLS-Score von 30,7 auf 20,7 unter Placebo und von 30,2 auf 13,8 unter Neupro. Der adjustierte mittlere Unterschied betrug –6,5 Punkte (KI95% –8,7; –4,4, p <0,0001).
Die CGI-I Responderraten (deutlich verbessert, sehr deutlich verbessert) waren 43,0% für Placebo und 67,5% für Neupro (Unterschiede 24,5% KI95%; 14,2%; –34,8%, p <0,0001).
In einer placebokontrollierten, 7-wöchigen Studie wurden polysomnographische Parameter untersucht. Neupro führte zu einer signifikanten Verminderung des periodischen Beinbewegungsindex (PLMI, periodic limp movement index) von 50,9 auf 7,7, gegenüber 37,4 auf 32,7 unter Placebo (p <0,0001).
Klinische Studien zur Parkinson-Erkrankung
Die Wirksamkeit von Neupro in der symptomatischen Behandlung einer idiopathischen Parkinson-Erkrankung wurde in vier randomisierten, doppelblinden, placebokontrollierten Studien im Parallelgruppendesign evaluiert. In weiteren Studien wurde die Wirksamkeit von Rotigotin bei spezifischen Aspekten der Parkinson-Krankheit beurteilt.
In zwei Pivotalstudien wurde die Wirksamkeit von Neupro als Monotherapie in der symptomatischen Behandlung der idiopathischen Parkinson-Erkrankung im frühen Stadium untersucht. Die in diese Studien eingeschlossenen Patienten erhielten keine Begleitmedikation mit Dopaminagonisten und falls eine vorangehende Behandlung mit Levodopa stattgefunden hatte, lag diese mindestens 6 Monate vor Studieneinschluss zurück.
Primäre Outcome-Kriterien waren die skalische Bewertung der beiden Komponenten Aktivitäten des täglichen Lebens (Activities of Daily Living ADL, Teil II) und der Motorik (Teil III) der «Unified Parkinson's Disease Rating Scale (UPDRS)».
Die Wirksamkeit wurde bestimmt durch das Ansprechen der Patienten auf die Therapie anhand der Verbesserung der Responder-Rate und der absoluten Punktzahl in den Summenwerten der kombinierten ADL-Scores und der motorischen Untersuchung (UPDRS-Teil II und III).
In einer der doppelblinden Studien erhielten 177 Patienten Rotigotin und 96 Patienten Placebo. Beginnend mit 2 mg/24 h wurden die Patienten in wöchentlichen Schritten von 2 mg/24 h bis zu einer Höchstdosis von 6 mg/24 h auf die individuelle optimale Dosis Rotigotin oder Placebo eingestellt. Anschliessend erhielten die Patienten in jeder Behandlungsgruppe die für sie optimale Dosis über 6 Monate.
Am Ende der Erhaltungstherapie entsprach bei 91% der Patienten im Rotigotin-Arm die optimale Dosis der in dieser Studie zulässigen Höchstdosis von 6 mg/24 h. Eine Verbesserung um 20% wurde bei 48% der Patienten unter Rotigotin und bei 19% der Patienten unter Placebo beobachtet (Differenz 29% KI95% 18% – 39%, p <0,0001). Unter Rotigotin betrug die durchschnittliche Verbesserung beim UPDRS-Score (Teile II+III) –3,98 Punkte (Baseline 29,9 Punkte), während im Placebo-Behandlungsarm eine Verschlechterung von 1,31 Punkten beobachtet wurde (Baseline 30,0 Punkte). Die Differenz war mit 5,28 Punkten statistisch signifikant (p <0,0001).
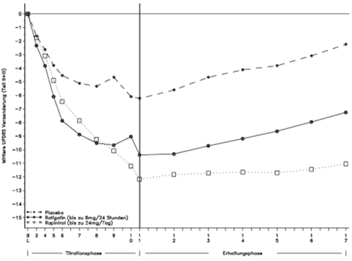
In einer zweiten doppelblinden Studie erhielten 213 Patienten Rotigotin, 227 Patienten Ropinirol und 117 Patienten Placebo. Die Patienten wurden, beginnend mit 2 mg/24 h, über vier Wochen in wöchentlichen Schritten von 2 mg/24 h bis zu einer Höchstdosis von 8 mg/24 h auf die individuelle optimale Dosis Rotigotin eingestellt. In der Ropinirol-Gruppe wurden die Patienten über 13 Wochen auf die optimale Dosis von bis zu 24 mg/Tag eingestellt. Anschliessend erhielten die Patienten jeder Behandlungsgruppe über 6 Monate diese Erhaltungstherapie.
Am Ende der Erhaltungstherapie (Untersuchung Nr. 17 in der folgenden Graphik) entsprach bei 92% der Patienten im Rotigotin-Arm die optimale Dosis der zulässigen Höchstdosis von 8 mg/24 h. Eine Verbesserung um 20% wurde bei 52% der Patienten unter Rotigotin, 68% der Patienten unter Ropinirol und 30% der Patienten unter Placebo beobachtet (Differenz Rotigotin versus Placebo 21,7%, KI95% 11,1% – 32,4%; Differenz Ropinirol versus Placebo 38,4%, KI95% 28,1% – 48,6%; Differenz Ropinirol versus Rotigotin 16,6%, KI95% 7,6% – 25,7%). Die durchschnittliche Verbesserung beim UPDRS-Score (Teile II+III) betrug 6,83 Punkte (Baseline 33,2 Punkte) im Rotigotin-Arm, 10,78 Punkte im Ropinirol-Arm (Baseline 32,2 Punkte) und 2,33 Punkte im Placebo-Arm (Baseline 31,3 Punkte). Alle Unterschiede zwischen den aktiven Behandlungen und Placebo waren statistisch signifikant. In dieser Studie konnte die Nicht-Unterlegenheit von Rotigotin gegenüber Ropinirol nicht nachgewiesen werden.

In einer nachfolgenden multinationalen, offenen Multicenter-Studie wurde die Verträglichkeit der nächtlichen Umstellung von Ropinirol, Pramipexol oder Cabergolin auf ein transdermales Rotigotin-Pflaster und dessen Wirksamkeit auf die Symptome der idiopathischen Parkinson-Erkrankung untersucht. 116 Patienten wurden von der bisherigen oralen Therapie auf bis zu 8 mg/24 h Rotigotin umgestellt, von diesen waren 47 mit bis zu 9 mg Ropinirol pro Tag behandelt worden, 47 waren mit bis zu 2 mg Pramipexol pro Tag und 22 mit bis zu 3 mg Cabergolin pro Tag behandelt worden. Die Umstellung auf Rotigotin war praktikabel, nur bei 2 Patienten, die mit Ropinirol, bei 5 Patienten, die mit Pramipexol und bei 4 Patienten, die mit Cabergolin behandelt wurden, war eine geringe Dosierungsangleichung (durchschnittlich 2 mg/24 h) notwendig. Verbesserungen des UPDRS-Scores Teil I – IV wurde beobachtet. Das Sicherheitsprofil war gegenüber früheren Studien unverändert.
Zwei zusätzliche Pivotalstudien mit Patienten, welche als Begleitmedikation Levodopa erhielten, wurden durchgeführt. Die primäre Outcome-Beurteilung war die Reduktion der «off»-Zeit (Stunden). Die Wirksamkeit wurde bestimmt durch das Ansprechen der Patienten auf die Therapie (Responder) und die absolute Verbesserung der erlebten «off»-Zeit.
In einer Doppelblindstudie erhielten 113 Patienten zusätzlich zu einer Levodopamedikation Rotigotin bis zu einer maximalen Dosis von 8 mg/24 h, 109 Patienten erhielten Rotigotin bis maximal 12 mg/24 h und 119 Patienten erhielten Placebo.
Die Patienten wurden mit einer Startdosis von 4 mg/24 h auf ihre optimale Dosis eingestellt durch eine wöchentliche Dosiserhöhung von 2 mg/24 h.
In jeder Behandlungsgruppe wurden die Patienten auf ihrer individuellen, optimalen Erhaltungsdosis für 6 Monate behandelt. Am Ende der Behandlungsphase wurde eine Verbesserung der absoluten «off»-Zeit von mindestens 30% bei 57% der Patienten unter 8 mg und bei 55% der Patienten unter 12 mg/24 h ermittelt und bei 34% der Patienten, die Placebo erhielten (Unterschied 22% und 21%, bzw. CI95% 10% – 35% und 8% – 33% bzw. p <0,001 für beide Rotigotin-Gruppen). Die mittlere Reduktion der «off»-Zeit mit Rotigotin betrug 2,7 Stunden unter 8 mg/24 h und 2,1 Stunden unter 12 mg/24 h bzw. in der Placebo-behandelten Gruppe 0,9 Stunden. Der Unterschied war statistisch signifikant (p <0,001 bzw. p= 0,003).
In einer zweiten Doppelblindstudie erhielten 201 Patienten Rotigotin, 200 Patienten Pramipexol und 100 Patienten Placebo. Die Patienten in der Rotigotingruppe wurden auf ihre optimale Dosis eingestellt, beginnend mit 4 mg/24 h mit wöchentlichen Erhöhungen von 2 mg/24 h bis zu einer Maximaldosis von 16 mg/24 h. In der Pramipexolgruppe erhielten die Patienten in der ersten Woche 0,375 mg, in der zweiten Woche 0,75 mg, dann wurde in wöchentlichen Intervallen die Dosis um 0,75 mg erhöht bis zum Erreichen der individuellen, optimalen Erhaltungsdosis, maximal 4,5 mg täglich. In jeder Gruppe wurden die Patienten während 4 Monaten behandelt.
Am Ende der Behandlungsphase wurde eine Verbesserung von mindestens 30% der absoluten «off»-Zeit (Responsekriterium) bei 60% der Rotigotin-behandelten Patienten, bei 67% der Pramipexol-behandelten und bei 35% der Placebo-behandelten Patienten festgestellt (Unterschied Rotigotin vs. Placebo 25%: CI95% 13%: 36%, Unterschied Pramipexol vs. Placebo 32% CI95% 21%: 43%, Unterschied Pramipexol vs. Rotigotin 7%: CI95% –2%: 17%). Die Non-Inferiorität gegenüber Pramipexol wurde so nicht gezeigt.
Die mittlere Reduktion der «off»-Zeit betrug 2,5 Stunden im Rotigotin-Arm, 2,8 Stunden im Pramipexol-Arm und 0,9 Stunden im Placebo-Arm. Alle Unterschiede zwischen aktiver Behandlung und Placebo waren statistisch signifikant.
Eine weitere multinationale Doppelblindstudie wurde an 287 Patienten mit beginnender oder fortgeschrittener Parkinson-Erkrankung und unzureichender Kontrolle der frühmorgendlichen Beweglichkeit durchgeführt. 81,5% der Patienten wurden zusätzlich mit Levodopa therapiert. 190 Patienten erhielten Rotigotin und 97 Placebo. Die Patienten wurden über 8 Wochen beginnend mit einer Dosis von 2 mg/24 h in Schritten von 2 mg/24 h pro Woche auf die optimale Dosis von Rotigotin oder Placebo bis zur Maximaldosis von 16 mg/24 h eingestellt und diese Erhaltungsdosen wurden über 4 Wochen beibehalten. Die co-primären Zielparameter waren die frühmorgendliche Beweglichkeit, gemessen mit der Unified Parkinsons's Disease Rating Scale (UPDRS III) und die Störungen des Nachtschlafs, gemessen anhand der modifizierten Parkinson's Disease Sleep Scale (PDSS-2). Am Ende der Erhaltungsphase hatte sich bei mit Rotigotin behandelten Patienten (Baseline 29,6) der durchschnittliche UPDRS III-Wert um 7,0 Punkte und bei der Placebo-Gruppe (Baseline 32,0) um 3,9 Punkte verbessert. Die Steigerung des PDSS-2-Gesamtwertes in der Rotigotin-Gruppe betrug 5,9 Punkte (Baseline 19,3) und 1,9 Punkte in der Placebo-Gruppe (Baseline 20,5). Die Behandlungsunterschiede für die co-primären Variablen waren statistisch signifikant (p= 0,0002 und p <0,0001).
|